APLICACIÓN DE LOS CONJUNTOS DE SELECCIÓN EN LA ESTRATEGIA DE MERCADEO
JOSÉ ROBERTO CONCHA VELÁSQUEZ1, SILVIO BORRERO CALDAS2
1Candidato a Doctorado en Negocios. Tulane University. USA. Master of Management. Tulane University. USA. Magíster en Ingeniería Industrial y Sistemas, Universidad del Valle. Colombia. Ingeniero Químico, Universidad del Valle. Colombia. Departamento de Mercadeo, Universidad ICESI. Colombia jrconcha@icesi.edu.co
2Magíster en Administración, Universidad Icesi. Colombia. Especialista en Sistemas Gerenciales de Ingeniería, Pontificia Universidad Javeriana. Colombia. Ingeniero Industrial, Pontificia Universidad Javeriana. Colombia.
Fecha de recepción: 10-1-2003 Fecha de aceptación: 18-3-2003
RESUMEN
Debe ser motivo de análisis y evaluación frecuente en las empresas de bienes y servicios su posicionamiento y el grado de recordación por parte del consumidor objetivo. Es sobre estas bases que se construye cualquier estrategia tendiente a incursionar en nuevos mercados o a afianzar la participación en los ya existentes. Partiendo de un análisis situacional y una investigación directa en campo, el trabajo sobre el cual se ha elaborado el presente artículo propone una estrategia de mercadeo dirigida a segmentos específicos con necesidades diversas. Como objetivo final de las medidas propuestas, se espera incluir a la empresa en los conjuntos de selección de un mayor número de clientes.
PALABRAS CLAVES
Conjunto de recordación, ciclo de vida, conjunto de consideración, conjunto de elección, conjunto de percepción, conjuntos de selección, factores de éxito, mercadeo, participación, posicionamiento, sostenibilidad.
SUMMARY
Positioning and brand awareness are common concerns among any company selling goods or services. Such concern should serve as starting point for any strategy intended to gain new markets or to reinforce current market-share. Using strategic analysis techniques and direct on-site research, this study proposes a general marketing strategy focused on specific segments with diverse needs.
If any proposed measures are to be implemented, their final objective should be the inclusion of the company in a larger number of customers´ selection sets.
KEY WORDS
Awareness set, life cycle, consideration set, choice set, evoked set, key exit factors, loop, marketing, share, positioning, sustainability.
Clasificación Colciencias: A
INTRODUCCION
Toda empresa que busque perpetuarse en el tiempo se ve enfrentada eventualmente a diferentes coyunturas de crecimiento físico u operacional. Si, como sucede con este trabajo, se trata de una empresa prestadora de servicios de ingeniería, en cuyo caso la calidad en la ejecución y la capacidad de la planta técnica favorecen los esfuerzos de crecimiento de la organización, el mercadeo de sus servicios puede constituirse en un factor restrictivo si no se enfoca adecuadamente. Los dramáticos cambios en las economías nacionales y globales inevitablemente resultan en impactos negativos sobre la base de clientes de las empresas, especialmente en operaciones con base en proyectos, como es el caso de empresas prestadoras de servicios de ingeniería.
Tras crecimientos explosivos en los años noventa, diferentes industrias se vieron frenadas casi por completo durante los últimos años del milenio, por problemas recesivos en las economías domésticas de países en desarrollo y procesos de apertura que motivaron el ingreso de competencia extranjera en estos mercados anteriormente protegidos. A pesar de este estancamiento, y debido en muchos casos a una orientación industrial de las empresas prestadoras de servicios de ingeniería, los proyectos siguen representando el negocio más importante para muchas de ellas. Afortunadamente, la mayoría de las plantas industriales continúan requiriendo obras de diversa índole para su operación normal, independientemente de las circunstancias temporales. Además, aunque no alcancen a generar un gran volumen de ingresos, los contratos de mantenimiento asociados a tales obras garantizan un flujo de caja mínimo para sostener la empresa de servicios durante las eventuales crisis. Aún así, los trabajos que impulsan el crecimiento de muchas empresas de servicios especializados son los proyectos industriales medianos y grandes. Cuando son llevados a buen término ellos impulsan a la empresa de manera escalonada a lo largo de una curva de tendencia ascendente, como se muestra en la Figura 1, la cual ilustra el ciclo de vida1 de las organizaciones adaptado a firmas de proyectos.

Cuando los megaproyectos industriales se ven cancelados o pospuestos de manera indefinida, resulta inevitable el cierre de aquellas firmas que dependen de manera exclusiva de este tipo de obras. Es frecuente que las que sobreviven lo hagan a expensas de ofrecer sus servicios con márgenes de utilidad marginales, apenas suficientes para subsistir hasta que las condiciones mejoren, lo cual ha deprimido las tarifas de servicios equivalentes en todo el país. Un portafolio diversificado permite a algunas empresas sobrellevar los tiempos difíciles, pero las épocas cuando la referencia directa era el único mercadeo necesario para obtener nuevos contratos ya pasaron a la historia. Es cada vez más urgente implementar estrategias agresivas que le permitan a la organización posicionarse de manera ventajosa para enfrentar una competencia cada vez más ardua.
Aunque siempre es difícil presentar la oferta o el precio más atractivos, de forma que las obras y contratos sean adjudicados a la empresa, el principal problema radica en ser invitados a cotizar, en primera instancia.
MARCO TEÓRICO
El problema esencial en la inmensa mayoría de empresas radica en su necesidad de generar mayores ingresos y aumentar su participación de mercado. La reducción de los márgenes en muchas industrias y la creciente dificultad para obtener contratos obliga a replantear estrategias, explícitas o tácitas. Un mercadeo efectivo que redunde en incremento en ventas y una operación eficiente que racionalice los recursos disponibles son piezas fundamentales para consolidar la rentabilidad que mantiene a la empresa en competencia, tal como se ilustra por medio del loop3 de mercadeo competitivo propuesto en la Figura 2. Ambas, por sí solas, no son suficientes ni suplen la necesidad de establecer una diferenciación que permita el crecimiento de la empresa; una operación rentable sólo asegura la supervivencia de la organización, cerrando el loop3 de manera anticipada. Sin embargo, la generación de utilidades constituye el fundamento sobre el cual se construye una estrategia de competitividad, ampliando el ciclo a una escala más perdurable. En el caso de las empresas de proyectos, la implementación de estrategias efectivas de mercadeo tendientes a lograr una identificación positiva de la empresa por parte de los consumidores de su sector debe aumentar el número de solicitudes de cotización e invitaciones a licitar, incrementando así la probabilidad de obtener más y mayores contratos.

En consecuencia, cualquier estrategia de mercadeo que se plantee debe procurar que quienes toman las decisiones de compra en el mercado objetivo lleguen sucesivamente a identificar a la empresa como contratista potencial, recordarla cuando se estudien proyectos pertinentes y considerarla dentro de los proponentes para trabajos específicos. Así se lleva a cabo un proceso de selección por eliminación progresiva de alternativas que culmina con la inclusión de la empresa en licitaciones y, eventualmente, en contratos adjudicados. Dentro de este contexto, el choice set,4 término que en este trabajo se traduce como "conjunto de elección", resulta significativo para la investigación y se constituye en la espina dorsal de la misma. Conformado por las alternativas de marca o firma entre las cuales un consumidor prospectivo decide, el conjunto de elección es la etapa final de una selección progresiva por eliminación. Por su evidente potencial como herramienta predictiva del comportamiento de compra de individuos o grupos, el estudio de los conjuntos de selección y su análisis por medio de modelos de atributos múltiples adquiere cada vez mayor importancia en la literatura de investigación.
Una adecuada comprensión de los conjuntos y procesos que llevan a la compra requiere una discusión del consideration set,5 también denominado evoked set6 por algunos autores, y del cual el de elección no es más que un subconjunto particular. En consecuencia con la definición de Roberts y Lattin,7 consideration set se traduce como "conjunto de consideración".8 Para un consumidor específico, las marcas disponibles en el mercado (universo) se dividen entre aquellas de las cuales tiene algún conocimiento y aquellas que le son completamente desconocidas. Dicho conjunto de marcas percibidas se define entonces como "conjunto de percepción" (awareness set9). A su vez, el conjunto de percepción se divide en marcas que no representan interés para el consumidor y otras cuya compra podría llegar a considerar. Es este último conjunto el más atractivo para quien mercadee un producto o servicio, dado que la decisión de compra se limita necesariamente a aquellas marcas ubicadas dentro del conjunto de elección, las cuales, a su vez, sólo llegan a ser consideradas si previamente han clasificado dentro del respectivo conjunto de consideración. Las figuras 3 y 4 ilustran esta división del mercado proveedor según su percepción por parte del consumidor.


Según Roberts y Lattin,10 muchos textos describen el proceso de compra como una eliminación secuencial de alternativas que culmina con una decisión final. Las etapas de este proceso de eliminación se pueden ubicar en el esquema de conjuntos anteriormente definido, cada una de ellas correspondiendo a una de los respectivos niveles ilustrados en la Figura 4. Es así como los conjuntos de elección y de consideración se constituyen en interesante tópico de estudio, tanto para el investigador preocupado por la modelación con fines académicos, como para el gerente que busca posicionar su producto ante un comprador potencial.
En efecto, aparte del interés teórico que dichos conjuntos puedan tener en sí mismos, la empresa prestadora de servicios, deseosa de incrementar su participación en el mercado puede derivar ventajas sustanciales si logra incluir su marca en los conjuntos de selección de un mayor número de consumidores que sus competidores directos. Igualmente, el tema reviste gran importancia para una compañía de ingeniería que desee asegurarse de ser incluida en una licitación privada, dado que el hecho mismo de figurar en el conjunto de consideración del contratante es indispensable para clasificar en el conjunto de elección y ser invitado a cotizar.
Los conjuntos de consideración y elección como tema de investigación no son un concepto nuevo. De hecho, los efectos de la consideración de marca han sido estudiados con diferentes nombres desde 1963 y su comprensión como concepto abstracto no reviste especial grado de dificultad. Tal profusión de literatura, sin embargo, contrasta con la escasez de estudios dirigidos a modelar los procesos mediante los cuales una marca determinada ingresa a un conjunto de consideración. Para las necesidades particulares de las empresas de servicios, la escasez de referentes es aún más dramática al dificultarse su tratamiento como marcas susceptibles de ingresar a un conjunto de consideración.11 Entre los estudios que aportan elementos de esta naturaleza se incluyen los trabajos de Roberts y Lattin,12 Andrews y Srinivasan,13 y Wu y Rangaswamy,14 los cuales comparten como elemento común el proponer modelos analíticos de interpretación o simulación de los mecanismos involucrados en los conjuntos de consideración. Roberts y Lattin se enfocan en las decisiones de un consumidor individual orientado a maximizar su utilidad marginal. Para ello, desarrollan un modelo de atributos compensatorios múltiples que describe cómo la utilidad y el costo implícitos, según son percibidos por el consumidor, determinan la consideración de una marca. En contraposición a tal enfoque determinístico, Andrews y Srinivasan optan por un modelo probabilístico de dos etapas. En la primera se cuantifica la probabilidad de que una marca determinada alcance y supere un umbral mínimo de consideración. En la segunda es el consumidor quien lleva a cabo una selección probabilística al elegir la marca con mayor calificación global.
Por su parte, utilizando datos de un supermercado virtual, Wu y Rangaswamy calibran un modelo de conjuntos de consideración que clasifican como "indefinido" (fuzzy15). Según los autores, no todas las marcas pueden calificarse por medio de un criterio excluyente de pertenencia o no-pertenencia al conjunto de consideración. De hecho, las marcas cuya inclusión o exclusión del conjunto puede determinarse de manera clara en otros modelos constituyen una excepción. Wu y Rangaswamy sostienen que tales conjuntos "definidos" (crisp16) no representan fielmente la realidad del proceso decisorio. Por el contrario, la indefinición sería una propiedad intrínseca de los conjuntos de consideración, a los cuales pertenecerían todas las marcas del conjunto universo en mayor o menor grado. En consecuencia, se sugiere un proceso en el que cada consumidor reduce la indefinición de manera gradual en la medida en que gana información acerca de las marcas. El modelo indefinido resultante llega a una generalización de otros modelos de doble etapa, diferenciándose esencialmente en la premisa de la indefinición.
Por otra parte, entre las investigaciones que se han preocupado por la modelación de los conjuntos de elección, se destacan los trabajos de Gensch et.al. sobre procesos de decisión con base en eliminación por dimensiones.17 Bronnenberg y Vanhonacker18 intentan modelar todo el proceso de conformación de los conjuntos de elección, partiendo de la definición del conjunto de consideración mismo. Al igual que Andrews et.al., y construyendo sobre las investigaciones de los demás autores, Bronnenberg y Vanhonacker optan por un modelo de doble etapa. Dicho modelo, sin embargo, incorpora la evaluación del precio en la decisión final con la premisa de que el consumidor individual limita su evaluación de precio, y su respuesta al mismo, a aquellas marcas que llegan a ser incluidas en el conjunto de elección.
Los autores consideran que un modelo de dos etapas debería ser la elección obligada para el presente trabajo, en caso de optar por una modelación matemática, dado que los científicos estudiosos del comportamiento han cuestionado desde tiempo atrás la validez de cualquier modelo de decisión basado en una sola etapa.19 Además, por ser un modelo que parece aproximarse más al comportamiento real del consumidor, probablemente se emplearía una aproximación de los modelos de Wu et.al. y Bronnenberg et.al. para intentar aplicarlos al caso de las empresas de servicios.
DESCRIPCIÓN DEL PROYECTO
No es raro que las empresas de servicios dependan principalmente de las referencias directas de sus clientes satisfechos y de las relaciones personales de sus propietarios para obtener nuevos contratos, especialmente en sectores técnicos especializados. En el pasado, cuando la actividad económica favorecía la realización de todo tipo de proyectos, esta estrategia pasiva puede haber sido suficiente para asegurar el crecimiento de muchas de estas empresas, pero hoy en día se requiere un enfoque diferente.
La escasez de nuevas obras por la depresión del sector constructor y de la economía en general se sumó en años recientes al incremento en la base de competidores, conduciendo a los contratistas de servicios a guerras de precios sin cuartel para poder ganar las pocas licitaciones en concurso. Al igual que en cualquier conflicto que involucre enfrentamiento hostil de alguna naturaleza, esta guerra cobró sus propias víctimas, llegando al cierre de muchas empresas y a la reducción de la planta física en otras. Pocas empresas, si es que hubo alguna, fueron ajenas a esta problemática. Los saldos rojos se fueron haciendo cada vez más frecuentes en la medida en que se agravaba el desequilibrio entre una carga administrativa creciente y unos ingresos decrecientes o estancados. Quienes persistieron en una actitud pasiva respecto al mercado fueron cayendo en desventaja con respecto a otros competidores más agresivos, corriendo el riesgo de salir del juego. Por lo tanto, se ha ido haciendo cada vez más urgente un esfuerzo deliberado que aumentar la base de clientes. Actualmente, se necesita un análisis situacional que identifique las variables y fuerzas en juego de forma que se obtenga el máximo provecho de ellas. Sin embargo, tal diagnóstico y consecuente replanteamiento estratégico debe plasmarse en forma de un plan integral que logre enfocar las estrategias hacia el mercado mismo. Cualquier esfuerzo que no redunde en un efecto claro sobre la percepción que el cliente final tiene de la empresa resultará en un estéril desperdicio de recursos. En consecuencia con este planteamiento, el proyecto investigativo pretende proponer un plan de acción que les permita a las empresas mejorar su posicionamiento con base en estrategias de mercadeo explícitas. Como justificación del mismo, aparte del cumplimiento de un requisito académico, se destaca la aplicabilidad inmediata de los resultados del trabajo en virtud de las necesidades actuales de la empresa de servicios de ingeniería.
Como objetivo general de la investigación, los autores procuraron identificar y jerarquizar los problemas que afectan el posicionamiento de la empresa tipo, con especial atención a aquellos relacionados con su estrategia de mercadeo, proponiendo un plan de mejoramiento para tratar los de mayor relevancia.
Además de analizar las estrategias gerenciales y de mercadeo, el proyecto también comprende el estudio del entorno laboral, equipos, planta y personal de la empresa. Las actividades analizadas abarcaron todos los frentes de operación y servicios de su portafolio, con particular énfasis en las obras y proyectos.
La investigación combina elementos teóricos con procedimientos prácticos para llegar a una caracterización de la empresa y formular estrategias adecuadas a su situación particular. Se realizó un estudio descriptivo analítico que permitió identificar problemas específicos en medio de una problemática global; aislar y describir las variables fundamentales requeridas y proponer soluciones factibles.
La investigación parte de la premisa de que el principal problema de muchas empresas es la escasa identificación de las mismas por parte de sus mercados objetivos. En el caso particular sobre el cual se desarrolla la investigación, los autores estimaron que un 70% de sus clientes potenciales reconocían su nombre; sin embargo, a pesar de esta aparentemente alta recordación, sólo un 46% de los clientes considerarían invitarla a una licitación y apenas un 33% del total la incluirían entre sus opciones favoritas de contratación.20
Dado que la efectividad de cualquier medida implementada debe cuantificarse por medio de variables de control, debieron establecerse variables que permitieran confirmar o refutar la anterior hipótesis. Por la misma naturaleza de esta premisa se definieron las variables de la tabla 1 para su confrontación. Por otra parte, de implementarse las propuestas, la variable esencial para medir su efecto será la cantidad de cotizaciones en un período determinado. Cotizar más trabajos contribuye directamente a incrementar los contratos y las ventas, los cuales se constituyen en otras variables de control. Estos, sin embargo, dependen de factores tales como valor, condiciones comerciales y especificaciones técnicas, además del hecho mismo de cotizar con mayor frecuencia, por lo que sólo se deben evaluar como una consecuencia indirecta de las propuestas. El indicador final del efecto de las mejoras es la participación porcentual en el mercado.

DESARROLLO DE LA INVESTIGACIÓN
Para hacer un cuadro descriptivo de la organización, se siguió la metodología de Sapag Chaín,21 fundamentada en el estudio de los diferentes submercados.
El microambiente competitivo de la empresa estudiada está constituido por las empresas de servicios de su mismo sector. En un mercado regional pequeño, y específicamente en los segmentos de mayor interés estratégico para la empresa, es vital obtener el reconocimiento de las empresas industriales. Más que los costos implícitos en equipos e infraestructura, es este factor la barrera de entrada más significativa para nuevos competidores, siendo muy difícil incursionar en el medio si no se tienen contactos y experiencia previa con las grandes empresas manufactureras. Así pues, si las barreras de entrada son muy bajas para contratistas generales, no lo serán tanto para aquellos que pretendan prestar servicios integrales y enfocados hacia el mercado manufacturero e institucional de la región. En cualquier caso, las barreras de salida del negocio son bastante bajas puesto que la inversión en tecnología y equipos no es considerable y resulta relativamente fácil su venta a otras empresas.
Aunque el mercado potencial para los servicios de una empresa puede abarcar la totalidad de la población regional, la empresa estudiada está enfocada hacia los servicios en el ámbito industrial. Por esta razón, el comprador habitual es por lo general un cliente institucional que realiza una compra técnica, de acuerdo con especificaciones precisas. Entre los segmentos más interesantes se enumeran las empresas manufactureras, edificios de oficinas, entidades financieras, complejos educativos, centros médicos y hospitalarios, teatros, facilidades recreativas, almacenes, centros comerciales, clubes sociales y viviendas de estratos altos. El sector público, por otra parte, también es un gran consumidor de los servicios ofrecidos por esta empresa.
Con base en los procesos de eliminación de alternativas para contratación de servicios de ingeniería, los autores propusieron la Tabla 1 como entorno de mercado de la firma estudiada. Aunque el universo dentro del cual se encuentran los conjuntos así definidos está conformado por las entidades públicas, organizaciones privadas y consumidores particulares con necesidades diversas, el universo de firmas disponibles se limitó al mercado organizacional localizado dentro de las áreas geográficas en las cuales opera la empresa, con énfasis en empresas altamente reconocidas, grandes y medianas. En general, para facilitar el análisis, se excluyeron microempresas y PYMES aunque fueran o hubieran sido clientes recurrentes de la empresa. De acuerdo con el cuadro presentado, la empresa estudiada figuraría en los respectivos conjuntos de percepción, consideración y elección de los clientes enumerados en cada columna. El conjunto de percepción abarcaría aquellas organizaciones a las cuales se les había ejecutado trabajos en el pasado, o, cuando menos, se les visitó o se les hizo llegar hoja de vida durante los últimos dos años. Para definir el grupo de consideración, se incluyeron aquellas organizaciones que habían solicitado al menos una cotización en el transcurso de los tres o cuatro años inmediatamente anteriores, mientras que el grupo de elección se conformó con las que han contratado a la empresa para algún trabajo durante ese mismo período.
Se estudió la situación general de la empresa al inicio de la investigación, con el fin de establecer problemas específicos susceptibles de ser corregidos por medio de propuestas derivadas de esta investigación. Si bien parecía evidente desde el comienzo del proyecto, tanto para la empresa como para los autores, que era necesario desarrollar una estrategia efectiva de mercadeo que lograra posicionar a la empresa dentro de los conjuntos de elección del mayor número posible de consumidores, de forma que se generaran más contratos y se pudiera aumentar la participación en el mercado, se procedió a confirmar (o refutar) tal suposición por medio de un ejercicio descriptivo analítico y mediante el uso de herramientas administrativas básicas.
Los precios de la empresa habían sido generalmente competitivos con respecto al mercado regional. Si bien era inusual que la empresa ofreciera el valor más económico en las licitaciones a las cuales se presentaba, tampoco era común que hiciera la oferta más costosa, dado que los trabajos se cotizaban con base en los costos reales en los que se incurría al prestar el servicio y con márgenes de utilidad comparables a los del resto del sector. Debe anotarse, sin embargo, que la crisis económica resultó en baja de precios por parte de la competencia, lo cual a su vez obligó a la empresa a racionalizar sus márgenes para mantenerse competitiva.
Tradicionalmente, los servicios prestados se habían promocionado de manera exclusiva por medio de referencias de clientes satisfechos y contactos personales directos.
La empresa opera principalmente a un nivel regional, aunque con esporádicos contratos en otras zonas del país. Los servicios son mercadeados y distribuidos directamente por la empresa o sus gerentes, y se utiliza personal propio y/o subcontratado para su ejecución.
La mayor fortaleza de la empresa radica probablemente en la reconocida calidad de sus trabajos. Además, se pueden incluir factores como el compromiso de sus socios y la gerencia hacia la satisfacción de las necesidades de los clientes y el cumplimiento de las más estrictas normas técnicas, la experiencia individual y colectiva de sus colaboradores, los contactos con empresas y ejecutivos de la región, una impecable hoja de vida y una relación estratégica con firmas fabricantes líderes.
Sus falencias incluyen la ausencia de métodos de evaluación, control y seguimiento que permitieran un direccionamiento estratégico adecuado, escasa sistematización de la información y los procesos administrativos, poca comunicación entre la gerencia y la base operativa, nula fuerza de ventas y altos costos fijos. Sin embargo, aparte de estos problemas administrativos, una debilidad altamente significativa de la empresa es la inexistencia de planes formales de mercadeo que sirvieran para generar recordación de la firma entre sus consumidores potenciales, lo cual conduce a que la empresa esté por fuera de cotizaciones o licitaciones y por lo tanto reduce sus posibilidades de adjudicación de contratos.
Por las características particulares de la región, existe una permanente necesidad de los servicios prestados por la empresa, los cuales se requieren de manera obligatoria en procesos industriales de muy diversa índole. Además, la creciente normatividad oficial en materias pertinentes al negocio de la empresa hacen que sus servicios se hagan cada vez más necesarios. Por otra parte, el inevitable cierre de otras firmas contratistas por efecto de la crisis reduce el mercado competidor y facilita enfocar cualquier esfuerzo estratégico. Este factor se puede capitalizar en la medida en que mejore el entorno económico y se recuperen sectores como el constructor.
La amenaza más evidente que se cierne sobre el negocio de la empresa es la actual situación de crisis política, social, económica y de orden público y la consecuente recesión de sectores como el constructor. A esto deben sumarse otros factores, algunos de los cuales son consecuencia directa de la situación descrita, como la dificultad creciente para acceder a créditos favorables, volatilidad de las tasas de cambio, especialmente importante por involucrar equipos y repuestos importados, cierre de clientes actuales o potenciales, guerras de precios en el sector mismo, competencia desleal y posibilidad de filtración de lavado de activos en la industria lo cual puede propiciar otro tipo de competencia irregular.
En talleres de trabajo se estudió la problemática general de la empresa, elaborando el diagrama de causaefecto o diagrama de Ishikawa22 de la Figura 5. En este diagrama se representan los principales problemas de la empresa, enmarcados en las "Cuatro P´s" del ambiente interno de mercadeo. Debe observarse que la problemática analizada abarcó de manera deliberada problemas relativos a competitividad, a pesar de que la presente investigación se enfoca hacia la definición de una estrategia de mercadeo. Al permitir tal generalización, los autores pretendían evaluar los problemas relativos a posicionamiento dentro del contexto general de una organización en búsqueda de más competitividad. Dado que cada uno de estos problemas era tan sólo un signo de factores más específicos, para cada uno de ellos se establecieron causas probables, ilustradas a un nivel mayor de detalle por medio de diagramas adicionales lo cual permitió aislar de manera eficaz las condiciones o situaciones reales que dieron origen a los problemas y ayudaron a atacar la raíz de los mismos, sin distraerse en un manejo meramente sintomático.

Los factores que originan la problemática que a su vez afectaba la competitividad se evaluaron por medio de técnicas de Grupo Nominal,23 calificando cualitativamente los factores identificados según su gravedad relativa. Además, a cada una de las áreas de evaluación se le asignó un peso específico en función de su orden de significación para la temática investigada. Los porcentajes relativos así obtenidos y su correspondiente ordenamiento permitieron trazar gráficos de Pareto e histogramas. De acuerdo con los procedimientos habituales para estas herramientas, los factores que en conjunto sumaron un 80% de la calificación total deberían recibir tratamiento prioritario en la búsqueda de soluciones.24 Si bien los criterios de ponderación y calificaciones empleados constituyen un sistema arbitrario de evaluación, el método ofrece una estructura lógica de trabajo y evita el desperdicio de esfuerzos. La jerarquización permitió elaborar un plan de acción encaminado a solucionar los problemas más importantes por medio del manejo de sus factores causales.
La manifiesta necesidad de desarrollar una estrategia de mercadeo hacía necesaria una investigación que permitiera identificar los puntos neurálgicos en la prestación de servicios de acuerdo con la percepción de los mismos por parte del consumidor. Tal identificación permitirá a la empresa definir con mayor precisión sus objetivos de ventas y desarrollar actividades tendientes a la consecución de los mismos.25
La empresa debe enfocarse en la prestación de servicios a las grandes multinacionales, empresas industriales y firmas de interés especial para la compañía en razón de su actividad productiva o comercial (Conjunto Universo - Awareness Set - de la Tabla 1). Es común para este tipo de empresas exigir de sus contratistas amplia experiencia, especialización, garantía de fábrica, respaldo posventa y disponibilidad permanente de personal y repuestos para atender cualquier emergencia: En líneas generales, la empresa estaba en capacidad de satisfacer tales requisitos.
El estudio debe verificar o refutar las cifras propuestas en la hipótesis. Además, debe determinar las características principales del mercado objetivo y los criterios y preferencias que determinarán su decisión al elegir una empresa prestadora de servicios. El cuestionario utilizado para la encuesta se compuso esencialmente de preguntas cerradas, las cuales permiten limitar la extensión y cobertura del instrumento y facilitan su aplicación. De todas maneras, el cuestionario incluye preguntas de tipo abierto para complementar las respuestas del cliente. Los cuestionarios se formularon principalmente al personal responsable de proyectos y contratos en las empresas objetivo.
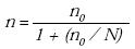
Asumiendo que el mercado obedecía a una distribución normal, el tamaño de la muestra a encuestar n se determinó por medio de la expresión:

donde n0 era el índice muestral y N la población total del mercado objetivo (196 empresas).
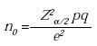
A su vez, el índice muestral n0 se calculó por medio de la ecuación:

en la cual e era el error máximo esperado, el coeficiente de confianza 1-α era la probabilidad de que el error real no excediera dicho valor y Z2α/2 era el intervalo de confianza de la muestra.26 Las variables p y q = 1 - p representaban las probabilidades de aciertos o fallas en el muestreo, respectivamente. Para el presente estudio, si se deseaba obtener un error inferior al 10% con una probabilidad del 95%, los valores serían entonces

El valor Zα/2 (cola superior de la curva de distribución Z para un coeficiente de confianza 1-α) se buscó en la tabla de distribución normal:
Z0.0025=1.96
Dado que se desconocía el valor p, se asumió que p = 0,5 lo cual arrojaba el máximo valor posible para p*q. El valor n0 resultó entonces

Para la población N = 196, el tamaño de la muestra n era entonces

Por lo tanto, se debe seleccionar una muestra de 64 empresas para realizar la encuesta. Con el fin de facilitar el trabajo de campo, se eliminaron aquellas empresas localizadas fuera de la región de estudio. En total, se eliminaron por este procedimiento 26 empresas. Numerando las 170 empresas restantes del conjunto universo en orden alfabético, y generando una tabla de otros tantos números aleatorios, se obtuvo un orden de precedencia que permitió conformar el grupo muestral. Las primeras 64 empresas del conjunto, en el orden así definido, conforman la muestra básica. Sólo en aquellos casos en los cuales no se logró concertar una entrevista personal para responder al cuestionario se procedió a incluir las empresas que seguían en orden de lista.
Antes de aplicar la encuesta en toda su escala se llevó a cabo una prueba piloto para validar el instrumento. Dicha prueba evaluaba si las preguntas del cuestionario cumplían con los objetivos del estudio de mercado y si las instrucciones de la encuesta eran lo suficientemente claras para los encuestados.27 Para su realización, se tomó una sub-muestra del 10% de la muestra a encuestar, la cual fue diligenciada personalmente por los autores.
EVALUACIÓN Y ANÁLISIS
A partir de la jerarquización desarrollada se estableció un orden de prioridades encaminado a la solución de los problemas más significativos. Así se obtuvo una lista de ocho problemas concretos que debían ser solucionados parcial o totalmente para permitir el crecimiento de la empresa y su sostenibilidad en el tiempo. Sólo en la medida en que estos problemas desaparecieran por completo, se redujeran a un punto en el que dejaran de ser una prioridad o resultaran desplazados por el surgimiento de problemáticas más urgentes, podrían atenderse nuevos problemas. Al fin y al cabo, una de las premisas gerenciales debe ser el racionalizar los recursos de la organización, empezando por su propia capacidad de trabajo. Se aislaron entonces dos áreas prioritarias hacia las cuales debía enfocarse la empresa para mejorar su competitividad: estrategia de mercadeo y control financiero.
La Tabla 2 establece un cuadro comparativo entre los valores propuestos en la hipótesis, los cuales corresponden a porcentajes estimados para los conjuntos de percepción, consideración y elección, con los resultados obtenidos por medio de la encuesta. Aun sin entrar en el detalle estadístico, es evidente que los estimados empíricos de los autores eran excesivamente optimistas para los conjuntos de percepción y consideración. No así para el conjunto de elección, el cual resultó muy similar en porcentaje al estimado inicial. Este último acierto puede obedecer a que las licitaciones y cotizaciones son instrumentos rutinarios que brindan al autor retroalimentación permanente y permiten establecer cuáles son las empresas que eligen otros contratistas de manera recurrente. Aparentemente, el carácter formal de los procesos licitatorios, limitado a obras de cierta envergadura, resulta apropiado para estimar el conjunto de empresas que incluirían a la empresa en su conjunto de elección. La estimación de los otros conjuntos se dificulta más, sin embargo, por involucrar un mayor número de variables subjetivas o intrínsecas a cada organización. En efecto, la extrapolación de las observaciones realizadas en procesos licitatorios hacia los demás segmentos parece no tener total validez al momento de inferir la pertenencia de la empresa al conjunto de consideración de empresas más pequeñas o informales. Algo similar ocurre al estimar el conjunto de percepción del mercado objetivo. La falta de estudios de mercado propicia una idea falsa y sobredimensionada del grado de reconocimiento de la firma por parte de sus clientes potenciales. De otro lado, resulta interesante la similitud entre los porcentajes de consideración y elección medidos en campo. En un mercado de servicios especializados, esta similitud puede obedecer al hecho de que un consumidor sofisticado probablemente sólo considere invitar a cotizar a las mismas empresas en las cuales pensaría seriamente para una contratación. Expresado de otra forma, es razonable suponer que en mercados menos especializados, con mayor variedad en las bases de oferta y demanda, se consideren más alternativas antes de proceder a evaluar características y precios de los productos para una subsiguiente decisión de compra. De resultar cierta esta suposición, cabría esperar cifras mucho más divergentes en mercados de consumo.

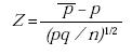
Para confrontar las cifras propuestas en la hipótesis con los resultados del estudio de mercado, se efectuó una prueba de tipo Z,28 según la expresión

en la cual Z era el estadístico de
prueba,
era la media de la muestra,
p el valor de prueba, q el complemento
1 - p y n la muestra. Al efectuar
la Prueba Z para cada uno de
los conjuntos hipotéticos, se rechazaron
los valores correspondientes a los
conjuntos de percepción y de consideración
por quedar por fuera del intervalo
de confianza, es decir, por debajo
del punto crítico (-1.645) en una
distribución de cola derecha, tal y
como lo ilustra la Figura 6. En ambos
casos, la proporción entregada por
la encuesta resultó menor que el valor
de prueba (hipótesis).29 En el conjunto
de elección, la proporción experimental
también fue menor que el
valor propuesto; sin embargo, en este
caso, el valor de prueba quedaba dentro
del intervalo de confianza del 95%
de la curva de distribución normal
(sobre el punto crítico), por lo cual no
se rechazó la hipótesis.30

Las encuestas confirmaron el dinamismo de los conjuntos de percepción, consideración y elección. Aunque las cifras presentadas en la tesis no lo mostraron explícitamente, resultó evidente al efectuar un análisis particular de las encuestas. Clientes a quienes se realizaron trabajos recientemente manifestaron desconocer la firma; en contraposición, otros con los que no había habido contacto directo expresaban su favoritismo por ésta.
De acuerdo con los supuestos iniciales del autor, una serie de empresas contratistas debería gozar de mayor reconocimiento por parte del público, lo cual se vería reflejado en su inclusión en los respectivos conjuntos de selección del mercado consumidor. La encuesta indicó que las siete empresas locales pronosticadas como de alta preferencia (supuesto conjunto de elección) por parte del mercado clasificaron entre las diez firmas de mayor reconocimiento según los encuestados. Llamó la atención, sin embargo, que algunas empresas que ni siquiera clasificaron en el conjunto de percepción típico propuesto por los autores obtuvieran alto grado de reconocimiento por parte de los encuestados. Este hecho hizo aún más evidente la necesidad de buscar una comprensión precisa de los mercados para establecer estrategias adecuadas, libres de sesgos originados en percepciones personales o subjetivas.31
La investigación de mercado permitió comparar la clasificación inicial de contratistas con la opinión de los consumidores. Ocho de las nueve empresas consideradas prioritarias (incluyendo a Omega) clasificaron entre las diez firmas de mayor reconocimiento (Top-of-Mind32), siendo claro el posicionamiento del contratista líder en la mente de los consumidores.
Un alto porcentaje de empresas manifestaron desconocer la empresa o la asociaron con otro tipo de servicios. Además, la mayor parte de los consumidores que la reconocieron no lograron identificarla con su negocio real. Por lo tanto, debido a la poca identidad de marca de la firma, se hacía necesario un mercadeo para posicionar la empresa integral con fortalezas claras en su ramo, de forma que se lograra diferenciar de otros competidores especializados.
Así como los estimados iniciales del reconocimiento de la firma, la encuesta mostró que la supuesta preferencia por algunas marcas resulta exagerada, hecho significativo dada la manifiesta asociación entre éstas y la empresa. Probablemente la orientación industrial de los autores sesgó su percepción del mercado y les condujo a subestimar nichos con alto potencial de negocios.
Entre los criterios claves de contratación, se destacó la importancia que los encuestados otorgaron a factores tales como la garantía del producto o servicio y la capacidad de respuesta que la compañía debía tener para atender contingencias técnicas. Por lo demás, en virtud de su propia experiencia y la de su empresa, los autores se permiten cuestionar la validez de las respuestas al otorgar calificaciones relativamente bajas a factores tales como el precio del servicio o las relaciones previas que se tengan con el contratista. Es un hecho incuestionable, aunque de difícil medición estadística, que el precio final es preponderante en el medio colombiano, especialmente en coyunturas de economía recesiva como la actual. Así mismo, los contactos personales, posiciones de influencia y relaciones previas entre asociados mutuos de las firmas contratantes y contratistas resultan determinantes al momento de invitar a licitar o adjudicar contratos, sobre todo en obras de gran envergadura y/o del sector público.
Aunque la investigación se fundamentó desde un comienzo en la definición y propuesta de una estrategia adecuada de mercadeo, el proceso investigativo mismo puso al descubierto otras necesidades prioritarias para la organización, como son una serie de medidas de tipo administrativo y/o estratégico, además de aquellas que correspondían específicamente al tema mercadotécnico. La implementación integrada de todas ellas es necesaria para lograr el efecto sinérgico que brinde a la empresa verdadera competitividad. La empresa debe definir una estrategia de mercadeo, algo que nunca ha hecho de manera explícita. El objetivo primordial de dicha estrategia debe ser el procurar que los consumidores potenciales, al momento de seleccionar proponentes para un trabajo, piensen en la empresa como una de sus primeras opciones. De ahí en adelante, corresponde a su propia experiencia y capacidad el presentar la mejor oferta técnico-económica y llevar a buen término el proyecto en caso de ser favorecidos.
En la lucha por captar consumidores, es de vital importancia adquirir una comprensión completa de la posición de la compañía con respecto al mercado consumidor y sus competidores. A partir de las observaciones realizadas en la investigación, es razonable suponer que la empresa es uno de los competidores fuertes (pero pequeños) que van a la zaga del líder. Como tal, sería insensato pretender embarcarse en una guerra total en todos los frentes mercadotécnicos, opciones que sólo pueden ser consideradas cuando se domina un mercado. Como en cualquier guerra, las batallas por el mercado son inmisericordes con los errores, y deben respetarse los principios de la fuerza de Von Clausewitz33 so pena de sufrir una derrota apabullante: La organización más grande tiene siempre una ventaja sobre la pequeña en caso de un combate frontal. Más bien, considerando las aspiraciones de alcanzar un liderazgo regional en el mediano plazo, y dada la fortaleza indiscutible de la empresa líder, la estrategia de mercadeo debe enfocarse hacia una ofensiva concentrada. Efectivamente, deben estudiarse con minuciosidad las fortalezas y (especialmente) las debilidades de los competidores, de forma que se identifiquen nichos o segmentos especializados de mercado en los cuales éstos sean vulnerables. Especialmente, la empresa debe capitalizar dos factores: La situación de descontento entre los clientes de la firma líder y la alta carga administrativa que su mismo tamaño implica. Si se concentra en prestar un mejor servicio, con buena capacidad de respuesta y atención personalizada, a un precio competitivo, podrá seguramente captar un porcentaje significativo del mercado de la competencia.
Con base en las variables definidas, pueden establecerse indicadores que permitan hacer seguimiento de los efectos de las medidas implementadas. Tales indicadores se relacionan directamente con los ambientes de mercadeo de la organización. Las variables relativas a los conjuntos de selección, enumeradas inicialmente en el tabla 1, sirven para revisar las estrategias de mercadeo de acuerdo con la evolución del mercado. Es importante tener en cuenta que las medidas que resultan efectivas en la actualidad pueden llegar a ser inútiles si las condiciones del ambiente de mercadeo se modifican. La complejidad que implica la cuantificación o estimación de estas variables, sin embargo, hace que éstas sólo se puedan revaluar de manera esporádica, restringiendo su aplicabilidad como un indicador de uso continuo.
A diferencia de las externas, las variables internas definidas en el Tabla 1 son de medición diaria en la operación normal de la empresa, lo cual las convierte en indicadores de control apropiados para evaluar la efectividad de cualquier medida. Dichas variables incluyen la cantidad de cotizaciones presentadas, los contratos suscritos y el nivel de ventas en función del tiempo. La cuarta variable definida en el Tabla 1 (participación porcentual del mercado), es externa a la compañía y se asocia más al primer grupo en cuanto a forma y frecuencia de medición. Los indicadores así definidos permiten comparar los valores medidos o estimados al inicio de la investigación y las cifras actuales. Las variables externas requieren estudios adicionales para poder ser cuantificadas. Se observa mejoría en las variables internas como respuesta a la conjunción de todas las actividades administrativas y operativas de la compañía, por lo que no se puede alegar que obedezca a resultados directos del presente trabajo de grado. Sin embargo, es razonable afirmar que la investigación ha contribuido al logro de tales cifras, habiéndose establecido una clara diferencia con el comportamiento de los dos años anteriores.
CONCLUSIONES
Conoce al enemigo y conócete a ti mismo; nunca te encontrarás en peligro en cien batallas".34 El análisis estratégico y la investigación de mercado no buscan otra cosa que lograr un conocimiento de la empresa y su entorno de mercado para enfrentar mejor la competencia en la disputa por las preferencias de los consumidores. Aunque entender las fuerzas internas en juego es mejor que no saber nada al respecto, sólo la comprensión completa del ambiente de mercadeo permitirá asumir riesgos con cierto grado de seguridad. Parte del conocimiento que debe procurar adquirir un gerente-estratega, es su ubicación relativa en el cuadrado estratégico.35 De esta forma se puede determinar claramente si se es el líder del mercado, un competidor principal y directo, un competidor fuerte de menor tamaño o un competidor pequeño que debe evitar atraer la atención de los grandes. La que es una estrategia adecuada para el líder puede ser equivocada, y peligrosa, para el segundo o tercero.
Si bien es cierto que las épocas de crisis obligan a replantear estrategias y requieren medidas drásticas, no por ello deben olvidarse los preceptos básicos. Por el contrario, las condiciones recesivas hacen recomendable repasar las cualidades esenciales de una gerencia efectiva,36 las cuales deben perdurar independientemente de las estrategias adoptadas: Honestidad respecto al potencial de la empresa, racionalización de los recursos disponibles y planeación hacia el futuro.
Aún es difícil vislumbrar muestras de recuperación de muchos sectores tras los recientes períodos recesivos. Sin embargo, las siempre presentes necesidades del mercado por productos y servicios de ingeniería térmica hacen que este negocio ofrezca diversas oportunidades hacia el futuro. En especial, la pobre imagen que los contratistas tienen en general en aspectos tales como atención y servicio posventa constituye una oportunidad para capturar mercado. Aunque la actual crisis económica es una amenaza que atenta contra la supervivencia de las empresas, las que logren persistir saldrán favorecidas por la consecuente reducción del mercado competidor.
Con un total de ventas estimado en unos 20.000 a 25.000 millones de pesos por año, los servicios que presta la empresa en Cali conforman un mercado pequeño. Si a esto se suma el hecho de que existen numerosos contratistas compitiendo por cada contrato, se hace necesario plantear estrategias que permitan incrementar la participación en el mercado local e incursionar otros mercados. Como se ha manifestado de manera reiterativa en el transcurso de este trabajo, las épocas en que la calidad de los trabajos ejecutados y las recomendaciones de un cliente satisfecho eran todo el mercadeo necesario para seguir en competencia pertenecen a un pasado reciente pero extinto. Los clientes y sus negocios están en el campo, así que la organización debe orientarse hacia afuera y capturarlos.
Cuando se establece una jerarquía entre las firmas prestadoras de servicios con el fin de determinar el Pareto del grupo de competidores, pueden quedar excluidos contratistas importantes por razones diferentes a su posicionamiento o participación de mercado. Tal es el caso de firmas que compiten directamente con la compañía en nichos especializados de mercado o que, en razón de sus características particulares y/o prácticas comerciales representan riesgo directo para las operaciones de la empresa. La presente investigación debe servir como una carta general de navegación en cuanto a la estrategia de mercadeo aconsejable, pero no puede constituirse en un libreto inamovible para el manejo de la compañía. Cada resultado o conclusión de la investigación debe evaluarse en su debido contexto, involucrando matices cualitativos o intangibles, los cuales son de difícil manifestación analítica. Al fin y al cabo la gerencia, como el mercadeo y la guerra, es más un arte que una ciencia y como tal depende en última instancia de factores intuitivos o subjetivos. Ningún instrumento de análisis puede eliminar por completo la experiencia y el sentido en los procesos de toma de decisiones estratégicas.
Así como las estrategias son específicas para cada empresa y su entorno, también se relacionan de manera directa con las condiciones particulares del momento en que se planteen. El dinamismo del ambiente de mercadeo obliga a revaluar con relativa frecuencia la composición de los conjuntos de selección y todas las demás variables externas pertinentes.
Finalmente, una de las conclusiones más importantes del trabajo es la utilidad práctica que representó para la empresa de servicios de ingeniería. Aún sin haber implementado de manera formal la estrategia de mercadeo, el solo ejercicio de investigación teórica y de campo, así como las reflexiones derivadas sobre la marcha a partir de la misma, han servido para replantear los procesos mentales del co-autor como gerente de la empresa de servicios de ingeniería. Con base en el comportamiento reciente de los indicadores de desempeño, se puede afirmar que la investigación ha empezado a rendir frutos antes de su completa implementación.
NOTAS AL PIE DE PÁGINA
1. Stanton, William J., Etzel, Michael J. y Walker, Bruce J. Fundamentos de Marketing. 9ª ed. México: McGraw-Hill, 1992. p. 217.
3. Loop. (Ing.) Ciclo cerrado, rizo.
4. Choice set. (Ing.) Conjunto de elección, conjunto de decisión. Grupo de proveedores entre los cuales se toma una decisión de compra.
5. Consideration set. (Ing.) Conjunto de consideración. Grupo de proveedores a los cuales se consideraría invitar a cotizar productos o servicios.
6. Evoked set. (Ing.) Conjunto de recordación. Idem interpretación anterior.
7. Roberts, John H. y Lattin, James M. Development and Testing of a Model of Consideration Set Composition. En: Journal of Marketing Research. Vol. 28, Nov. 1991.
8. N.A. Aunque algunos autores otorgan igual significado a los términos "Consideration Set" y "Evoked Set", el autor considera que su investigación es más cercana al concepto de "consideración" que al de "recordación", dada la interpretación específica de "firmas a las que se consideraría invitar a cotizar" utilizada en el presente trabajo.
9. Awareness set. (Ing.) Conjunto de percepción, conjunto de reconocimiento. Proveedores reconocidos por parte de un cliente o grupo consumidor.
10. Roberts et.al. Ibid. p. 429-440.
11. N.A. El problema esencial de la investigación radica en identificar los mecanismos que permitan transferir la teoría de los choice sets y consideration sets, definida alrededor de productos y marcas comerciales, a un entorno de servicios de ingeniería en el cual el concepto de marca no se maneja de manera explícita.
12. Roberts et.al. Op.Cit. p. 429-440.
13. Andrews, Rick L. y Srinivasan, T.C. Studying Consideration Effects in Empirical Choice Models Using Scanner Panel Data. En: Journal of Marketing Research. Vol. 32, Feb. 1995. p. 30-41.
14. Wu, Jianan. y Rangaswamy, Arvind. A Fuzzy Set Model of Consideration Set Formation Calibrated on Data from an On-Line Supermarket. University Park: eBRC, 1999. 48 p.
15. Fuzzy. (Ing.) Indefinido. Literalmente, borroso, confuso.
16. Crisp. (Ing.) Definido. Literalmente, diáfano, claro, nítido.
17. Gensch, Dennis H. y Ghose, Sanjoy. Elimination by Dimensions. En: Journal of Marketing Research. Vol. 29, Nov. 1992. p. 417-429.
18. Bronnenberg, Bart J. y Vanhonacker, Wilfried R. Limited Choice Sets, Local Price Response, and Implied Measures of Price Competition. En: Journal of Marketing Research. Vol. 33, May. 1996. p. 163-173.
19. Wu et.al. Op. Cit. p. 28.
20. N.A. Para una explicación resumida sobre el origen de estas cifras, referirse a la Tabla 1: Submercado consumidor. Por su misma definición, los porcentajes propuestos se relacionan directamente con los conjuntos de percepción, consideración y elección, los cuales se describen en el marco teórico del proyecto.
21. Sapag Chain, Nassir y Sapag Chain, Reinaldo. Preparación y evaluación de proyectos. 2a. ed. México: McGraw-Hill, 1989. p. 39-93. ISBN 968-422-045-6.
22. Ishikawa, Kaoru. ¿Qué es el control total de calidad?: La modalidad japonesa. Cali: Norma, 1991. p. 58- 60. ISBN 958-04-0199-3.
23. Goodyear International Corporation. The memory jogger: Guía de bolsillo para mejoramiento continuo. 2a. ed. Methuen: Goal/Qpc, 1990. p. 70.
24. Kume, Hitoshi. Herramientas estadísticas para el mejoramiento de la calidad. Bogotá: Norma, 1992. p. 200.
25. Kotler, Philip. Manual de la Mercadotecnia. Estados Unidos: Prentice Hall, 1995. p. 119.
26. Mendenhall, W., Scheaffer, R.L. y Wackerly, D.D. Estadística Matemática con Aplicaciones. México: Iberoamérica, 1986. p. 326-328.
27. Tagliacarne, Gugliermo. Técnicas y Prácticas de la Investigación de Mercados. Barcelona: Ariel, 1973. p. 238.
28. Entrevista con Adriana R. Mora, docente en la Universidad Icesi, abr. 11, 2002.
29. N.A. La Figura 3 presenta una aproximación gráfica a la forma en que se confronta cada hipótesis como valor de prueba en la curva de distribución normal. Con un propósito meramente ilustrativo, se ha dibujado una localización aproximada de los puntos correspondientes a los tres estadísticos de prueba (Z1, Z2 y Z3), sin escala específica.
30. N.A. La prueba estadística no permite "aceptar" la hipótesis sino que se limita a "rechazarla" o "no rechazarla". Sin embargo, el "no-rechazo" del valor de prueba resulta en sí mismo una validación de la hipótesis correspondiente.
31. N.A. Debe anotarse que algunos competidores pueden ser importantes para Omega por razones diferentes a su posicionamiento o participación de mercado, ya sea porque compiten directamente con la compañía en nichos especializados de mercado o porque, en razón de sus características particulares, representan algún riesgo para Omega Ingenieros.
32. Top-of-Mind. (Ing.) Marca o firma de mayor recordación en la mente de los consumidores.
33. Ries, Al y Trout, Jack. La Guerra de la Mercadotecnia. Bogotá: Kimpres, 1994. p. 23-30. il. ISBN 968-451-998-2.
34. Tzu, Sun. El Arte de la Guerra. 3a. ed. Bogotá: Panamericana, 2001. p. 126.
35. Ries, et.al. Op. Cit. p. 47-52.
36. Hindle, Tim. Back to Basics. En: The Economist. mar. 9-15, 2002. p. 3.
BIBLIOGRAFÍA
Andrews, Rick L. y Srinivasan, T.C. Studying Consideration Effects in Empirical Choice Models Using Scanner Panel Data. En: Journal of Marketing Research. Vol. 32, Feb. 1995. p. 30-41.
Borrero Caldas, Silvio. Propuesta de Estrategia de Mercadeo para una Empresa de Ingeniería Térmica. Cali: Universidad Icesi, 2002.
Bronnenberg, Bart J. y Vanhonacker, Wilfried R. Limited Choice Sets, Local Price Response, and Implied Measures of Price Competition. En: Journal of Marketing Research. Vol. 33, May. 1996. p. 163-173.
Gensch, Dennis H. y Ghose, Sanjoy. Elimination by Dimensions. En: Journal of Marketing Research. Vol. 29, Nov. 1992. p. 417-429.
Goodyear Iternational Corporation. The memory jogger: Guía de bolsillo para mejoramiento continuo. 2a. ed. Methuen: Goal/ Qpc, 1990. p. 70.
Hindle, Tim. A Survey of Management: Back to Basics. En: The Economist. mar. 9-15, 2002. p. 3.
Ishikawa, Kaoru. ¿Qué es el control total de calidad?: La modalidad japonesa. Cali: Norma, 1991. p. 58-60. ISBN 958-04-0199-3.
Kotler, Philip. Manual de la Mercadotecnia. Estados Unidos: Prentice Hall, 1995. p. 119.
Kume, Hitoshi. Herramientas estadísticas para el mejoramiento de la calidad. Bogotá: Norma, 1992. p. 200.
Mendenhall, W., Scheaffer, R.L. y Wackerly, D.D. Estadística Matemática con Aplicaciones. México: Iberoamérica, 1986. p. 326-328.
Ries, Al y Trout, Jack. La Guerra de la Mercadotecnia. Bogotá: Kimpres, 1994. p. 23-30. il. ISBN 968-451-998-2.
Roberts, John H. y Lattin, James M. Development and Testing of a Model of Consideration Set Composition. En: Journal of Marketing Research. Vol. 28, Nov. 1991. p. 429-440.
Sapag Chain, Nassir y Sapag Chain, Reinaldo. Preparación y evaluación de proyectos. 2a. ed. México: McGraw-Hill, 1989. p. 39- 93. ISBN 968-422-045-6.
Stanton, William J., Etzel, Michael J. y Walker, Bruce J. Fundamentos de Marketing. 9ª ed. México: McGraw-Hill, 1992. p. 217.
Tagliacarne, Gugliermo. Técnicas y Prácticas de la Investigación de Mercados. Barcelona: Ariel, 1973. p. 238.
Tamayo y Tamayo, Mario. El Proceso de la Investigación Científica. México: Limusa, 2000. 231 p.
Tzu, Sun. El Arte de la Guerra. 3a. ed. Bogotá: Panamericana, 2001. p. 126. ISBN 958-30- 0613-0
Wu, Jianan. y Rangaswamy, Arvind. A Fuzzy Set Model of Consideration Set Formation Calibrated on Data from an On- Line Supermarket. University Park: eBRC, 1999. 48 p.