clinicalsignificance

CRAN status CRAN downloads R-CMD-check The clinicalsignificance R package provides a comprehensive toolkit for analyzing clinical significance in intervention studies.

Why this package? While statistical significance asks: “Is this effect unlikely due to chance?” Clinical significance asks: “Does this intervention make a meaningful difference for the patient?”

This package empowers researchers and practitioners to move beyond p-values and assess the practical relevance of treatment outcomes.

🛠 Core Functions

The package implements the most widely used methods for clinical significance analysis. Each approach answers a specific question:

📦 Installation

Install the stable version from CRAN:

install.packages("clinicalsignificance")

Or the development version from GitHub:

# install.packages("pak")
pak::pak("benediktclaus/clinicalsignificance")

🚀 Example: The Combined Approach

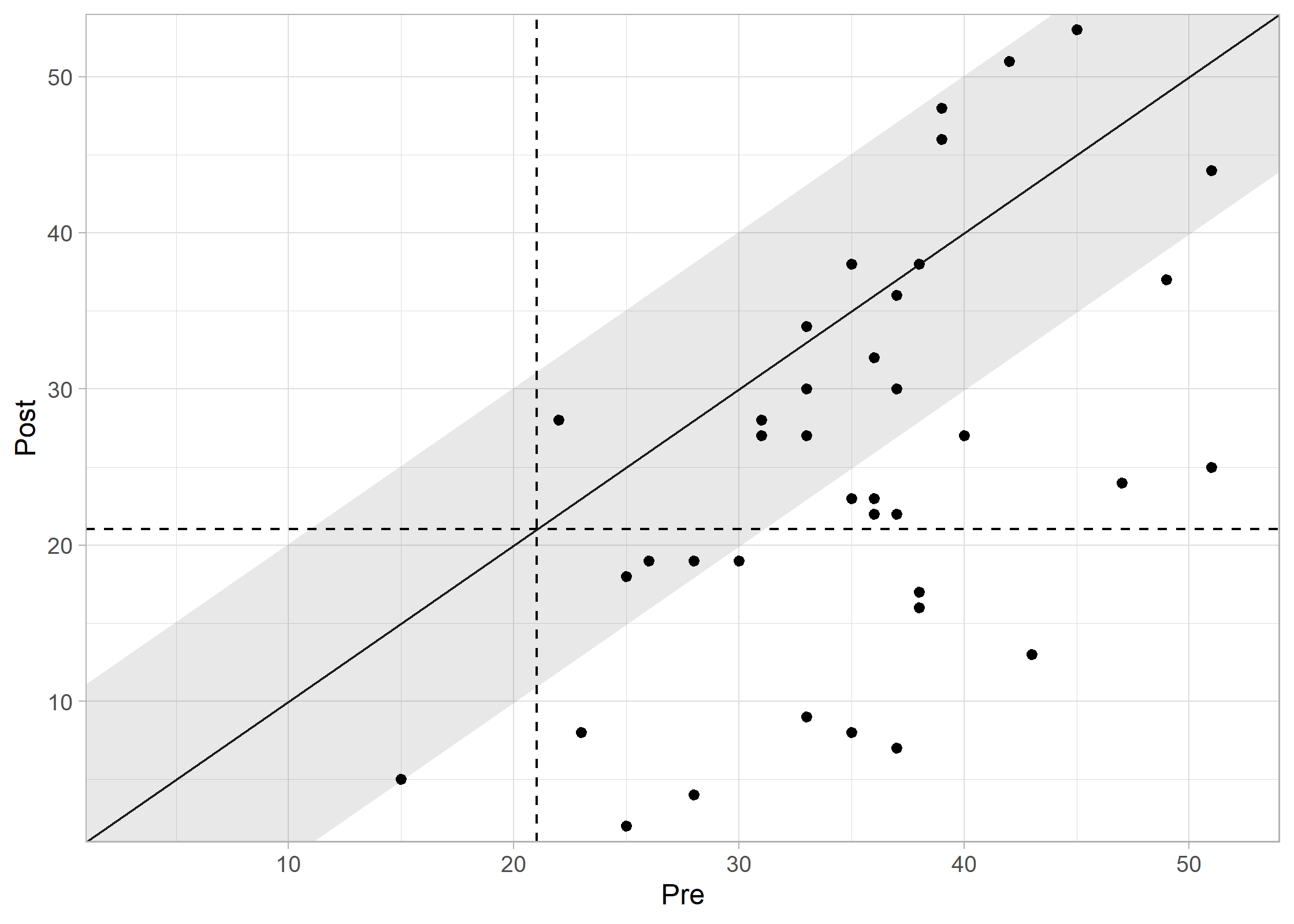
Let’s look at the combined approach (Jacobson & Truax, 1991). We want to know if patients in the claus_2020 dataset (included in the package) showed a reliable change AND moved into a functional population range.

library(clinicalsignificance)
library(ggplot2)

# 1. Perform the analysis
results_combined <- claus_2020 |>
  cs_combined(
    id = id,
    time = time,
    outcome = bdi,
    pre = 1,
    post = 4,
    reliability = 0.801,
    m_functional = 7.69,
    sd_functional = 7.52,
    cutoff_type = "c"
  )

# 2. Visualize the results
plot(results_combined, show_group = "category")
#> Ignoring unknown labels:
#> • colour : "Group"

Interpreting the Plot: * Recovered (Green): Reliable improvement + moved to functional range. * Improved (Blue): Reliable improvement, but still in clinical range. * Unchanged (Grey): No reliable change. * Deteriorated (Red): Reliable worsening.

# 3. Get a summary table
summary(results_combined)
#> 
#> ---- Clinical Significance Results ----
#> 
#> Approach:     Distribution-based
#> RCI Method:   JT
#> N (original): 43
#> N (used):     40
#> Percent used: 93.02%
#> Outcome:      bdi
#> Cutoff Type:  c
#> Cutoff:       21.02
#> Outcome:      bdi
#> Reliability:  0.801
#> 
#> -- Cutoff Descriptives
#> 
#> M Clinical | SD Clinical | M Functional | SD Functional
#> -------------------------------------------------------
#> 35.48      |        8.16 |         7.69 |          7.52
#> 
#> 
#> -- Results
#> 
#> Category     |  N | Percent
#> ---------------------------
#> Recovered    | 10 |  25.00%
#> Improved     |  8 |  20.00%
#> Unchanged    | 22 |  55.00%
#> Deteriorated |  0 |   0.00%
#> Harmed       |  0 |   0.00%

📚 Learn More

📄 Citation

Please cite both the package and the JSS paper if you use clinicalsignificance in your research.

Claus, B. B., Wager, J., & Bonnet, U. (2024). clinicalsignificance: Clinical Significance Analyses of Intervention Studies in R. Journal of Statistical Software, 111(1), 1–39. https://doi.org/10.18637/jss.v111.i01

Click to show BibTeX
@article{JSS:v111:i01,
  author = {Benedikt B. Claus and Julia Wager and Udo Bonnet},
  title = {{clinicalsignificance}: Clinical Significance Analyses of Intervention Studies in {R}},
  journal = {Journal of Statistical Software},
  year = {2024},
  volume = {111},
  number = {1},
  pages = {1--39},
  doi = {10.18637/jss.v111.i01},
}

@manual{R-clinicalsignificance,
  title = {clinicalsignificance: A Toolbox for Clinical Significance Analyses in Intervention Studies},
  author = {Benedikt B. Claus},
  year = {2024},
  note = {R package version 2.1.0},
  doi = {10.32614/CRAN.package.clinicalsignificance},
  url = {[https://github.com/benediktclaus/clinicalsignificance/](https://github.com/benediktclaus/clinicalsignificance/)},
}

🤝 Contributing

Contributions are welcome! If you encounter bugs or have feature requests: 1. Check the Issue Tracker. 2. Submit a Pull Request.


License: GNU General Public License v3.0
Built with ❤️ for better clinical research.