UPDATING BELIEFS: ARE ECONOMIC AGENTS INSPIRED BY RATIONAL ACTION OR ACCORDING TO ONES HOPES AND FEARS?
NATALIA GONZÁLEZ1, SACHIKO FUKANO AND EDGAR ORLANDO BENÍTEZ*
1Professor of Economics, Universidad Icesi.
Fecha de recepción: 5-4-2004 Fecha de aceptación: 30-6-2004
ABSTRACT
The purpose of this investigation was to simulate a real life scenario and explore the way economic agents update their beliefs. Do they update according to what they hope? Or do they update inspired by rational behavior?
We mimicked the environment which a recently high school graduate faces when entering college to see how a student updates his beliefs in regards to his classroom position. We examined how economic agents envisage themselves through and through college and see if they update their beliefs about a hypothesis A in the light of new evidence B, or if they update their beliefs subject to what they choose they hope. In this sense we explored the possibility of setting aside the neoclassical assumption that agents are anything more than hyper rational naïve optimizers acting on perfect (and in some cases, limited information) in order to turn back to an older tradition in economic theory, that is agents are recognizably human.
KEYWORDS
Belief formation, rational behavior, rational choice, wishful thinking, counter wishful thinking, hopes, fears, preference relation, information processing mechanisms: Bayes approach.
Classification: A
JEL classification: C9/C91
1. INTRODUCTION
The purpose of this investigation was to simulate a real life scenario and explore the way economic agents update their beliefs. Do they update according to what they hope? Or do they update inspired by rational behavior?
We mimicked the environment which a recently high school graduate faces when entering college to see how a student updates his beliefs in regards to his classroom position. We examined how economic agents envisage themselves through and through college and see if they update their beliefs about a hypothesis A in the light of new evidence B, or if they update their beliefs subject to what they choose they hope. In this sense we explored the possibility of setting aside the neoclassical assumption that agents are anything more than hyper rational naïve optimizers acting on perfect (and in some cases, limited information) in order to turn back to an older tradition in economic theory, that is agents are recognizably human.
In other words, we did not attempt to see people as locations of their respective utilities, as spots at which utility is realized. We conceived people with emotions as well as emotional dispositions. For the former, individuals that experience actual episodes of anger, fear, joy and the like, and for the latter, individuals prone to having actual emotions. Men and women with distorted recollection of past events, and distorted causes of success or failure. And if this is not enough, we are only left with human beings eternally doomed to being human.
2. REVIEW OF THE LITERATURE
Following this brief introduction, we will present some of the related literature in regards to the hypothesis that a vast majority of people that assess their position in a distribution of peers on almost any positive trait, for example driving ability (Ola Svenson, 1981), income prospects (Weinstein, 1980) or marriage success (Baker and Emery, 1993) say they are above average, even though only half can be (if the trait is symmetrically distributed).
Other empirical studies (e.g., James March and Zur Shapira, 1987), show that most business failures are due to entrepreneurs entry mistakes, in other words to the optimistic bias that distorts their inferences and influences their economic behavior entry into markets.1 They proved the hypothesis that business failure is the result of managers acting on optimism about their relative skill. Others concentrated their efforts on the explanation for high rate business failure (Richard Roll, 1986). Later studies departed from the fact that economic decisions were the result of overconfidence. Others linked these two elements and measured economic decisions and personl overconfidence simultaneously2 (Camerer and Lovallo, 1999).
Psychologists have compiled ample evidence that people have biased perceptions, Guthrie, Rachlinski and Wistrich (2001) distributed a questionnaire to 168 federal magistrates´ judges as part of the Federal Justice Center´s Workshop for Magistrate Judges II in the city of New Orleans. They tested the relationship of the judges´ estimates of their ability relative to other judges; they were asked the following question: "if we were to rank all of the magistrate judges currently in this room according to the rate at which their decisions have been overturned during their careers, what would your rate be?" The judges were then asked to place themselves into the quartile corresponding to their respective reversal rates: highest (> 75%), second highest (> 50%), third highest (> 25%), or lowest. The judges´ answers were very particular: 56.1% put themselves into the lowest quartile, 31.6% into the second lowest quartile, 7.7% in the second highest quartile and 4.5% in the highest quartile, meaning that nearly 90% thought themselves above average.
Kennedy and Dimick (1987) found that 48% of college athletes in revenue- producing sports expect to play professionally, far in excess of the real figure of 2%.
Another body of extensive literature (Cho, I.-K and D. M Kreps 1987) related with belief formation is neoclassical decision theory which state that an agent chooses whether or not to undertake an activity either by computing the expected values of that activity or situation, or more generally by computing the expected utility of that situation, where it is assumed that they combine new data with the existing knowledge. In other words, they update their belief about a hypothesis A in the light of new evidence B. Specifically, their posterior belief P(A|B) is calculated by multiplying the prior belief P(A) by the likelihood P(B|A) that B will occur if A is true. The essence of this approach, the Bayesian approach, is that beliefs must be the best the agent can form, i.e. have the greatest likelihood of being true, given the information available to him (Jon Elster 2001) in order to characterize an action as rational. It provides a mathematical rule explaining how the agent should change his existing beliefs in the light of new evidence in order to choose the best means of satisfying his desires.
Additionally, neoclassical economic theory agents -especially game theory- (Bicchieri 1999) are assumed to be, as I mentioned before, rational. This assumption includes the hypothesis that agents form rational beliefs, i.e., beliefs are the very best agents can form. Individuals are "gifted" in the sense that their beliefs are embedded by the available information, as well as all kinds of mechanisms to process information.
3. THE ASSUMPTIONS IN THE EXPERIMENT
Even though the literature on overconfidence mentioned previously is based on psychological experiments and surveys showing that individuals overestimate their own abilities or knowledge as well as the precision of their information, the theoretical core supporting this evidence is based on a large body of cognitive disorder theories (Kahneman and Tversky 2001).
We on the other hand will support the evidence obtained in this investigation, not based on the agents´ cognitive state but on the importance of the agents´ hopes and fears and how they affect him in a way where he might fail to conform to the prescriptions of neoclassical decision theory, were he might fail to form rational beliefs.
This research departs from neoclassical decision theory by incorporating an essential element among players that interact. Under a scenario of strategic interaction a problem of inference and induction arises when players must come to form correct beliefs in the presence of incomplete, inconclusive and distorted evidence about how other players are. There is ample evidence (Bicchieri 1998) that an entire group of people is affected by the performance of every individual within that group because what one does depends on what one believes one is going to do; what one believes the other is choosing; and what one believes the other believes one is going to do.
As it was mentioned before (Young 1998) there are various studies that deonstrate that human behavior deviates in systematic ways, particularly from the behavior attributed to the expected utility maximizers, and to rational economic man in general. The purpose is to move away from the overdependence on idealized models of hyper-rationality.
In other words, despite the principles of mutual rationality and common knowledge the purpose of the present investigation is to explore the possibility that people form their beliefs not inspired by rational behavior.3
In this sense, various unanswered questions arise. For example, what kind of special being must one be to be miraculously gifted with the capacity to change his existing beliefs in the light of new evidence, and additionally lacks of weakness of the will4 when making his decisions, in other words, he is never tempted to fail to his beliefs. What if individuals form beliefs subject to what they choose they hope? In this way, when referring to belief formation we suggest that rational choice theory is not sufficient to explain, imagine and envisage belief formation. However, as I mentioned above, various unanswered questions arise. For example, what if individual´s beliefs concerning uncertain events are not expressed in numerical form, as odds or subjective probabilities? Or what if individuals rely on a limited number of heuristic principles which reduce complex tasks of estimating probabilities and predicting values to simpler judgmental operations?
Let us begin by imagining an agent that must decide what to do after graduating from high school, where A represents his set of alternatives. Suppose the alternatives in A are given by the following: {applying for a job, buy an airplane ticket and travel around the world, attend college, lay back and take time off}.
In a preference based approach, the
objectives of the agent are summarized
in a preference relation. This
relation is technically a binary relation
on the set of alternatives A,
which allows the comparison among
alternatives {a, b, c, d }
A, where a =
applying for a job, b = buying an airplane
ticket and traveling around the
world, c = attending college, d = laying
back and taking time off.
However, the comparison among alternatives will stand after each individual envisages himself under each imaginary state of the world. In this sense, an economic agent´s imagination is implicitly evaluative when forming his beliefs as it reflects how he sees himself, how he sees others and how he thinks others see him. Therefore, as beliefs are product of the human agent´s imagination he is incapable of constructing beliefs he doesn´t really believe in.
Let us return to our high school graduate example. If an agent were to define his preferences between all possible alternatives, for example:c ≥ b, ≥ a ≥ d this would take work and serious reflection for the agent to find out his own preferences. He would begin by imaging himself in each of these states, and in the course of action, envisage what it would feel to actually experience them. He would experience his journey creating relationships within the world that surrounds him. However, when a recently high school graduated student forms his beliefs with respect to the set of alternatives, his process of belief formation hasn´t just begun. In other words, this process does not precisely initiate immediately after facing his decision. This process begins with every experience he has had of others experience in each of these states of the world he relates to.
In occasions, and without knowing, every relationship he encounters along his life has been inspired by what appears to be others emotions in each of these states of the world. He uses his imagination and conceives what he himself hopes (or fears) he would feel in that specific state of the world in order to form an idea of the way in which others are affected. He uses his imagination, and in the course of action he systematically evaluates himself in an unreasonably optimistic (or pessimistic) way with respect to others experience. In other words, when envisaging himself in other´s situation his hopes and fears plausibly and predictably influence the belief he forms of other´s sensations in a way that they will seldom correspond to the existing facts or outcomes. When relating to the experiences of others in each of these states of the world, he is influenced by what he hopes and by what he fears others experiences of grief or joy are all about. The beliefs he has formed about the experiences of others will be conditioned to his hopes and fears.
This recently graduate student doesn´t represent his preference relation only on the basis of his experience of others experience, but additionally he nourishes his preference relation upon the beliefs he forms after facing his decision. When wanting to decide what comes next in his life, this high school student will envisage himself given the set of alternatives in A. He pictures himself after graduating from high school under each imaginary state of the world, not to mention the experience he has related to other´s experiences. Moreover, his imagination is impregnated of an implicitly evaluative way of forming his beliefs, as it reflects his hopes and fears of how he sees himself, how he sees others and how he thinks others see him.
For example, if a high school student
were to conceive what he himself
would feel and look like in the following
state of the world c
A, where c
represents attending college, his imagination
could implicitly evaluate this
state in accordance with how he
hopes (fears) seeing himself attending
college, how he hopes (fears) seeing
others attending college; and how
he hopes (fears) others see him attending
college. If this student were
to imagine his passage through college
as an outstanding student (top
five), this imaginary state could be
subject to his hopes with respect to
the evaluation of others, not to mention
the accumulative experience he
also has related to through the experience
that others have had in the
past in regards to college attendance.
On the contrary, if he were to envisage
his journey through college as an
under average student his beliefs
could be subject to his fears.
Additionally, we shall consider his beliefs to be firm beliefs. This means that whenever a student forms a belief, he has made use of his imagination, in other words, he believes firmly in his imaginary state due to his incapability of constructing beliefs he doesn´t really believe in.5
Continuing with the formation of the imaginary state of our student (where he hopes his journey through college as an outstanding student) he consolidates his formed belief conceiving each imaginary state according to his hopes or fears, for example:
"I am going to be an outstanding student given what I hope about my own relative abilities, in other words what I hope about myself with respect to my classmates´ abilities. And, what I hope my classmates´ believe about my abilities as well."
In addition, he never forgets the experience he has encountered in the past when relating to the experience of others in this particular state of the world. Therefore, he doesn´t nourish his preference relation only on his hopes of others´ past experience (knowing that it seldom corresponds to the existing facts or outcomes of others) but it is also determined by the influence of his hopes (fears) after facing his decision. In the end, the beliefs he has formed about himself in college will be conditioned to his wishful and counter-wishful thinking.
Our recently high school graduated student´s imaginary state can be simplified as follows:
A students´ imaginary state during any semester is subject to what he hopes of himself; what he hopes of others and what he hopes others hope of him, that is, a students´ imaginary state during any semester is given by his beliefs. For example, if a students´ imaginary state can be represented by being among the top five in his classroom during his college attendance given his beliefs, and the latter is expressed by what he hopes of himself; then the product of his hopes is to envisage himself as part of the top five in his class.
Additionally, his beliefs are subject to what he hopes of others and what he hopes others hope of him, for the former the student beliefs represent what he hopes of the rest of the class. He hopes that with exception of four more classmates the rest of his classmates are not part of the top five during his college attendance. Nonetheless, the students´ beliefs are also subject to what he hope others hope of him. In this sense, when he envisages himself as part of the top five in his classroom during his college attendance given his belief of what he hopes of the rest of the class it is impossible for him to believe others (except his four companions in the top five list) believe that in comparison with him, they have higher abilities than him. After all, his beliefs stem from his hopes, and if he should suffer of wishful thinking, he would never believe that in comparison with him, others have higher abilities. Likewise he believes what he hopes others hope of him. He believes what he hopes his classmates believe of him and he hopes they believe what he hopes of himself.
No only is a student´s wishful thinking useful to support his beliefs when mismatching others experience through an imaginary situation he has conceived of others experience when encountering the world he relates to. Moreover, after graduating from high school and facing the decision of what to do, wishful thinking serves to support the way he envisages himself during his journey through college.
The idea that overconfidence will affect how human agents envisage themselves will additionally influence the way he represents his preference relations. Moreover, it will represent an inconvenient when rationalizing his preference relation since it arises from how he hopes he will feel and see himself in each state of the world. He conceives himself subject to (i) his personal experience with others experience in relation to his hopes; (ii) his wishful thinking in comparison with others and with what others believe with respect to him. Therefore, if a student is looking for a rational way out for the decision he faces, most probably he will be disappointed with himself after making his decision due to the influence of his hopes -and fears- when forming his beliefs.
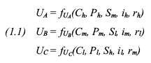
Let us now consider a group of students coming from different types of schools, meaning public and private high school systems and quite different family levels of income who must decide what to do after graduating from high school. Each one of these students faces different alternatives in the sense that they have different options in terms of what to do after graduating. However each student has something in common with one another, they share at least one same alternative: attend college. Besides attending college some of these students will share another common aspect. They can decide to enroll in the same college. The choices each student has are University type A, B or C:

Where UA, UB and UC denote university A, B and C, ch, cm and cl express a high cost tuition, a medium and a low cost tuition respectively; ph, pm and pl represent high prestige (understood as the university´s good will), medium standards, and low levels as well; sh, sm and sl, correspond to high, medium and low academic standards; ih, im and il, represent high, medium and low levels of expected income after graduation day and rh, rm and rl, denotes how fast a recently undergraduate is recruited for a specific job, which can fluctuate between high, medium and low.
Since each student has among his alternatives attend college, and each one has his unique hopes, then each one will believe what he hopes of his particular state of the world; that is of his unique college attendance process. For this to work, we decided to categorize the universities if we wanted to simulate -in a much more realistic way- the process he eventually could live in the flesh if he decided to attend college. The reason for categorizing universities in types A, B and C had to do with the need for students to transport themselves to that particular state and recreate their hopes with respect to one particular aspect: his relative abilities. According to his hopes, he will form his beliefs and in the process he will end up envisaging his imaginary state of the world.
During the experiment we will simulate the process he eventually could live in the flesh if he decides to attend the university. The intention is to transport each student to that particular state and recreate his hopes with respect to one particular aspect: his relative abilities. According to his hopes he will form his beliefs and in the process he will end up envisaging his imaginry state of the world. To do so, we designed two types of experiments.
4. THE SETTING AND CONDITIONS OF THE EXPERIMENT
We conducted the experiment in three different classrooms, one for each type of university. That is, one for each group of students that share not only the desire of going to college, but attending the same school as well. Because of the individual student´s preferences, each university did not share an equal amount of students desiring to go to the same university. In this sense, the number of students that choose university A, B and C were 8, 10 and 7 respectively.
After each student was located in his o her classroom, we provided him with a proper identification, that is, a code. Additionally, immediately after he was located in a seat his belief formation process initiated. When entering the classroom he began to imagine what it would be like to share the same career path6 through and through with other students. He began to imagine how he sees himself under that scenario.
Each experiment started by giving instructions to each student about what they were required to do. After the instructions were read out loud a comprehension test was handed out to guarantee understanding of the tasks they will have to carry out during each experiment.
After every student was accommodated in his respective classroom (in accordance with his preferences) he was asked privately what position he expected to attain among his classmates. Each time he was asked to asses his position in a distribution of peers we gave him in return the result of his real position among his classmates. Both his expected position and his real result were registered. In addition he was informed that neither university A, B or C request down payments in regards to their tuition fees. In this sense, he was told "each student will have to pay his debt to tuition fees only after he has finished his ten semesters and the pecuniary incentives for good academic performance were calculated and granted (see pecuniary incentives below)."
Before we describe the two types of ranking systems required to determine the way his or her real position is granted, we must refer to the motivational aspect developed for the experiments in order to encourage students in judging their skills accurately. To do so, we devised two a pecuniary incentives.
First, if a student´s personal assessment at the beginning of each semester corresponds to the result at the end of his semester, then he will receive a bonus point. At the end of the career, that is, after finishing tenth semester the student that accumulates the highest value of bonus points will receive a reward.7 Where, β = l if εp = rp.
Then β represents the bonus point the student receives at the end of each semester, εp corresponds to the student´s expected rank position given at the beginning of each semester and rp denotes the students result at the end of the each semester.
The second pecuniary incentive was to offer the student the opportunity to live a closer and meaningful experience. In this sense, we designed real life institutional similarities. Many universities grant full or partial scholarships to students with special qualifications, such as high academic performances. We designed a similar mechanism. At the end of each semester, students that occupy first class rank position will be granted, in some cases full scholarships and in other cases, partial scholarships. Tables 1 to 6 show the percentage discounts and the percentage payments that were used to grant the pecuniary incentives used to calculate the debt related tuition fees at the end of a student´s passage through college.
We conducted two types of experiments: a) A randomized experiment, and b) A skill-based experiment. Before we describe how to calculate each student´s corresponding punctuation first we will describe the two types of experiments and so the two different ranking systems required determining the way his or her real position is granted.
4.1. Randomized experiment
The result that each student receives arises from a chance device: a random process. We placed in a bag the quantity of marbles indicating the position any student can occupy in the class. The quantities of marbles in each bag must correspond to the number of students appertainng to universities type A, B or C. However, what does this marble represent? How many times have you heard a story of a student that had an outstanding academic performance but for some good or not so good reason —probably falling in love— flunks the semester? His academic performance didn´t depend on his academic abilities only. The marble represents fate: the fact that in many occasions life can catch you off the beam. For this reason we designed the randomized experiment with the intention to incorporate fate in these students imaginary world. Adding fate to each student´s state of mind will not limit his imagination because when all is said and done, how many of us include the possibility of falling in love, but believe what we hope (or fear) love can do to us. We never imagine, or on the contrary imagine too much of what it can do to us. With the randomized experiment we explore if a student takes into account, or not these possible pitfalls and surprises to reassess his position in the classroom through and through each semester.
We assigned each rank position, that is, each marble a percentage discount and a percentage payment. For example, a student who withdraws from the bag the position number one will occupy first place among his classmates and is assigned a percentage discount of 100% and a percentage payment of cero. In other words, the university will condone the totality of the debt if and only if he occupies first place. If,
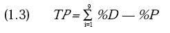
(1.2) P= (%D)-(%P)
Where P represents the punctuation of each student; %D expresses the institutional percentage discount each university stipulates according to its criterion8 and given the students rank position and %P denotes the percentage payment each university stipulates according to its judgments and the position the student occupies.
Table 1, 2 and 3 summarize the scale punctuation for universities A, B and C.

At the end of the tenth semester those students who accumulate the three highest punctuation values received another monetary reward. The payoffs at the end of his career will be given by the following,

4.2. Skill-based experiment
It is important to mention that the initial characteristics of this type of experiment are the same as the ones described for the randomized experiment. During each semester students are asked what position they expect to attain in their class. However, a difference comes to view with respect to the past experiment. Students´ position or rank depends on their skill. In other words, each student will be ranked according to his relative performance on a skill9 based task. Skill ranks are determined by how many questions subjects answer correctly on a sample questionnaire of ten questions. Each student receives a questionnaire and begins answering the semester´s examination until the time limit10 is up. After picking up each student´s examination, we graded it and in return we gave him or her rank position. Nonetheless, each student will receive two rank positions.
Again, we added the same two financial incentives to the experiment for judging ones skill accurately. Let us return to our prior idea in regards to the fact that each student receives two rank positions. First, each rank position was assigned according to the number of questions he answered correctly. For example, if a student fails in absolutely no question at all, he receives a percentage discount of 100% and a percentage payment of zero. However, if nobody answers correctly all ten questions no one will occupy an overall first place and no one will receive complete tuition coverage. If only one student among all ten students in a classroom fails in two questions, and nobody else has made fewer mistakes, he will have obtained an overall third place even though among his class mates he is the least worse off. Therefore, both levels of information are given to each student, that is, we provide each student with the following: his overall position, as well as his relative position (his position in comparison with others). So a student who occupies first place among his lassmates given the number of incorrect answers is assigned a percentage discount and a percentage payment and the university will condone a portion of the debt when,

Where P represents the students punctuation each semester; %D[#i.q] expresses the institutional percentage discount according to each students rank position11 and %P[#i.q] denotes the percentage payment each university stipulates according the position each student occupies.
It is important to highlight that both the percentage discount, and the percentage payment, depend on the student´s rank position. And the rank position depends on the number of incorrect questions: #i.q a student answers.
Table 4, 5 and 6 summarize the scale punctuation for universities A, B and C used during the skill-based experiment.

At the end of each student´s journey through college, those who accumulate the three highest punctuation values will receive another pecuniary prize.12 The total punctuation values at the end of the student career will be given by the following,

During the randomized experiment the student received information indicating the position he occupied among his classmates subject to a chance device: a random process. The intention of incorporating a bag full of marbles was to explore if incorporating fate (contrary to that in the skill-based experiment) changed the way each student reassessed his position in the classroom through and through each semester; if he reassessed his beliefs subject to what he hoped (or feared) more than he did during the skill-based experiment. When adding fate to each student´s state of mind we wanted to show that incorporating a bag of marbles sheds very poor limits to his imagination as it reflects his hopes and fears of how he sees himself, how he sees others and how he thinks others see him. In other words, we wanted to show that when incorporating fate his imagination is no longer bounded to his relative performance on a skill, contrary to what occurs in the skill-based experiment.
5. CONCEPTUAL FRAMEWORK FOR THE ANALYSIS OF RESULTS
With the skill-based experiment we were seeking an answer to the central question: In a natural occurring setting, does each student update his position in a distribution of peers on a given trait —in this case his skills— each semester in the light of new evidence? Or does he envisage and believe his journey through college the way he hopes (fears) it will be?
As we mentioned before, during both types of experiments each student was asked to asses his position in a distribution of peers and we gave him in return the result of his real position among his classmates.
From a Bayesian approach, when each student is asked to reassess his position he decides to incorporate the evidence he received from his past performance by updating his subjective belief. There are three possible results: a) his expected position (his estimate) is better than his real performance (his results), b) his expected position is worse than his real performance, or c) his expected position coincides with his real performance.
If a student´s expected position for semester i is better than his real performance for semester i, that is εi <Ri,13 his estimated position for semester i+1 will not be as surprisingly good as his past assessment, neither as bad as his past performance, that is εi<εi+1 ≤ Ri. Where εi corresponds to his expected position with respect to the previous semester; Ri represents his real performance during the previous semester and εi+1 denotes his updated belief. Both his previous expected position, as well as his previous real performance, represents the information he will use to update his belief.14
If a student´s expected position for semester i is worse than his real performance for semester i, that is εi < Ri,15 his estimated position for semester i+1 will be better than his past assessment, and the same or worse than his past performance, that is Ri ≤ εi+1 ≤ εi+1. Whereas, if a student´s expected position for semester i matches his real performance for semester i, that is εi = Ri, his estimated position for semester i+1 will match, both his past assessment, and past performance, that is Ri = εi+l = εi.
However, are students updating their beliefs, but unmoved towards subordinating their desires? Do students fail to subject themselves to the prescriptions of the rational choice theory? In this sense, our interest isn´t to explore if it is student´s desire doing what reason cannot do, but to explore if it is their desires doing what reason can do, only differently.
From a non Bayesian approach, when a student is asked to reassess his position he knows how he has performed in the past, still his hopes and fears remain relentless. Nonetheless, it is important to separate students rosy beliefs from their spiny ones, in that the former are conceived as wishful thinking and the latter as counter wishful thinking.
For example, if a student envisages next semester the way he hopes (in other words, subject to his desires) and at the end of a given semester he is asked how he thinks he will do the next semester, in terms of his performance, and in addition his expected position during semester i is better than his real performance for semester i, εi < Ri, his estimated position for next semester will be the same or better that his past expected position, that is εi+1 ≤ εi. Where εi+1 denotes his updated belief, εi represents his estimated performance during the previous semester and Ri corresponds to his performance during the previous semester. If a student imaginary state at the beginning of a given semester is based upon what he hopes of himself, what he hopes of others, and what he hopes others hope about him, and for example he hopes he will occupy second rank position, but at the end of the semester he occupies fifth place, that is, εi< Ri he knows how he has done and yet the power of his hopes unleash skepticism.
However if he envisages next semester the way he fears (counter wishful thinking) and in addition his expected position during semester i is better that his real performance for semester i, εi < Ri , his estimated position for next semester will be worse than his real performance during the past semester, that is, Ri <εi+1. The student knows how he has done and yet his fears tell him he has not done it: "his wishes (fears) are father to the thought" (Elster 2001).
If a student envisages next semester the way he hopes —wishful thinking— but contrary to the situation recently described above, his expected position during semester i, is worse than his real performance, that is εi > Ri, his expected position for the following semester will be better than his real performance during the past semester: εi+1 < Ri. However, if he envisages the next semester the way he fears, his expected position during the following semester will be the same or worse than his expected position during the past semester: εi ≤ εi+1
Finally, if his expected position during semester i, is the same as his real performance: εi = Ri, and he envisages next semester the way he hopes, his expected position for the following semester will be better than his expected position during the past semester hence his expected performance will be: εi+1 < εi. Nonetheless, if he envisages next semester the way he fears, his expected position will be worse than his expected position during the past semester: εi < εi+1.
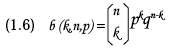
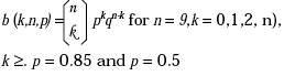
At the end of the student´s journey through college there are two possible outcomes: (i) he is granted the title of being a Bayesian agent or (ii) he is not granted the title. In addition, we classified the outcomes in each trail as successes and failures.16 In both types of experiments successes will refer to the outcome that represents a "student acting as if he was a Bayesian agent" and is denoted by the letter A, and failures will refer to the outcome that represents a student acting as if he was a non Bayesian individual and is denoted by the letter B. However, our interest does not lie on the outcome of a succession of n trials —made up of successes and failures— but in the number of successes17 that lie among the succession of n trials. In regards to both our experiments, it is not the outcome of a succession of nine semesters —trials— that interests us, but computing the probability that the number of successes (outcomes that represent a student acting as if he was a Bayesian agent) will be k for any integer k = 0, 1, 2, ..., n. We intend computing the number of trials of size k that may be formed from a set containing n trials. For simplicity we will denote the probability of a successful outcome: P[A] by (p) and the probability of an unsuccessful outcome: P [B] by (q). Where p ≥ 0, q ≥ = 0, p + q = 1. In addition we assumed that a student acts as if he was a Bayesian agent if he updates his beliefs in the light of new evidence, that is if (i) εi< Ri then εi < εi+1 ≤ Ri or (ii) εi> Ri then Ri ≤ εi+1 < εi or (iii) εi= Ri then Ri = εi+1 =εi. And he acts as if he were not, that is, if he forms his imaginary state subject to his hopes or fears, in other words if (i) εi< Ri then εi+1 ≤ εi (wishful thinking) or Ri < εi+1 (counter wishful thinking) (ii) εi>Ri then εi+1 < Ri (wishful thinking) or εi ≤ εi+1. (counter wishful thinking) (iii) εi = Ri then εi+1 < εi (wishful thinking) or εi< εi+1 (counter wishful thinking).
A summary of the student´s decision rules are presented in Table 7.

In order to specify the number of times k that an event occurs in n independent trials, we turned to an experiment, which has precisely two possible outcomes,18 that is a Bernoulli trial.19 This type of experiment involves independent repeated trials whose outcome is classified in two classes or categories, called successes and failures. From the point of view of each student, the outcome of each trial is not affected by his knowledge of the outcome of the previous trials when this knowledge is expressed as "the student acts as if he were Bayesian" or "the student acts as if he were non-Bayesian".
As we mentioned above, our interest does not lie on the outcome of a succession of n trials but in the probability that the number of successes will be k, for any integer k from 0, 1, 2, ... n. . In this sense, the event "k successes in n trials" can occur in as many ways as k letters A may be distributed among n places. In other words, the probability denoted by b(k;n,p), that n independent repeated Bernoulli trials, with probability p for success and q = 1-p for failure, will result in k successes and n-k failures (for k = 0, 1, 2, n) is called the binomial law and expressed by,

Where there are
descriptions that
contain k successes and n - k failures.
And in addition each description has
probability pkqn-k., where p represents
the probability of a successful outcome
(that the student apparently
acts as if he was a Bayesian agent),
and q denotes the probability of an
unsuccessful outcome (that the student
acts as if he was not a Bayesian).
6. ANALYSIS OF THE RESULTS
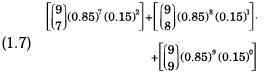
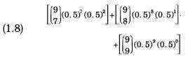
As we mentioned previously, during each trial the student acts as if he was Bayesian or as if he was not. However, we decided to grant the condition that the student is in fact Bayesian if he apparently acts as a Bayesian in at least seven of nine trials.20 In other words, let P[p] equal the probability that the student is Bayesian given his true probability that in fact he is Bayesian (say, p= 0.85) is given by:

Whereas the probability that the student is Bayesian given his true probability that in fact he is Bayesian, in other words because he is merely lucky (say, p= 0.5) is given by,

After examining the mathematical approach of the binomial law, Table 8 lists the Binomial probabilities of


In particular, the probability that the student is Bayesian because he apparently acts like one, in at least seven of the nine trails is given by p (0.85) = 0,86. In other words, there is an 86% probability that a student is Bayesian because he apparently acts like one, in at least seven of the nine trails. Whereas the probability that the student is Bayesian because he is merely lucky in at least seven of the nine trials is given by p (0.5) = 0,09, that is, there is a 9% probability that a student is Bayesian because he is merely lucky, in at least seven of nine trials.
6.1. Result Analysis of Skill- Based Experiment
With the skill-based experiment we were searching to answer the following query, "does each student update his position in a distribution of peers on a given trait -in this case his skillseach semester in the light of new evidence? Does he envisage and believe his journey through college the way he hopes (fears) it will be? Does he receive the ttle of Bayesian or does he not?"
During the skill based experiment and according to the student´s decision rules presented in Table 7, six of twenty five students changed their existing beliefs in the light of new evidence in at least seven of the nine trials: 24% of the students were granted the title of Bayesian agents. Whereas nineteen students acted as if they were envisaging their journey through college the way they hoped or feared: 76% used their imagination to implicitly evaluate themselves in accordance with how they hope (fear) seeing themselves.21
However, amongst those six students only one student changed his beliefs in the light of new evidence during all nine trials; three in at least eight of nine trials and two in at least seven of nine trials.
6.2. Result Analysis of Randomized Experiment
Just like the skill-based experiment, with the randomized we were searching to answer an important question mark, "does each student update his position in a distribution of peers on any given trait each semester in the light of new evidence? Does he envisage and believe his journey through college the way he hopes (fears) it will be? Does he receive the title of Bayesian or does he not?" However, when reassessing his position each semester given a chance device during the previous semester versus reassessing his position given the number of questions he answered correctly during the previous semester makes a difference. During the skill-based experiment: every student´s state of mind has been influenced by the previous number of correct and incorrect questions when reassessing his belief (position). Contrary to what happens with the randomized experiment: where each student´s state of mind has been influenced by a random process when reassigning his belief.
Nevertheless, during the randomized experiment, none of the twenty five students assessed their position in a distribution of peers on any positive trait in the light of new evidence in at least seven of the nine trials: none of the students were granted the title of Bayesian agents.
In other words, the entire group of twenty five students used their imagination to implicitly evaluate themselves and form their beliefs subject to his hopes and fears.22 During the randomized experiment we didn´t concentrate on a specific and unique positive trait, for example academic skills. In this case, all of the twenty five students reassessed their position in a distribution of peers above and/or below average. When reassessing his beliefs with respect to his position in a distribution of peers, but influenced by a chance device, his imaginary state is no longer bounded to his academic skills. On the contrary, he pictures himself in each imaginary state of the world (position)23 and in view of the fact that he does not self bound his imagination to a unique positive trait,24 he is influenced by what he hopes -and fears his position will be.7. CONCLUSIONS
The main question is whether each student is gifted with the capacity to change his existing beliefs in the light of new evidence (not to mention the lack of weakness of the will25 when making his decisions, understood as never tempted to fail to their beliefs), or if he envisages his journey through college the way they hope or fear it will be, that is, does he form his beliefs subject to what he hope or fear? The main question —when referring to belief formation— is if rational choice theory is, or isn´t sufficient to explain, imagine and envisage belief formation.
The answer is "No": when referring to belief formation, rational choice theory isn´t sufficient to explain, imagine and envisage belief formation. It is essential never to forget those nineteen students who did not form rational beliefs and who did not conform to the prescriptions of neoclassical decision theory. Nineteen students that conceive themselves subject to (i) their personal experience with others experience in relation to each ones hopes; (ii) their wishful (counter wishful thinking in comparison with others and with what others believe with respect to each one of them. Nineteen student who use their imagination, and in the course of action systematically evaluate themselves in an unreasonably optimistic way (or pessimistic) with respect to others experienc. Nineteen students who´s imagination is vividly impregnated of an implicitly evaluative way of forming his beliefs, as it reflects his hopes and fears of how each one sees himself, how each one sees others and how each one thinks others see him.
And even though the majority of students during the skill based experiment, 76% used their imagination to implicitly evaluate themselves as it reflects his hopes and fears of how he sees himself, how he sees others and how he thinks others see him whereas 24% changed their existing beliefs in the light of new evidence in at seven of the nine trials, rational choice theory should not be powerful enough to rule out the imagination of those nineteen students and move away from those who form their beliefs not inspired by rational behavior.
Various questions arise from the results of this investigation, however due to our interests they will not be explored. For example, during the previous results we talked about the whole group of students and how these twenty five individuals formed there beliefs. Nonetheless, according to the tables presented previously we can also see how during the skillbased experiment, students assisting university type A have a higher propensity to change their existing beliefs in the light of new evidence in at least seven of the nine trials, that is, to act as if they were Bayesian agents. Do students assisting university A have special characteristics that help them be prone to act as if they were Bayesian agents? Another important question that arises from the results has to do with why students assisting university B have a natural disposition to use their imagination in a way that they evaluate themselves in an unreasonably optimistic way (independent of the type of experiment we are talking about)? I leave an open window to answer these, and other further questions.
FOOTNOTES
1. There are interesting studies that show the percentage of entrant failure, Timothy Dunne (1988) estimated that 61.5 percent of all entrants exited within ten years, to do so he used plant-level data from the U.S. Census of Manufactures spanning 1963-1982.
2. They created two experimental settings with basic features of business and entry situations. Their experiments developed a paradigm: business entry and other skill based competitions can be studied further to determine that the success of entry subjects depends on their relative skill (compared to others entrants).
3. For a recent discussion on the motivational elements for economic agents acting rationally, See Linda Eriksson, Maximize What: The completeness Assumption and Rational Choice Theory Centre for Basic Research in the Social Sciences. Harvard University, March 2002.
4. According to Jon Elster weakness of the will can be understood as, "acting without regard for the consequences of one´s behavior, and acting against one´s own better judgment." Alchemies of the mind: Rationality of the Emotions, Cambridge University Press 1999.
5. However, if individual´s beliefs concerning uncertain events are expressed in numerical form or subjective probabilities, firm beliefs can be understood as when an agent´s subjective probability for believing in X equals to 1. See Bicchieri, Rationality and Coordination; Cambridge University Press (March 1997).
6. When entering the classroom each student believes that his classmates share not only his same preferences in terms of attending college and applying to the same school but studying the same career also.
7. We incorporated the monetary element to awake the numb disposition of students to take the experiment seriously. Henceforth, if students forecast accurately their academic performance against their real result they have the opportunity to win a monetary reward. This could be an interesting field to be treated in another investigation: how much are individuals willing to correct their cognitive disorders given monetary incentives?
8. We assumed all three universities granted the same percentage discounts and percentage payments according to the students position rank.
9. See Annex 1. The skills we chose to be evaluated were logic puzzles, analogies, logic.
10. Each questionnaire has different time limits depending on the difficulty of each semester´s examination.
11. Another important element that we left aside was the criterions each university has to grant percentage discounts and payments. In this sense, we assumed all three universities granted the same percentage discounts and percentage payments according to the students position rank.
12. In fact this incentive was designed, not necessarily for experiment two, but was thought in order to stimulate students in answering the skill based examination the best way according to their abilities.
13. When we refer to a better position, we mean a student expecting to be second in his class and turning out in fifth place; this to explain our inequalities.
14. We will assume that agents have a memory constraint based on the fact that the only information acquired by the agent to update his belief corresponds to that of his past expected and real position. This information is stored in memory and then used. Agents are not paying attention to information supporting their initial hypothesis, they are not paying attention to all past information, they simply pay attention to the last sample of information acquired from past actions.
15. Again, we refer to much worse, when a student expects to be fifth in his class and at the end of the semester he turns occupying first place.
16. Such type of experiment, which has two possible outcomes, is called a Bernoulli trial. See Sidney Siegel; Non-parametric Statistics for the Behavioral Sciences; McGraw Hill Book Company. 1956.
17. During both experiments, successes will refer to the outcome of a student acting as if he was a Bayesian agent.
18. According to our experiment, form the student´s point of view two possible outcomes refer to an agent that (i) updates his beliefs as if he was a Bayesian agent or (ii) as if he was not.
19. See E. Prazen, Modern Probability Theory and its Applications, John Wiley & Sons, Inc, New York-London (1960).
20. The rationale to chose at least seven of nine trials in order to grant the Bayesian condition is found in "How to tell skill from luck: A rather famous personage in statistical circles is the tea-tasting lady whose claims have been discussed by such outstanding scholars as R.A Fisher and J. Neyman; see E. Parzen, Modern probability theory and its applications, John Wiley & Sons, Inc. New York-London, 1960, pp. 103- 104. In addition, we also examined table 20 and we compared both the probability that in at least k ≥ 1, 2, n of the nine trials he is a Bayesian (i) because he seemingly acted like one and (ii) because he was merely lucky. We found that the difference between the probability that in seven or more trials he is a Bayesian because he apparently acts like one, and the probability that in seven or more trials he is a Bayesian because he was merely lucky is larger than if we classified at least k ≥ 1, 2, ...n, where n = 6 as the number of successes in nine trials. However, what does this mean? This means that the differential among both the probability that he is a Bayesian because he apparently acts like one and because he is merely lucky gets smaller each time the number of successes among the succession of nine trials becomes larger. In other words, whenever the differential becomes smaller, there is a similar probability that a student is granted the title of Bayesian because he is merely lucky and because he apparently acts like one. This means that there is too much of a thin line to realize if the student is a Bayesian because he is merely lucky or because he apparently acts like one. Nonetheless, classifying at least k ≥ 8, 9 as the number of successes in nine trials, brings us to the same problem mentioned previously, this is why we have decided to classify at least seven successes in nine trials as our cut point.
21. According to each student´s decision rules presented in table 7, appendix D, E and F show the number of trials in which a student (that assisted to any type of university) (i) apparently acts as a Bayesian, (ii) uses his imagination, and in the course of action evaluates himself in an unreasonably optimistic way with respect to his academic performance and (iii) uses his imagination to implicitly evaluate himself in an unreasonably pessimistic way with respect to his academic performance.
22. According to each student´s decision rules presented in table 7, appendix D, E and F show the number of trials in which a student (that assisted to any type of university) (i) apparently acts as a Bayesian, (ii) uses his imagination, and in the course of action evaluates himself in an unreasonably optimistic way with respect to his academic performance and (iii) uses his imagination to implicitly evaluate himself in an unreasonably pessimistic way with respect to his academic performance.
23. Not to mention the experience he had when relating to other´s experiences.
24. Which is impregnated of an implicitly evaluative way of forming his beliefs, as it reflects his hopes and fears of how he sees himself, how he sees others and how he thinks others see him.
25. According to Jon Elster weakness of the will can be understood as, "acting without regard for the consequences of one´s behavior, and acting against one´s own better judgment." Alchemies of the mind: Rationality of the Emotions, Cambridge University Press 1999.
* I thank both my assistants for a year of speechless dedication, enthusiasm and hard work. The views expressed in this investigation are solely those of the author. I am deeply indebted to Hipolito González who participated in my investigation and to whom I must thank infinitely for his comments, support and "fatherly" advice. Without your knowledge and personal encouragement this could not have been. A debt like this can never be repaid; through time I can only hope to pass them on to your grandchildren.
8. BIBLIOGRAPHIC
Aumann, Robert. Agreeing to Disagree. The annals of Statistics, 1976, 4 (6), pp. 1236-1239.
Allwood, Carl. M. Realism in confidence judgments of performance based on implicit learning. European Journal of Cognitive Psychology, 2000, 12(2), pp. 165-188.
Baker, Lynn. and Emery, Robert. When Every Relationship is Above Average: Perceptions and Expectations of Divorce at the Time of Marriage, Law and Human Behavior. 17(4), 1993.
Bernardo Antonio and Welch Ivo. On the Evolution of Overconfidence and Entrepreneurs. Working Paper, Anderson Graduate School of Management, UCLA. 1999.
Bicchieri, Cristina. Rationality and Coordination. Cambridge: Cambridge University Press, 1993.
Bicchieri, Cristina. The Logic of Strategy. Oxford: Oxford University Press, 1999.
Camerer, Colin F. and Lovallo, Dan. Overconfidence and Excess Entry: An Experimental Approach. The American Economic Review, March 1999, 80 (1), pp. 306-18.
Compte, Olivier and Postlewaite, Andrew. Confidence Enhanced Performance. Penn Institute for Economic Research (PIER) Working Paper 03-009. Department of Economics, University of Pennsylvania.
Elster, Jon. Sour Grapes: Studies in Subversion of Rationality. Cambridge: Cambridge University Press, 1986.
Elster, Jon. Rational Choice. New York: University Press, 1986.
Elster, Jon. Alchemies of the mind. Cambridge: Cambridge University Press, 1999.
Elster, Jon. Rational Choice Theory and its Rivals. Seminar in Santa Fe de Bogotá 2002.
Guthrie, Chris, Rachlinski, Jeffrey and Wistrich Andrew. Inside the Judicial Mind. Social Science Research Network Electronic Library SSRN ID257634 code 010223560.pdf.
Hvide, Hans K. Pragmatic Beliefs and Overconfidence. Norwegian School of Economics and Business, August 18, 2000. http://www.nhh.no/for/dp/2000/1100.pdf.
Kahneman, Daniel and Tversky, Amos. Judgment under Uncertainty: Heuristics and Biases. Cambridge: Cambridge University Press, 2001.
Kennedy, S and Dimick, K. Career Maturity and Professional Sports Expectations of College Football and Basketball Players. Journal of College Student Personnel, 1987, 28, 293-297.
Kreps, David and Cho, I.K. Signalling Games and Stable Equilibria. The Quarterly Journal of Economics, May 1987, 102 (2), pp. 179-221.
Lichtenstein, Sarah and Fischhoff, Baruch. Reasons for Confidence. Journal of Experimental Psychology: Human Learning and Memory, March 1980, 6 (2), pp. 107- 18.
Lichtenstein, Sarah and Fischhoff, Baruch. Calibration of Probabilities: The state of the art to 1980. Judgment under Uncertainty: Heuristics and Biases. Cambridge University Press, 2001.
March, James and Shapira, Zur. Managerial Perspectives on Risk and Risk Taking. Management Science, November 1987, 33 (11), pp. 1404-18.
Oskamp, Stuart. Overconfidence in case study judgments. Judgment Under Uncertainty: Heuristics and Biases. Cambridge University Press, 1982.
Parzen Emanuel. Modern Theory and its Applications, New York: John Wiley & Sons, Inc. 1960.
Roll, Richard. The Hubris Hypothesis of Corporate Takeovers. Journal of Business, April 1986, 59(2), pp. 197-216.
Siegal Sidney. Nonparametric Statistics for Behavioural Science. New York: McGraw Hill Book Company, 1956.
Shapiro, Daniel and Khemani, R.S. The Determinants of Entry and Exit Reconsidered. International Journal of Industrial Organization, March 1987, 5 (1), pp. 15-26.
Svenson, Ola. Are We All Less Risky and More Skillful Than Our Fellow Drivers? Acta Psychologica, 1981, 47 (2), pp. 143-48.
Young, Peyton H. Individual Strategy and Social Structure: An Evolutionary Theory of Institution. Princenton: Princeton University Press 1998.
Weinberg, Bruce. A model of Overconfidence. Center for Human Resource Research Ohio State University. http//economics.sbs.ohio-state.edu/weinberg.
Weinstein, Neil D. Unrealistic Optimism About Future Life Events. Journal of Personality and Social Psychology, November 1980, 39 (5), pp. 806-20