LAS GANANCIAS DE SEÑALIZAR EN EL MERCADO LABORAL EN CALI*
NATALIA GONZÁLEZ1, JUAN CARLOS GÓMEZ2, JHON JAMES MORA3, BLANCA ZULUAGA4
1Economista (Universidad del Valle). Profesora de tiempo completo del Departamento de Economía de la Universidad Icesi. E-mail: nagonzal@icesi.edu.co
2Economista (Universidad del Valle). Profesor del Departamento de Economía de la Universidad Icesi. E-mail: jgomez@ccc.org.co
3Economista (Universidad del Valle, M.A. U.A.M (España), M.A, U.A.H. (España). Ph.D(c), U.A.H (España). Profesor tiempo completo del Departamento de Economía de la Universidad ICESI. E-mail: jjmora@icesi.edu.co
4Economista (Universidad del Valle). M.A. Universidad de Lovaina (Bélgica). Profesora tiempo completo del Departamento de Economía de la Universidad ICESI. E-mail: bzuluaga@icesi.edu.co
Fecha de recepción: 2-2-2004 Fecha de aceptación: 28-6-2004
*Este artículo fue resultado del proyecto de investigación financiado por el Comité de Investigaciones de la Universidad Icesi. Los autores agradecen la valiosa asistencia en la investigación a los estudiantes de Economía Rocío Vera, Johann Rodríguez, Miguel Mauricio Salazar, Evelyn Vidal y Diana Ximena Franco así como los comentarios del evaluador anónimo. Como es usual, los errores que persisten son responsabilidad de los autores.
ABSTRACT
This article presents the impact that schooling will have upon wages in the city of Cali for the year 2000. We used the job market signaling model, in particular, Hungerford and Solon´s sheepskin effects in the returns to education. Our results show that there is an extra 37% of profit among wages for each additional college degree and a 12% of profit among wages for a high school degree. In addition, this article discusses the need to carry out a survey that can help identify the impact that schooling has upon wages.
KEY WORDS
Sheepskin effects, Education, Human Capital, Signalling and Screening
RESUMEN
Este artículo discute el efecto de la educación sobre los salarios en la ciudad de Cali para el año 2000. En particular se discute tanto el modelo de capital humano como el modelo de señalización derivado de la ecuación de títulos de Hungerford y Solon (1987). Los resultados muestran que existe una rentabilidad adicional del título universitario del 37% sobre los salarios y del 12% para el título de secundaria. Finalmente se discute la necesidad de realizar una encuesta que permita identificar mejor el efecto de los títulos sobre los salarios.
PALABRAS CLAVES
Títulos, educación, capital humano, señalización y escudriñamiento.
JEL: I2, J7, J24, D82.
1. INTRODUCCIÓN
Por muchos años en el ámbito mundial el tema de la educación ha sido una pieza importante para la adopción de las políticas que toman los gobiernos. Y con respecto al tema de la educación, uno de los problemas más complejos por los que atraviesa Colombia tiene que ver con el empleo, y en particular con la eficacia de la educación formal para aumentar la productividad de los individuos. La forma más común para evaluar dicha eficacia consiste en la ecuación de los salarios. Las diferentes investigaciones han mostrado que existe una relación positiva entre los salarios y la educación de los individuos. Esta relación ha servido como soporte teórico para confirmar la teoría del Capital Humano; donde la educación es considerada una inversión que aumenta la productividad de los trabajadores, y por ende los salarios. Shultz (1960), Becker (1964).
Empero, la explicación y discusión alrededor de la relación entre salarios y educación no es una sola. Por ejemplo, según la teoría de la Señalización, la educación sirve como señal, filtro o clasificación de los individuos en el mercado laboral. De hecho determinaría los ingresos de los oferentes en la medida en que revela su capacidad innata. Contrario a lo que afirma la teoría del Capital Humano cuando sostiene que la educación sirve para incrementar la productividad, en la teoría de la Señalización la educación sirve para revelar las habilidades preexistentes.
Ahora bien, la ciudad de Santiago de Cali no es la excepción a este complejo problema por el que atraviesa el país. Desde 1997 ha habido un considerable incremento en la tasa de desempleo. A partir del último semestre de 1997 al último trimestre del 2000 la tasa global de participación aumentó en 6.2 puntos porcentuales - de 63.8% a 70%-, mientras que la tasa de ocupación aumentó tan sólo 2 puntos -de 53.2% a 55.2%-. Como consecuencia la tasa de desempleo se disparó en 4.4 puntos porcentuales -de 16.8 pasó a 21.2%-.
Diferentes han sido las explicaciones que se han dado a tan preocupante situación. Entre las opiniones expresadas se destacan aquellas relacionadas con la existencia de una deficiencia de tipo estructural en el mercado laboral, es decir, una falta de coincidencia entre la calificación y habilidades que posee la oferta laboral y los requisitos o exigencias por parte de los empleadores.
Cabe preguntarse, ¿qué tanto de esta inversión en Capital Humano redundará en una mayor capacidad productiva y por ende un mayor crecimiento económico?
El equipo de investigación está interesado en explorar la relación entre la educación y los ingresos salariales en el mercado laboral en Cali; además, se buscará encontrar evidencia de los efectos de los títulos en la curva salarial (efectos diploma o sheepskin effects).
Este documento está dividido en tres partes. La primera contiene el marco teórico de la investigación e incluye una revisión de la literatura internacional y nacional sobre la teoría del Capital Humano y la teoría de la Señalización. La segunda parte muestra los resultados de los tres modelos aplicados: la ecuación Minceriana de ingresos, el modelo de Hungerford y Solon para detectar efectos diploma y la ecuación de títulos. Finalmente se presentan las conclusiones.
2. MARCO TEÓRICO: LA TEORÍA DE LA SEÑALIZACIÓN VS. LA TEORÍA DEL CAPITAL HUMANO
El resultado lógico del núcleo teórico, tanto de la teoría del Capital Humano como la de la Señalización, es que existe una relación positiva entre el ingreso de un trabajador y su nivel educativo. Y aunque dicha relación de correspondencia parece a simple vista la misma, la estructura analítica de cada una de estas teorías es distinta. Siendo así, ¿cuáles son las premisas o axiomas fundamentales de cada una de estas estructuras de pensamiento?
Uno de los elementos centrales para entender la teoría del Capital Humano es la capacidad que tiene el sistema educativo de impartir en el estudiante (futuro candidato en el mercado de trabajo) una variedad de destrezas y habilidades (Weiss 1995). Y son precisamente estas destrezas y habilidades las encargadas de presentar al mercado laboral trabajadores con diferentes productividades, es decir, diferentes "calidades" de producto. Aparecerán diferencias en el ingreso, dado que la productividad de los candidatos es una variable observable tanto para oferentes, como para demandantes.
El problema es que existen muchos mercados en el mundo real en los que puede ser muy costoso o incluso imposible obtener información precisa sobre la calidad de los bienes que se venden. En el contexto del mercado laboral, los candidatos (empleados potenciales) tienen a su disposición información sobre algunos aspectos de su productividad que no están directamente disponibles para los empleadores; no obstante, es posible que estos atributos no observables sean determinantes importantes de la productividad del trabajo. Ya que a una empresa le resulta difícil averiguar qué tan productivos serán los trabajadores potenciales, podemos concluir que la presencia de información asimétrica en dicho mercado puede llegar a ser un importante obstáculo para el funcionamiento de modelos como el de Capital Humano.
Es indispensable entender que las implicaciones que trae la heterogeneidad entre agentes y la información asimétrica, abre camino a una interacción entre empleador-empleado en condiciones de incertidumbre muy distintas a la de un escenario de información perfecta. La teoría de la Señalización es uno de estos casos, donde un agente posee información sobre un producto o un servicio que otros agentes, dentro del mismo mercado, no poseen. De aquí que resulta importante conocer la manera cómo los agentes, estratégicamente, asumen y enfrentan el problema de la ausencia de información.
El modelo pionero de la teoría de Señalización,2 analizó la manera como el empleador se enfrenta al problema de la incertidumbre ligado al proceso de contratación. Según el modelo de la educación como señal propuesta por Spence, creemos que resulta oportuno para esta investigación retomarlo, puesto que de lo que se trata es de percibir el efecto que tienen los títulos y las ganancias de señalizar para la ciudad de Cali.
Si bien es cierto que el empleador no tiene certeza acerca de la productividad que cada candidato tiene, es indispensable conocer el proceso al que se enfrenta el demandante para calcular la probabilidad condicional de que sea competente el candidato, dadas las características observables del individuo que se presenta al proceso de selección. Al asociar probabilidades a candidatos el empleador tiene en mente dos factores: i) la experiencia que ha obtenido del pasado de la interacción en el mercado, y ii) la disimilaridad entre individuos.
El empleador utilizará su experiencia, como es el caso del primer factor ya que ésta permite captar la frecuencia con que ha contratado trabajadores productivos y no productivos, es decir, la frecuencia con que han ocurrido los distintos resultados en el pasado.
En el caso de la disimilitud entre candidatos, el empleador reconoce que existen diferentes tipos de educación (al menos no todos los individuos lo asimilan de igual forma), experiencia laboral, género, raza, etc. Aunque el empleador no tiene pleno conocimiento acerca del tipo de candidato previo a la contratación, en últimas tiene a su disposición una cantidad de información recolectada en una estructura de características observables que utilizará para realizar sus estimaciones probabilísticas. Según Spence, el término "característica" se usa en general para referirse a todos aquellos datos acerca del candidato con que cuenta el empleador durante el proceso de selección, tales como niveles de educación, historia laboral, características personales, etc. Por lo tanto, si estas características son observables decimos que son fuentes potenciales de información, es decir, que afectan potencialmente las creencias probabilísticas del empleador. (IDEM).
Los individuos adquieren un número diferente de años de estudio, y los niveles de desempeño académico varían de individuo a individuo. De ahí que los aspirantes al mercado laboral no sean homogéneos sino que, por el contrario, se encuentran enormes desigualdades entre unos y otros. La heterogeneidad entre aspirantes y la información asimétrica prevaleciente en los mercados laborales son algunos de los factores que dificultan el proceso de la toma de decisiones, es decir, la contratación del candidato por parte del empleador. Por una parte estos factores tenderán a convertir la decisión de contratar en una decisión de inversión para el empleador, y por otra parte, el candidato debe tener en cuenta estos factores al decidir si invertir o no en años de educación.
2.1. Revisión de la literatura internacional
2.1.1. La teoría del Capital Humano
Como lo plantea Gary Becker, el Capital Humano es "una inversión en todos aquellos aspectos que logran o permiten elevar la productividad del trabajador y que de una u otra forma influyen en los ingresos reales futuros mediante la dotación de recursos a las personas" (Becker, 1964). Ya que la educación incrementa la productividad del individuo, y por lo tanto su ingreso, existe una relación positiva entre los salarios y la educación de los individuos [Schultz (1960), Becker (1964)].
El interés que se ha dado a la inversión en capital humano radica en la capacidad de explicar las diferencias existentes entre los ingresos de los individuos y una gama de fenómenos empíricos que hasta el momento no habían recibido una explicación al respecto. Entre dichos fenómenos están:
Ahora bien, los rendimientos asociados al Capital Humano se determinan a partir de la tasa de retorno, la cual se calcula como la tasa de descuento interna que iguala el incremento descontado de los ingresos medios con los costes medios de realizar la inversión en educación.
Una forma alternativa, la cual es muy útil sobre todo con datos provenientes de encuestas, consiste en la función de ingreso minceriana (Mincer (1974)), la cual parte de dos predicciones de la teoría del Capital Humano:
Y se calcula a través de una estimación de mínimos cuadrados (MCO) con la siguiente ecuación:
En la ecuación (1.1) LnWhi corresponde al logaritmo natural del salario por hora para el i-ésimo individuo, si es la educación del individuo i y exp representa los años de experiencia en el mercado laboral del i-ésimo y µi es el término aleatorio de error y, la tasa de rendimiento estimada para un año adicional de educación será α1.
2.1.2. La teoría de la señalización, el escudriñamiento y el papel de los títulos
Con la hipótesis de señalización se agrupan dos propuestas: aquellas basadas en el valor de la información que el nivel educativo del trabajador facilita, en la señalización, el filtro o selección, y aquellas basadas en el credencialismo. Con las propuestas de señalización o credencialismo las empresas pagarán salarios más altos a trabajadores con niveles educativos superiores, aunque el proceso educativo no tendrá ningún efecto sobre su productividad. Sin embargo, de acuerdo con la primera propuesta, los empresarios observan el proceso educativo, en particular la educación formal, como un mecanismo que identifica a los trabajadores potencialmente más productivos, debido a la existencia de información asimétrica, por medio de la cual el trabajador tiene más información que la empresa, y es difícil o muy costoso obtener información precisa sobre el talento y la capacidad de los aspirantes.
Frente al problema de información asimétrica se han propuesto varias soluciones que tienen como nexo común la utilización de la dotación educativa del individuo como fuente de información: El modelo de señalización de Spence (1973), el modelo del filtro de Arrow (1973) y el modelo de selección o criba de Rothschild y Stiglitz (1976). Por otra parte, según la versión credencialista, la educación servirá como requisito de admisión para ciertas profesiones, de modo que las empresas ofrecen salarios más altos y mejores trabajos a los que tengan un título [Berg (1971) o Dore (1976)]. Los trabajadores con estudios inferiores serán apartados de los puestos en los que hay buenas oportunidades de adquirir más formación y ascender, no necesariamente a causa de su incapacidad para realizar ese trabajo, sino simplemente porque no tienen el título requerido. Las razones que pueden estar detrás del credencialismo serán: la mala percepción del valor de la educación, las barreras de entrada a la profesión o el esnobismo de tener trabajadores más educados. Sin embargo, el credencialismo puro es difícil de aceptar ya que este comportamiento podría situar a las empresas que lo aplican, en un mercado competitivo, en desventaja respecto a empresas que no actuasen de ese modo. La distinción entre estos dos argumentos, educación como información y credencialismo, es importante desde el punto de vista social. El credencialismo conduce a desigualdad ya que los trabajadores que no poseen el título se les niega el acceso a puestos de trabajo para los que algunos de ellos serían competentes. Los argumentos que se basan en el valor de la información de la educación, aun no aportando ningún valor social, suponen un trato diferente para individuos que efectivamente difieren en su productividad.
Debido a que los empresarios no observan la capacidad innata de los individuos y usan como señal los años de educación, el coeficiente de la educación no puede interpretarse como el rendimiento de la educación sino como el pago a la capacidad innata que se señaliza con la educación. De esta forma la inclusión de una medida de capacidad innata en la ecuación de salarios no permite contrastar la validez de la hipótesis de señalización frente a la teoría del capital humano, ya que uno de los supuestos fundamentales de la hipótesis de señalización consiste en que la capacidad innata del trabajador no es observable por el empresario y, por lo tanto, no se retribuirá directamente. En este caso, el coeficiente de la capacidad innata es nulo por definición.3
Los contrastes empíricos se pueden dividir en dos grupos. En el primero de ellos se hace énfasis en la importancia del título. Desde este enfoque se situarían los trabajos basados en el contraste de Wiles y en el contraste directo del papel desempeñado por los títulos "sheepskin effect". Un segundo grupo recoge los trabajos que otorgan a la educación un papel de transmisor de información sobre el individuo que es aprovechada por la empresa en la contratación y a la hora de ofrecer los salarios. En este segundo grupo, existen dos estrategias: un contraste directo basado fundamentalmente en la propuesta de Psacharapoulos (1979), PTest, y un contraste indirecto observando las diferencias entre distintas muestras en las que supuestamente este comportamiento debería presentarse con distinta intensidad. A continuación se explicará en qué consisten las pruebas o contrastes.
2.1.3. El escudriñamiento y su relación con los títulos
Una forma alternativa de contraste de la utilización de la educación como señal o credencial se basa en el papel del título, conocido en la literatura como "sheepskin effect". La educación en este tipo de modelos sirve para revelar a los empresarios la inteligencia, motivación o disciplina de los trabajadores pero no incrementa la productividad de los mismos. Así, los empresarios pagarán salarios más altos a trabajadores con niveles educativos superiores aunque el proceso educativo no tenga ningún efecto sobre su productividad.
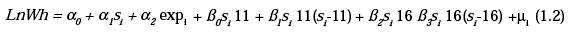
Desde la perspectiva de que un juego de señalización es un juego donde el jugador informado (el trabajador) mueve primero, y que un juego de escudriñamientos ("screening") es un juego donde el jugador desinformado (el empleador) mueve primero, la hipótesis de "sheepskin efffects" es clasificada por Riley (2001) como un juego de escudriñamiento. De hecho, Psacharopoulos y Layard (1974) al comparar las ganancias de los estudiantes que han alcanzado algún tipo de título con aquellos que no, arguyen que los títulos tendrán un fuerte poder explicativo en un mundo de "escudriñamiento".4 Aunque Psacharopoulos y Layard (1974) no encuentran existencia de "escudriñamiento", Hungerford y Solon (1987)5 sí encuentran evidencia que confirma que los títulos tienen efecto sobre los salarios, es decir, ellos encuentran evidencia que soporta que existen rendimientos significativos a los años en los cuales se obtiene el diploma, por lo tanto, el diploma tiene un valor aparte de los años acumulados de educación. Resultados iguales son encontrados en Liu y Wong (1982), Ziderman (1990), Corugedo, García y Martínez (1992), Card (1994), Jaeger y Page (1996), Belman y Heywood (1997), Park (1999), Arkes (1999) y Blanco y Pons (2000). Siguiendo el trabajo de Hungerford y Solon, el efecto de los títulos sobre los salarios se puede estimar a partir de la siguiente regresión:6
En la ecuación (1.2) Whi, si y expi son
los salarios por hora, el número total
de años escolares completados y los
años de experiencia en el mercado
laboral respectivamente. La variable
si11 es una dummy con valor de 1 si
el individuo tiene 11 años de educación
o más. La variable si16 es una
dummy con valor de 1 si el individuo
tiene 16 años de educación o más y µi
es el término aleatorio de error. Por
otra parte, los parámetros α1, α2, y α3
corresponden al efecto marginal que
tiene en el ingreso cada una de estas
variables y Β0, Β1, Β2, y Β3 miden el efecto
que tiene en el ingreso el completar
cada uno de estos grados educativos.
Finalmente, la tasa de rendimiento
estimada para el año 11 de
educación o más corresponde a
α1+ Β0 y la tasa de rendimiento estimada
para el año 16 de educación corresponde
a α1 + Β1 + Β2. Si los parámetros
son positivos, este resultado
mostrará cómo aquellas personas
que pertenecen a grupos más educados
experimentan un incremento
en sus salarios independiente de los
años de educación.
2.1.4. Versión débil y estricta de la hipótesis de señalización
La señalización, el filtro o la selección pueden incidir en el carácter de la educación como proveedora de información sobre la capacidad innata del individuo, independientemente de que aumente su productividad. Debido a que lo que se valora es esta misión informativa, lo importante no será que la educación actúe como mecanismo para clasificar a los individuos, sino que esta sea su única función [Machlup (1984)].
De acuerdo con esta idea es posible distinguir entre una versión débil y una versión estricta de la hipótesis de señalización [Psacharopoulos (1979)]: Según la versión débil, los empresarios ofrecerían salarios iniciales superiores a los más educados ya que no habría información perfecta sobre la productividad de los trabajadores. Las empresas utilizarían la educación para determinar los salarios iniciales y posteriormente es la productividad la que los explicaría. La versión estricta establecería que la educación no tendría más que ese contenido informativo inicial y no discute si los salarios de los menos educados convergerán a los de los más educados. A continuación se expondrá en qué consisten estas pruebas.
2.2. Revisión de la literatura colombiana
Numerosos estudios que serán mencionados en esta sección han encontrado evidencia de la teoría del capital humano en Colombia, según la cual los trabajadores con mayor educación son más productivos, y este factor se toma en cuenta a la hora de contratar empleados. Pero esta característica del mercado laboral no se ha presentado siempre en el país, pues durante la primera mitad del siglo pasado el nivel de educación no jugaba un papel protagónico para calificar el buen desempeño que podrían tener los individuos en sus diferentes campos de acción; esta tendencia se mantuvo principalmente porque el desarrollo económico de Colombia dependía de sectores como la agricultura, la ganadería y otros, y porque había una nula implementación de técnicas basadas en la tecnología, por lo que no era necesario una alta calificación de los empleados (Londoño, 1992).
Esta tendencia dio un gran giro durante la última mitad del siglo pasado, pues se observó una notable disminución del nivel de analfabetismo, lo que pudo haber sido consecuencia de la adquisición de nuevas tecnologías, del libre cambio en los mercados internacionales, de la importancia que adquirieron ciertos sectores económicos, tales como el de servicios y el financiero, los cuales se caracterizaron por demandar personal altamente calificado.
Durante los años ochenta se produjo un auge en los modelos de crecimiento que sugerían un nuevo papel para el capital humano en el proceso de crecimiento donde "ya se consideran como capital a las capacidades adquiridas por los seres humanos que tendrían un costo y posteriormente generarían flujos de ingresos" (Lucas (1988), Romer (1989), Becker, Murphy y Tamura (1989)). Esta nueva tendencia del capital humano se evidencia en el trabajo de Psacharopoulos y Vélez (1992), donde se muestra que mientras la generación anterior (años ochenta) contaba con 7.9 años de educación en promedio, la generación actual presenta en promedio 10.5 años de estudio.
A lo largo del siglo pasado el capital humano tuvo una tendencia muy variable (Londoño (1992)), debido al proceso de transformación estructural vivido en Colombia. En la década de los años treinta el contenido del capital humano de la fuerza laboral, medida por la educación, llegaba aproximadamente a la mitad de lo que debería llegar comparado con otros países con el mismo nivel de desarrollo que Colombia; este problema se agravó aún más por el retraso de la expansión educativa durante varias décadas, por lo que el nivel educativo se alejó mucho más del promedio internacional hasta finales de los años cincuenta. Por esta época comenzó una importante expansión en la educación [(Psacharopoulos y Vélez (1992)], en un principio dicha expansión se dio con una intensidad similar a la registrada en el resto del mundo, manteniéndose la brecha existente entre Colombia y otros países; pero desde los años sesenta la acumulación de capital humano en nuestro país se aceleró notablemente hasta el punto que la brecha educativa existente desapareció a comienzos de los años ochenta. A raíz de esta tendencia tan variable, los ingresos también se vieron afectados.
En la medida en que la economía colombiana se empezó a basar en sectores económicos poco tradicionales, se comenzó a demandar trabajadores con alta calificación, capaces de desarrollar actividades con altos requerimientos tecnológicos y otras características necesarias. Al principio la cantidad de estos trabajadores no era abundante, por lo que se les remuneraba muy bien y, por lo tanto, los retornos a la educación superior eran muy altos, pero a medida que se incrementó la cobertura de la educación en nuestro país, los salarios relativos empezaron a disminuir debido al incremento de la oferta de trabajo con mayor grado de calificación (aunque no necesariamente educación superior) que se empezó a presentar [Psacharopoulos y Vélez (1992)], dando como resultado una distribución más homogénea del ingreso.
Pero esta tendencia no se mantuvo, ya que a lo largo de la década de los años noventa se produjo un incremento considerable de la concentración del ingreso urbano en las principales ciudades del país. Muchos factores han estado asociados a estos cambios producidos en la distribución, principalmente aquellos relacionados con los cambios en los ingresos laborales a favor o en contra de los trabajadores más calificados. Algunos autores como Núñez y Sánchez (1997), Cárdenas y Bernal (1998), Mesa y Gutiérrez (1996), han realizado estudios al respecto, en los que se encontró que la demanda relativa de trabajo calificado ha provocado cambios en los salarios relativos en las últimas décadas; esta tendencia se ha podido observar durante los años noventa, pues a partir de aquí los salarios relativos de los calificados aumentaron notablemente con relación a los salarios relativos de las personas no calificadas.
Por otra parte, el estudio de Báez (2000) examinó algunos factores específicamente microeconómicos (entre los que se encuentra la educación), que han acentuado los efectos sesgados de la determinante reducción de la demanda laboral de los últimos años sobre la población más pobre y menos calificada, las cuales han experimentado una disminución en sus salarios relativos y han perdido oportunidades para ser empleados.
Se observó que la educación juega un papel muy importante en la determinación del ingreso y que las personas que no tuvieron acceso a ella se enfrentaron a un deterioro muy pronunciado en su calidad de vida, lo que generó como resultado un incremento en la desigualdad entre los individuos de las diferentes clases sociales de la población colombiana en la década de los años noventa. En dicho período el mercado laboral colombiano se vio enfrentado a una serie de cambios estructurales, producto principalmente de la apertura económica, se observó que hasta 1994 las tasas de desocupación se redujeron poco a poco ubicándose en un 8.2%, 2.5 puntos menos a la tasa que se había considerado como nivel de la tasa natural de los últimos veinte años; pero a partir de la segunda mitad de esta década el empleo se deterioró notablemente hasta alcanzar un desempleo del 20.5% en el año 2000, considerándose como el mayor nivel de desocupación de América Latina.A pesar de este alto desempleo, el aporte de todos los tipos de mano de obra al desempleo no fue homogéneo, pues se encontró suficiente evidencia que indica que el trabajador menos educado ha sufrido desproporcionadamente los efectos del cambio estructural y de la reducción de la demanda laboral, provocando un incremento en las inequidades del empleo, ya que se presentó un menor desempleo entre los trabajadores calificados y por lo general los receptores de los mayores ingresos, y un mayor desempleo para los trabajadores más pobres y con menor dotación de capital humano.
Como los empleos desempeñados por los trabajadores de bajos niveles educativos son fácilmente reemplazables por trabajadores más productivos, se ha producido una disminución de la demanda de los trabajadores menos calificados, que por lo general son las personas más pobres, más necesitadas y que cuentan con una menor dotación relativa de activos totales como capital físico, capital financiero, capital humano y capital publico, por lo que se ven enfrentados a niveles más altos de desocupación en el mercado laboral (cuentan con poca competitividad).
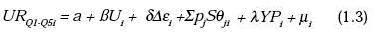
El modelo utilizado por Báez (2000) fue el aplicado por Glyn y Salvedra (2000) pero con algunas modificaciones. Se puede representar así:
En la ecuación (1.3), UR Q1 - Q5i representa las desigualdades en el empleo entre los quintiles uno y cinco de ingreso, Ui corresponde a la tasa de desempleo global, Δεi denota el índice que mide las diferencias en el logro educativo entre los quintiles, Sθji es la distribución del empleo según los sectores económicos j, SPi la desviación estándar de los ingresos laborales (utilizada como medida de dispersión salarial), y YPi la participación juvenil en cada una de las ciudades.
A partir del modelo de Báez, se encontró que una alta tasa de desempleo parece estar relacionada con una mayor divergencia en la tasa de empleo entre ricos y pobres en las ciudades colombianas, por lo que se infiere que, probablemente, una disminución en la demanda laboral trae consecuencias sesgadas sobre la popoblación activa más pobre y con menor calificación y son estos los más perjudicados. También se encontró que en las ciudades, donde las diferencias en capital humano entre los quintiles superior e inferior son mayores, presentaron un mayor sesgo del desempleo en contra de los pobres, esta mayor divergencia se generó por el limitado acceso a la educación superior de las personas pertenecientes al quintil de ingresos más bajo. Por otro lado, se observó que existe una mayor contratación de personal temporal en el quintil uno, lo cual es una desventaja para la población más pobre, debido a que el tipo de trabajo de menor calificación es el menos estable. Esto se debe principalmente a que estas personas se desempeñan en los sectores más vulnerables de la economía y por lo general los más expuestos a la competencia extranjera, tales como la agricultura, la industria, etc.
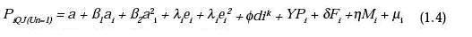
En este mismo trabajo Báez desarrolló otro modelo, basado en una conducta maximizadora de los individuos, considerando la heterogeneidad de los trabajadores, de la propuesta de trabajo y de la escala salarial. Dichas consideraciones se ven reflejadas en la siguiente ecuación:
En la ecuación (1.4) ai corresponde a la edad del individuo i, e representa el logro educativo en años de escolaridad del individuo i, diK es una variable dicotómica que capta el efecto adicional sobre la probabilidad de desempleo de un nivel de educación K en el individuo i, Pi denota la tasa de desempleo familiar del individuo, el Ingreso total de la familia del individuo i exceptuando su propio ingreso total, y M es una variable dicotómica para identificar la población activa inmigrante.
A partir del desarrollo del modelo se concluyó lo siguiente: en los hogares más pobres puede verse una relación positiva entre el número de participantes y la tasa de desempleo porque en estos hogares un mayor desempleo presiona a otros miembros de la familia a buscar trabajo con el fin de disminuir el desempleo y compensar la pérdida de ingresos en el hogar. Totalmente lo opuesto ocurre con la población del quintil superior pues una mayor desocupación dada la riqueza no laboral de estos desincentiva la búsqueda de empleo por parte de otros miembros del hogar.
El desempleo en las ciudades también se incrementó (años noventa), debido a las migraciones del campo a la ciudad por causa de la violencia que ha tenido que enfrentar nuestro país. Por la influencia de estas migraciones la oferta de mano de obra no calificada se ha incrementado notablemente, disminuyendo los puestos de trabajo disponibles para estas personas.
3. EL MERCADO LABORAL EN CALI. EVIDENCIAS DE LA TEORÍA DEL CAPITAL HUMANO Y DE LOS EFECTOS DIPLOMA
En esta sección se aplicará el modelo Minceriano de ingresos y el modelo de Hungerford y Solon, tomando en cuenta la información disponible para el área metropolitana de Cali para septiembre del año 2000. En ambos casos se busca resaltar el papel de la educación en la determinación de ingresos de los individuos, y en el segundo caso la importancia de los títulos en la determinación de los salarios en el mercado laboral en Cali.
Como ya se ha mencionado, según la teoría de capital humano, la educación incrementa la productividad del individuo y por tanto su ingreso; según la teoría de la señalización, la educación simplemente sirve como una señal para diferenciar a los individuos más productivos de los menos productivos. Adicionalmente la teoría de Screening sostiene que los individuos con mayor escolaridad tienden a obtener mayores salarios porque esto los acredita como más productivos, y no tanto porque más años en el sistema educativo los vuelva en realidad más productivos; en esta medida los empleadores utilizan los logros educativos como un medio para predecir la productividad del trabajador, debido a que es muy costoso monitorear la verdadera productividad. Pese a que el modelo de Mincer está basado en la teoría del capital humano, su significancia no implica la validez de esta teoría y el rechazo de las teorías de Señalización y Screening, pues de todas ellas se deduce una relación positiva entre la educación y los ingresos. La ecuación Minceriana sirve principalmente para determinar los retornos a la educación, y en este trabajo calcularemos los correspondientes al área metropolitana de Cali - Yumbo.
Además, con el objetivo de identificar la importancia de los títulos en el mercado laboral de Cali utilizaremos la prueba propuesta por Hungerford y Solon, conocida como "sheepskin effects" o efectos diploma, la cual busca encontrar evidencia de que existe un efecto significativo sobre los ingresos de la obtención de títulos en la educación secundaria y universitaria.
Antes de realizar las regresiones, una simple mirada de las cifras de los ingresos relativos de los trabajadores, según nivel educativo, muestran alguna evidencia de la importancia de los títulos en Cali - Yumbo para el sector formal. Por nivel educativo existe una muy amplia brecha entre los ingresos de los trabajadores, con educación superior y el resto de la población ocupada.7
De ahí se podría inferir que la posesión de un título en secundaria o educación superior implica un salto positivo en los ingresos laborales. Los trabajadores con estudios superiores completos tienen en promedio más del doble de ingresos que los trabajadores con educación superior incompleta o secundaria completa (Tabla 1).

Adicionalmente el Gráfico 1 muestra la relación entre los años de estudio aprobados y el ingreso de los trabajadores. La curva de ingresos tiene pendiente positiva, con inclinación moderada hasta el dieciseisavo año de escolaridad, donde presenta un salto muy significativo. En este año se presume que el individuo ha culminado los estudios superiores. El salto en la curva puede sugerir la existencia de efectos diploma en el mercado laboral en Cali.

3.1. Datos y ecuaciones
Los datos para estimar las regresiones son tomados de la Encuesta Nacional de Hogares de septiembre de 2000 para el área metropolitana de Cali - Yumbo, a partir de los módulos de ocupados, educación y características generales. De estos datos se excluyeron los trabajadores temporales, empleadores, los cuenta propia y trabajadores familiares sin remuneración por considerar que en este tipo de ocupaciones la educación no tendría un efecto de títulos sobre los ingresos laborales obtenidos. La muestra final fue de 1.268 individuos.
Siguiendo el trabajo de Jacob Mincer, el efecto de los años de educación sobre los salarios se puede estimar a partir de la expresión (1.1).
Por otro lado, siguiendo el trabajo de Hungerford y Solon el efecto de los títulos sobre los salarios se puede estimar a partir del siguiente modelo:
En la ecuación (1.5) LnWh es el logaritmo natural del salario por hora, Si son el número de años de educación aprobados, Expi es la experiencia potencial (edad-S-6), Exp2i es la experiencia al cuadrado, la variable Si es una dummy con valor de 1 si el individuo ha aprobado i años de educación y 0 en otro caso, para i = 1, 2, ..., 18.
Otra versión alternativa del modelo de Hungerford y Solon es la llamada ecuación de títulos presentada anteriormente en la expresión (1.2)
3.2. Resultados
3.2.1. Modelo Minceriano

Los resultados presentados en este modelo para el área metropolitana de Cali- Yumbo muestran que la tasa de retorno de un año adicional de educación es del 11.1%. Este resultado es superior al estimado por Chávez y Arias (2002) para Colombia, equivalentes a 7.6% en el caso de los hombres y 10.7% para mujeres. Se observa también que la experiencia tiene una relación directa y significativa con los ingresos, mientras que la experiencia al cuadrado arroja un coeficiente negativo. Este último recoge un efecto marginal negativo, es decir, a medida que la experiencia es mayor el cambio en la tasa de variación del ingreso es menor. Como se mencionó, los resultados anteriores tan sólo sirven para validar la hipótesis de la relación positiva entre la educación y el nivel de ingresos. Verificaciones adicionales serían necesarias para afirmar que la educación incrementa la productividad y por esta vía los ingresos (teoría del Capital Humano), que la educación es simplemente una señal que revela la productividad, no la incrementa (teoría de la Señalización), o que los individuos con mayor educación obtienen salarios más altos por que esto los acredita como más productivos (teoría de screening).
3.2.2. Modelo de Hungerford y Solon
De los resultados presentados en la Tabla 3 se puede deducir que el efecto de la educación sobre el ingreso en el mercado laboral en Cali - Yumbo no es lineal. Según la teoría de los "efectos diploma", en los años que representan la culminación de un nivel de escolaridad, la variación de los rendimientos es mayor que en el resto de años. Para el caso estudiado, esto se cumple claramente en el caso de la educación superior, puesto que la variación en el rendimiento entre los años de educación 16 y 15, es mucho mayor que en cualquier otro año (32,7%).

3.2.3. Modelo ecuación de títulos
De los resultados de la anterior regresión se puede observar que la tasa de rendimiento media para los 10 años de educación es del 5.76%, para el año 11 de educación es del 18.05% y para los 16 años de educación es del 48.78%. Los resultados también muestran que los títulos de educación secundaria y universitaria son usados para señalizar (son estadísticamente significativos). Una prueba más formal consiste en realizar la prueba de Wald sobre β0 y β2, estableciendo como restricción que estos sean conjuntamente iguales a cero. Los resultados arrojan un valor de 15.83 el cual a un nivel de significancia del 95%, X295% = 5.99, permite rechazar la hipótesis de que conjuntamente sean iguales a cero, corroborando la hipótesis de que los títulos son importantes para la obtención de salarios y que sirven como mecanismo para señalizar en el mercado laboral de Cali.
4. CONCLUSIONES
Los resultados obtenidos a partir de la ecuación Minceriana empleando la información disponible para el área metropolitana de Cali- Yumbo muestran que la tasa de retorno a la educación es del 11.1%. Este resultado es superior al estimado por Chávez y Arias (2002) para Colombia, equivalentes a 7.6% en el caso de los hombres y 10.7% para mujeres. Se observa también que la experiencia tiene una relación directa y significativa con los ingresos, mientras que la experiencia al cuadrado arroja un coeficiente negativo; este último resultado es un reflejo parcial del efecto marginal adverso de la edad de los individuos sobre el ingreso, pues las personas más adultas tienen menor facilidad que los jóvenes para vincularse a un puesto de trabajo.
Por otro lado, de los resultados arrojados por el modelo de Hungerford y Solon aplicado a Cali-Yumbo podemos deducir que el efecto de la educación sobre el ingreso no es lineal y que existe un salto significativo en los rendimientos para el año 11 con relación al año 10 del 17.5%, y un cambio significativo de los rendimientos para el año 16 de educación con relación al 15 de educación del 32.70%. Lo anterior constituye una evidencia de la existencia de efectos diploma en el mercado laboral en Cali.
Adicionalmente, a partir de los resultados de la aplicación de la ecuación de títulos al área metropolitana Cali - Yumbo, se pudo observar que la tasa de rendimiento media para los 10 años de educación es del 5.7%, para el año 11 de educación es del 18.05% y para los 16 años de educación es del 45.78%. Los resultados también muestran que los títulos de educación secundaria y universitaria son usados para señalizar (son estadísticamente significativos). Como se mencionó con anterioridad, la aplicación de la prueba de Wald permite corroborar la hipótesis de que los títulos son importantes para la obtención de salarios y que sirven como mecanismo para señalizar en el mercado laboral de Cali. Estos resultados anteriores no sólo sirven para validar la hipótesis de la relación positiva entre la educación y el nivel de ingresos, sino que la educación es simplemente una señal que acredita al candidato como más productivo, por lo cual candidatos con mayor educación obtienen salarios más altos (debido a que el diploma tiene un valor aparte de los años acumulados de educación).
En futuros trabajos el equipo de investigación propone entrevistar una muestra representativa de la población con el objeto de obtener información, motivos, actitudes y expectativas de los individuos, para finalmente hacer una afirmación útil acerca de la característica de la población. En la actualidad, cada vez son más los requisitos que exigen las empresas para contratar personal en cualquier área, y son justamente estas exigencias las que deseamos determinar con el fin de dar respuesta a una serie de interrogantes, como por ejemplo, ¿qué hace que un candidato, o empleado potencial, sea más atractivo para una empresa que otra? ¿Existe, o no, relación entre la inversión que hace una individuo en educación y dichas exigencias? ¿Será que todas las exigencias o requisitos que impone el mercado son de índole académica? Y por lo tanto, ¿será que existe una relación directa y creciente entre la obtención de ganancias (medido en términos de ingresos) y señalizar?
Para ello el equipo de trabajo ha elaborado una propuesta de entrevistar una muestra representativa de la población con el objeto de obtener información, motivos, actitudes y expectativas de los individuos, y de esta manera poder hacer una afirmación útil acerca de las características de la población. Sin embargo, para obtener la información necesaria, la muestra debe reflejar las características fundamentales de la población, es decir, deberá ser representativa. Para ello existen distintos métodos, alternativas, o lo que es igual, procedimientos de selección, pero que por el momento no entraremos a discutir. En otras palabras, el método de muestreo que utilizaremos con el fin de que la muestra escogida sea efectivamente representativa, por ahora no será motivo de reflexión.
Por el momento la propuesta elaborada se concentrará en un aspecto fundamental y tiene que ver con la elaboración de aquel procedimiento controlado, llamado entrevista, que servirá para señalar y clasificar las reacciones8 (motivos, actitudes, expectativas, etc.) de nuestra muestra (Kahn & Cannell 1965, Oppenheim 1966). Intuitivamente podríamos pensar que el rendimiento académico, el buen nombre o prestigio (goodwill) de la Universidad, o quizá el perfil de egresado de la Universidad es lo que permite que el estudiante, o candidato en este caso, sea más atractivo que sus rivales. Pero como se mencionó con anterioridad, para que la investigación trascienda las barreras de lo intuitivo y trivial, y alcance las fronteras de lo analítico, creemos necesario como método investigativo para recolectar información válida el uso de una entrevista. Las preguntas en cada uno de los cuestionarios tendrán como fin examinar, y estimar comportamientos dinámicos, o reacciones, de los agentes (en este caso los candidatos o inversores en educación).
a encuesta se llevará a cabo en tres períodos diferentes, donde cada período equivale a un cuestionario distinto. El primer cuestionario se hace en el momento cuando el agente se gradúa del colegio y toma la decisión de ingresar a la universidad. Este primer cuestionario se hace con el objeto de conocer aspectos o características que marcan la diferencia entre agentes, como pueden ser, el manejo de un segundo idioma, la experiencia laboral, intercambios culturales, etc.
Se cree que cada uno de estos factores puede contribuir a la suma de elementos o valores que en un futuro utilizará para emitir una señal al mercado, y por ende ser contratado. El segundo cuestionario se llevará a cabo cuando el estudiante se enfrenta al mercado laboral debido a requisitos institucionales, en otras palabras, cuando ingresa a hacer la práctica universitaria. En este segundo período se intenta obtener información, o lo que es igual, relaciones entre el pasado académico del estudiante en su proceso por la universidad y la ubicación laboral. Es decir, si existe, o no, relación entre el rendimiento académico del estudiante y su éxito9 profesional, como también entre los factores o elementos que obtuvo antes de entrar a la universidad y su éxito profesional. Adicionalmente se intentará determinar cuáles de los valores obtenidos en cada una de las etapas anteriores han influido más en el proceso de contratación. El tercer cuestionario se realizará cuando el candidato ya se haya graduado en la universidad y le haya tocado enfrentarse solo al mercado laboral, es decir, sin intermediarios institucionales. Al igual que en la segunda etapa intentaremos obtener información entre el pasado académico del estudiante en su proceso tanto por la universidad, como antes de ingresar, y su éxito profesional. Sin embargo, debido a la dinámica entre cada una de las etapas existentes es evidente que nueva información surgirá en la medida en que avancemos con el tiempo. Por ejemplo, en esta tercera etapa ha transcurrido un tiempo razonable para poder conocer cuál ha sido el éxito de un agente después de haber cumplido la práctica universitaria, y por ende, después de haberse graduado de la Universidad.
NOTAS AL PIE DE PÁGINA
2. Spence, (1973).
3. Con la hipótesis de señalización la capacidad no es observable, mientras que para el problema de variable relevante sí lo sería. Para una discusión más profunda del problema de omisión de la capacidad innata, ver Griliches (1977). En Pons (2001b) se realiza una panorámica de las distintas propuestas que han surgido para abordar el problema de la omisión de la habilidad en la estimación de los rendimientos de la educación y se realiza una revisión de los trabajos empíricos al respecto.
4. Otras pruebas sobre escudriñamiento fueron realizadas por Riley (1976) y Wolpin (1977).
5. Para un excelente resumen, ver Pons (2001a).
6. A diferencia de la ecuación original de Hungerford y Solon (1987) que plantea discontinuidades en los salarios en los años de educación 8, 12 y 16, en este informe se usarán discontinuidades en los 11 y 16 años de educación.
7. Vale la pena analizar como tema de investigación posterior el porqué de la diferencia de ingresos entre los trabajadores con primaria completa y secundaria incompleta en relación con la diferencia entre los ingresos de los trabajadores con secundaria completa y superior incompleta y la diferencia entre los ingresos de trabajadores con secundaria incompleta y secundaria completa, como también la diferencia entre los ingresos de trabajadores con superior incompleta y superior completa.
8. Por ejemplo, después de la Segunda Guerra Mundial se hicieron una serie de encuestas con el fin de identificar las expectativas e intenciones tanto de consumidores como de productores. Para el caso de los consumidores existía un respaldo teórico proporcionado por George Katona que influyó en la naturaleza de la información obtenida permitiendo predecir efectos en el corto plazo. A su vez, permitió estudiar los efectos o impactos que tenían los eventos de índole nacional sobre el optimismo y la confianza de consumidores, y por lo tanto, sobre su disposición a gastar.
9. Entendiéndose éxito profesional por cuánto tiempo se demoró en obtener un empleo, y sus ingresos laborales percibidos.
5. BIBLIOGRAFÍA
Arababsheibani, G. (1989). "The Wiles Test Revised", Economics Letters, 29, p.p.361-364.
Arkes, J. (1999). "What do Educational Credentials Signal and Why do Employers Value Credentials?", Economic of Education Review, 18, p.p. 133-141.
Arrow, K. (1973). "Higher Education as a Filter", Journal fo Public Economics, 2, p.p. 193-216.
Báez, J. (2000), "Inequidades en el empleo en los noventa, ¿quiénes son más vulnerables y por que?". Universidad Jorge Tadeo Lozano, Cartagena.
Becker, G. (1964). Human Capital, N.Y., NBER, Columbia University Press, traducción al español "El Capital Humano", Alianza Editorial, 1983.
Berg, I. (1970). Education and Jobs: the Great Training Robbery, New York, Praeger.
Belman, D. y Heywood, J. (1997), "Sheepskin Effects by Cohort: Implications of Job Matching in a Signal Model", Oxford Economic Papers, 49, 623-637.
Blanco, J.M y Pons, E. (2000). "El Papel de la Educación en la Determinación Salarial: Diferencias por Sexo y Sector", W.P. 001, Departamento de Análisis Económico, Universidad de Valencia.
Blaug, M. (1971). "El Estatus Empírico de la Teoría del Capital Humano: una Panorámica Ligeramente Desilusionada" en El Mercado de Trabajo: Teoría y aplicaciones. Lecturas Seleccionadas. Madrid Alianza Editorial (1983), Luis Toaharia (comp.).
Blaug, Mark, (1973), "Education and employment problem in developing countries". Ginebra: ILO.
Bennett, R., Glennersler, H. y Nevison, D. (1992). "Investment in Skill: to stay on or not stay on?", Oxford Review of Economic Policy, 8 (2).
Bowles, S., y Guintis. H (1975). "El Problema de la Teoría del Capital Humano: una Crítica Marxista" en El Mercado de Trabajo: Teoría y aplicaciones. Lecturas seleccionadas, Alianza Editorial(1983), Luis Toaharia (comp.).
Brown, S y Sessions, J. (1999). "Education and Employment Status: a Test of the Screening Hypothesis in Italy", Economic of Education Review, 18, p.p. 397-404.
Card, D. (1994), "Earnings, Schooling and Ability Revised", NBER W. P. 4832.
Cohn, E., Kiker, B.F. y Mendes de Oliveira, M. (1987). "Further Evidence on the Screening Hypothesis", Economics Letters, 25, p.p. 289-294.
Coruged, I., García P. E y Martínez, P. J. (1992). "Educación y Rentas: Una Aplicación a la Enseñanza Media en España: una Nota", Investigaciones Económicas, 26, p.p.299-304.
Chávez, A. y Arias Y. (2002). "Cálculo de la tasa interna de retorno de la educación en Colombia". Documento de trabajo No. 2. Universidad Externado de Colombia.
Domínguez, M. (2002) "La población desplazada en el suroccidente de Colombia". Universidad del Valle.
Dore, R. (1975), La Fiebre de los Diplomas. Educación, Cualificación y Desarrollo, México, Fondo de Cultura Económica.
Gibson, J. (2000), "Sheepskin Effects in the Returns to Education in New Zealand: Do they differ by ethnic groups?", New Zealand Economic Papers, 34(2), p.p. 201-220.
Griliches, Z. (1977), "Estimating the Returns to Schooling: Some Econometric Problema", Econométrica, 45(1), p.p. 1-22.
Grubb, W. (1993). "Further Test of Screening on Education and Observed Ability", Economics of Education Review, 11(1), p.p.61-65.
Hungerford, T. y Solon, G. (1987), "Sheepskin Effects in the Returns to Education". Review of Economics and Statistics, 69, p.p. 175-177.
Jaeger, D., Page, M. (1996). "Degree Matter: New Evidence on Sheepskin Effects in the Return to Education", Review of Economics and Statistics, 78(4), p.p. 733-740.
Katz, E y Ziderman, A. (1980). "On Education, Screening, and Human Capital", Economics Letters, 6, pp. 81-88.
Lambropoulos, H. (1992). "Further Evidence on the Weak and Strong Version of the Screening Hypothesis in Greece", Economics of Education review, 11(1), p.p. 61-95.
Lee, L. (1978). " Union Wages Rates: a Simultaneous Equations Model With Qualitative and Limited Dependent Variables", International Economic Review, 19, p.p.415-433.
Liu, P y Wong, Y. (1982). "Educational Screening by Certificates: an Empirical Test", Economic Inquiry, 20, p.p. 72-83.
Londoño, J. L. (1992). "Capital humano y distribución del ingreso: la experiencia colombiana", Revista Planeación y Desarrollo número 23-2.
Machlup, F, (1984). Knowledge: Its Creation, Distribution and Economic Significance: The Economics of Information and Human Capital, Volume III, Princeton University Press.
Maldonado Carrizosa, Darío (2000). "Diferencias salariales entre los trabajadores del sector público y del sector privado en Colombia en 1997", Revista Desarrollo y Sociedad.
Mincer, J. (1974), "Schooling, Experience and Earnings". New York: Columbia University Press for the National Bureau of Economic Research.
Miller, P. W. Y Volker, P. A. (1983). "The Screening by Certificates: an Empirical Test", Economic Inquiry, 22, p.p.120-127.
Núñez M., Jairo y Sánchez T. Fabio. (1998). "Descomposición de la desigualdad del ingreso laboral urbano en Colombia 1976 a 1997", Bogotá: DNP (Departamento Nacional de Planeación.
Ocampo, J.A.; Sánchez, F.; Tovar, C., (2000-a). "Mercado laboral y distribución del ingreso en Colombia en los años noventa", Revista de la CEPAL No. 74.
Ocampo, J.A.; Sánchez, F.; Tovar, C., (2000-b), "Cambio Estructural y deterioro laboral: Colombia en la década de los noventa", Revista Coyuntura Económica. VOL XXX No. 4
Oosterbeek, H. (1992). "Evidence on Screening: a Comment", Economics of Education Review, 12 (1), p.p. 89-90.
Park, J. H. (1999), "Estimation of Sheepskin Effects Using the Old and New Measures of Educational Attainment in the Current Population Survey", Economics Letters, 62(2), p.p. 237-240.
Piore, M. (1975). "Notas para una Estratificación del Mercado de Trabajo" en El mercado de Trabajo: Teoría y Aplicaciones. Lecturas seleccionadas, Alianza Editorial (1983), Luis Toaharia (comp.).
Pons, E.B. (2001a). "Contraste de la Hipótesis de Señalización: una Panorámica", Revista de Educación, 326, p.p. 375-393.
Pons, E.B. (2001b) "La Omisión de la Capacidad Innata en la Estimación del Rendimiento de la Educación. Una Revisión", DT 00-04, Departamento de Economía, Universidad de Valencia.
Psacharapoulos, G. (1979), "On the Weak versus the Strong Version of the Screening Hypothesis", Economics Letters,4, p.p. 181-185.
Psacharapoulos, G. y Layard, R. (1974). "The Screening Hypothesis and the Returns to Education", Journal of Political Economy, 82, p.p.989- 98.
Psacharapoulos, G. y Vélez, E (1992). "Educación, habilidad e ingresos en Colombia 1988", Revista Planeación y Desarrollo, 23(2).
Rao, J.M. y Datta, R.C. (1989). "The Screening Hypothesis and the Marginal Productivity Theory", Economics Letters, 30, p.p. 379-384.
Rao, J.M. y Datta, R.C. (1979), "Testing the Educational Screening Hypothesis", Journal of Political Economy, 87(5),p.p. 227-252.
Rao, J.M. y Datta, R.C. (2001), "Silver Signal: Twenty- Five Years of Screening and Signaling", Journal of Economic Literature, 34, june, p.p. 432-478.
Raven, J.C "Guide to the colored progressive matrices", Londres: Lewis,1956. Riley, J. (1976)
Raven, J.C "Information, Screening and Human Capital", American Economic Review, 66, p.p. 254- 260.
Robbins, Donald. J. (2000), "The determinants of human capital accumulation in Bogotá, Colombia (whit implications for trade and growth theory)" , Bogotá: DNP (Departamento Nacional de Planeación).
Rothschild, M y Stiglits, J. (1976). "Equilibrium in Competitive Insurance Market: an Essay on the Economics of Imperfect Information", Quarterly Journal of Economics, 60, p.p. 629-649.
Salazar, Zapata, Martha Lucía (1998). "Factores que inciden en el nivel del ingreso personal", Tesis de grado, Universidad del Valle.
SanMartín, M. (2001), "Linearity of the Returns to Educational and Self-Selection", Applied Economics, 33, p.p. 133-142.
Schultz, T. (1960). "Capital Formation by Education", Journal of Political Economy, p.p. 571- 583.
Shah, A. (1985). "Does Education Act as a Screening Device for Certain British Occupations", Oxford Economics Papers, 37, p.p. 118-124.
Sen, A. (1999). "Desarrollo como libertad". Colombia: Alfaguara editores.
Spence, M. A. (1973). "Job Market Signalling", Quarterly Journal of Economics, 87, p.p. 355-374.
Tucker, I.B. (1986). "Use of the Decomposition Technique to Test the Educational Screening Hypothesis", Economics of Education Review, 4(4), p.p. 321-336.
Wiles, P. (1974). "The Correlation Between Education an Earnings; the Test-not-Content Hypothesis", Higher Education, 3(1), p.p. 43-58.
Wolpin, K. (1977), "Education and Screening", American Economic Review, 67, p.p. 949-958.
Ziderman, A. (1990), "The Role of Educational Certification in Raising Earnings: Evidence from Israel Census Data", Economics of Education Review, 9(3), p.p. 265-271