LA DINÁMICA DE LOS DESPIDOS EN ESPAÑA
Jhon James Mora
Departamento de Economía, Universidad ICESI. Cali (Colombia). P.h.D en Economía, DEA en Economía y MA en Economía y Recursos Ambientales. Jefe del Departamento de Economía. email:jjmora@icesi.edu.co.
Fecha de recepción: 10305 Fecha de aceptación: 12405
RESUMEN
Este artículo discute la dinámica de los despidos de trabajadores cuyos casos fueron ganados en las cortes en España en el periodo 19972002. Los resultados muestran que los casos de despidos ganados por los trabajadores en las cortes han dependido de la predisposición de los jueces a fallar a favor de los trabajadores en situaciones de alto desempleo, de la evolución del desempleo y de las huelgas realizadas por los trabajadores.
PALABRAS CLAVE
Legislación, despidos, datos de panel dinámicos.
Clasificación JEL: C23, K31, J20
ABSTRACT
This article discusses the dynamics of several unfair dismissal cases of workers who filed a claim with Spanish courts and won their cases during the period from 1997 to 2002. The results show that the workers´ success in these dismissal related lawsuits lies in the fact that judges are predisposed to rule in favor of workers who have been unemployed or on a strike for a long period of time.
RATING: A
KEY WORDS
Legislation, Dismissals, Dynamic panel data
INTRODUCCIÓN
La protección al empleo, en casi todos los países, implica la creación de legislación relacionada con el despido; en particular lo que se considera como un despido por justa causa. Las leyes en torno al despido influyen sobre los incentivos al trabajo, tanto en los trabajadores como en los empleadores, y ha sido analizada por la teoría económica en el contexto de los salarios de eficiencia por Rosen (1984) y en el contexto de la selección adversa de trabajadores y los fallos de mercado por Buechtemann (1993), entre otros.
Por otro lado, estos incentivos no sólo se ven afectados por la existencia de legislación en torno al despido justo, también se ven afectados por cuán proclives sean los jueces a la hora de fallar a favor de uno u otro grupo. Por ejemplo, en periodos de recesión económica y alta tasa de desempleo los jueces podrían fallar más casos a favor de los trabajadores. Las huelgas y la consecuente alteración de la estabilidad laboral y social también podrían influir sobre las decisiones de los jueces y como resultado que se favorezca a los trabajadores.
Este artículo se encuentra organizado de la siguiente forma: En la primera sección se presenta un modelo de datos de panel dinámico para los casos de despidos cuya sentencia fue a favor de los trabajadores. En la segunda sección se presentan los resultados del modelo para España entre 1997 y el 2002 por comunidades autónomas y, finalmente, se presentan las conclusiones.
LA DINÁMICA DE LAS SENTENCIAS A FAVOR DE LOS TRABAJADORES
Existe una amplia literatura sobre la relación entre el mercado laboral y una legislación que reglamente los despidos. Por ejemplo, para Rosen (1984) y Epstein (1984) el despido por justa causa hace que los salarios bajen para compensar la mayor seguridad en el trabajo y, el menor salario será menos atractivo para el trabajador marginal que la protección del empleo obtenida por el despido por justa causa. De esta forma, la imposición de políticas de despido por justa causa no ayudará a los trabajadores y solo disminuirá el excedente de la relación entre el trabajador y la empresa. Levine (1991) discute una serie de supuestos fundamentales en los modelos de Rosen (1984) y Epstein (1984) como la infinita racionalidad de los agentes, el efecto de la legislación en torno a los salarios sobre la economía, el efecto de costes de contratación bajos, el efecto de las externalidades de los despidos, y el efecto de los despidos erróneos sobre la función de bienestar social. Por su parte, Jimeno y Boeri (2003) plantean que aunque una política de protección al empleo reduzca la probabilidad de despidos económicos exógenos, al reducir el salario de eficiencia que limita la holgazanería, también hace difícil despedir a los trabajadores indisciplinados, y esto reduce la credibilidad de la amenaza de despido de los "aholgazanes", forzando a los empleadores a pagar sueldos más altos con el fin de desanimar el comportamiento oportunístico de los trabajadores.
Ahora bien, los incentivos que crea una legislación en torno al despido también se ven afectados por cuán proclives sean los jueces a la hora de fallar a favor de uno u otro grupo. De hecho, existen países en donde es más común que los trabajadores ganen un caso de despido que en otros. Por ejemplo, Bertola, Boeri y Cazes (1999) muestran que el porcentaje de casos por despidos ganados diverge sustancialmente entre España y Reino Unido ya que mientras que en 1995 el 72% de los casos fueron ganados por los trabajadores en España, en ese mismo año, en el Reino Unido el porcentaje fue del 32%.
A continuación, se modelarán las sentencias a favor de los trabajadores, para España, de la siguiente forma:
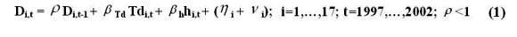
En la ecuación (1) Di,t son los despidos cuyas sentencias fueron a favor de los trabajadores en la comunidad autónoma i, Td la tasa de desempleo, h el número de huelgas, hi la heterogeneidad no observable entre las comunidades autónomas y ni,t el término idiosincrático de error. En la ecuación (1) ρ mide el grado en el cual el estado, en el último periodo, afecta directamente el estado en el periodo corriente y es una medida de la dependencia verdadera del estado, después de controlar por la heterogeneidad no observable ηi. De esta forma, el valor de ρ mostrará la predisposición de los jueces a fallar a favor de los trabajadores. Por otro lado, dicha predisposición se verá afectada por factores como el desempleo y las huelgas. De tal forma, es de esperar que a mayor tasa de desempleo y huelgas los jueces muestren una mayor inclinación hacia los trabajadores que hacia los empleadores.1
La inclusión de la variable dependiente en forma rezagada plantea dos interrogantes: En primer lugar, es posible que se presente alguna correlación entre algunos regresores y el efecto individual y, en segundo lugar, es posible que se presente también correlación entre algunos regresores y el término idosincrático de error.2 Es aceptado que la diferenciación de primer orden soluciona el primer problema, mientras que la estimación por el método generalizado de momentos, GMM, soluciona el segundo problema.3
Se puede observar también, que maximizar la función de verosimilitud de (1) implica realizar algún supuesto sobre la condición inicial, y ésta cambia sustancialmente, en tanto existan condiciones iniciales diferentes, por lo cual una elección incorrecta de las condiciones iniciales podría llevar a estimadores que no sean consistentes.4 Una forma de obtener un estimador consistente e independiente de las condiciones iniciales consiste en usar el método generalizado de momentos y, en particular, el estimador provisto por Arellano y Bond (1991) a partir de ecuaciones en diferencias.
DATOS Y RESULTADOS
En España, la reforma al estatuto de trabajo de 1994 estableció que el contrato de trabajo puede suspenderse: a iniciativa del empresario, por causas económicas, técnicas, organizativas o de producción, con arreglo al procedimiento establecido en el artículo 51 de la Ley, con excepción, por supuesto, de las indemnizaciones.
La reforma de 1994 también establece la calificación del despido como procedente, improcedente o nulo sin necesidad de la tramitación de un expediente de regulación de empleo y, que antes de la reforma de 1994, no era posible ya que el despido procedente por causa objetiva, en empresas menores de 50 trabajadores, debía demostrarse a partir de la necesidad de amortizar un puesto de trabajo que pasaba por el inicio del expediente de regulación o acudir al despido disciplinario.
Por otro lado, en el caso de que el despido sea declarado improcedente, el empresario, en un plazo de cinco días desde la notificación de la sentencia, podrá optar entre la readmisión del trabajador, con abono de los salarios dejados de percibir desde la fecha de despido hasta la notificación de la sentencia que declara improcedente el despido o hasta que el trabajador hubiese encontrado empleo si la colocación fue anterior a la sentencia, o con una indemnización de cuarenta y cinco días de salario, por año de servicio. Por otra parte, en 1997 se extiende el causal de despido por justa causa a la posición competitiva de la empresa en el mercado y a las exigencias de la demanda. De igual forma, la reforma de 1997 introduce un nuevo contrato indefinido "Contrato para el fomento de la contratación indefinida" con el objeto de facilitar la colocación estable de trabajadores desempleados y de empleados sujetos a contratos temporales, durante los cuatro años siguientes a la entrada en vigor del Real DecretoLey 8/1997. Esta reforma implica que los nuevos contratos indefinidos se podrán realizar con trabajadores desempleados (jóvenes entre dieciocho y veintinueve años de edad, parados de larga duración que lleven al menos un año inscritos como demandantes de empleo, mayores de cuarenta y cinco años de edad y finalmente, minusválidos) o con trabajadores que, en la fecha de celebración del nuevo contrato, estuvieran empleados en la misma empresa mediante un contrato de duración determinada o temporal, incluidos los contratos formativos existentes en la fecha de entrada en vigor de la reforma o que se suscriba hasta transcurrido un año desde la misma.
Con el fin de analizar la evolución de los despidos en España, se tomaron los datos sobre los asuntos resueltos en despidos en los juzgados (sala de lo social) del Ministerio de Trabajo y Asuntos Sociales, M.T.A.S. El número total de casos registrados de despidos laborales en España (con excepción de Ceuta y Melilla) fue 46 .150 en 1997, mientras que en el 2002 se presentaron 60.808 casos de despidos laborales. A continuación, se mostrará la evolución de los despidos laborales en las comunidades autónomas españolas.
El Gráfico 1 muestra una gran variación, entre un 16% y un 44%, del número de casos ganados por los trabajadores en las comunidades autónomas españolas. La comunidad autónoma de Murcia registró, en el periodo analizado, el menor porcentaje de casos ganados por los trabajadores. Con respecto a los casos ganados por los empleadores la comunidad donde más casos se presenta es Extremadura, seguido de Asturias. También se puede observar que debido a que pueden existir conciliaciones o desistimientos las gráficas de casos ganados por uno u otro grupo no son inversas. La Gráfica 1 muestra una situación muy particular de España, ya observada por Bertola, Boeri y Cazes (1999), y que consiste en que los trabajadores ganan más casos de despidos en las cortes que los empleadores. Al respecto, Jimeno y Masagué (2003) plantean que la dificultad de justificar ante las Magistraturas de Trabajo los causales de despido ha llevado a que las sentencias resulten en su mayoría favorables a los trabajadores.

La estimación del modelo (1) muestra los siguientes resultados:
El valor de ρ es alto en la estimación por OLS cuando se compara con la estimación por efectos fijos, LSDV, y la estimación por el método generalizado de momentos, GMM, lo cual es lógico en tanto OLS es sesgado e inconsistente, incluso si no existe correlación serial en el término idiosincrático de error.
En la estimación por efectos fijos el valor de ρ se sitúa alrededor de 0.11 aunque no es estadísticamente significativo. En esta regresión solo resultaron significativas las huelgas y la constante. LSDV genera estimadores sesgados y produce una correlación de orden (1/ T) entre las variables explicatorias y los residuos del modelo; el sesgo es negativo cuando ρ es mayor a cero como en este caso.
La última columna de la Tabla 1 muestra la estimación por GMM propuesta por Arellano y Bond (1991) el cual produce estimadores consistentes y eficientes de (1).5 Los resultados muestran que todas las variables son estadísticamente significativas al 95%. La prueba de Wald para la significancia conjunta también muestra que en su conjunto las variables son estadísticamente significativas por encima de un nivel de significancía del 95%. Por su parte, el valor de ρ es de 0.21 el cual no cambia sustancialmente en la corrección para LSDV de (1/T) propuesta por Bruno (2004) cuyo valor es de 0.2941339 y en la corrección de (1/NT) cuyo valor es de 0.2932818.

El estimador por GMM desarrollado por Arellano y Bond (1991) implica realizar contrastes de especificación. En particular, correlación serial de primero y segundo orden y exogeneidad. Con respecto a las correlaciones seriales de primero y segundo orden, Arellano y Bond (1991) plantean que en un modelo bien especificado se deberá rechazar la hipótesis nula del primer contraste (m1) y aceptar la hipótesis nula del segundo (m2). Como se puede observar, en la Tabla 1, de acuerdo con pvalor se rechaza m1 y se acepta m2.
Finalmente, la exogeneidad se contrastó con el test de Sargan. En particular, el contraste de Sargan propone que bajo la hipótesis nula H0: E(Zj´Δνj)=0. De acuerdo con el valor de la Tabla 1 del test de Sargan, 10.33, no existe evidencia estadística suficiente para rechazar H0 ya que la jicuadrada al 95% es de 19.68.
CONCLUSIONES
Las reformas laborales realizadas en España en materia de despidos, aunque ampliaron la gama de causales de despido por justa causa no han conllevado que haya aumentado el número de casos fallados en contra de los trabajadores ya que este resultado ha dependido en gran medida de la evolución de la tasa de desempleo,de las huelgas realizadas y de la predisposición de los jueces a fallar a favor de los trabajadores.
Los resultados muestran que esta predisposición se sitúa alrededor del 21% sobre el porcentaje de casos ganados por los trabajadores y no cambia sustancialmente cuando se corrige por (1/T) o (1/NT).
Estos resultados son también sugestivos en torno a cómo los fallos de los jueces pueden influir sobre los agentes económicos al modificar los sistemas de incentivos salariales, los contratos salariales y el mercado laboral en términos generales.
NOTAS AL PIE DE PÁGINA
1. En un modelo simple de datos de panel, Mora (2005) encuentra para España que existe una relación positiva y significativa entre los casos de despidos cuyas sentencias fueron a favor de los trabajadores y el desempleo.
2. Debido a que Di,t es una función de η de esto se sigue que D i,t1 es también función de ηi.
3. En términos generales cuando la variable dependiente se incluye en forma rezagada entre los regresores el supuesto de exogeneidad estricta no se mantiene [ Hsiao (2003)].
4. Por ejemplo Di,0 podría ser fijo por lo cual E[ηiDi,0] =0. También, podría ser aleatorio, en cuyo caso habría que definir si Di,0 es independiente de ηi o por el contrario correlacionado con ηi.
5.Anderson y Hsiao (1982) proveen un estimador por variables instrumentales, sin embargo GMM más eficiente que el estimador por variables instrumentales de Anderson y Hsiao (1982).
Agradezco los comentarios del evaluador. Por supuesto, los errores que persisten son responsabilidad del autor.
BIBLIOGRAFÍA
1. Anderson, T.W. y Hsiao, C. (1982). Formulation and estimation of dynamic models using panel data. Journal of Econometrics. 18, 47 82.
2. Arellano, M. y Bond, S. (1991). Some Test of Specification for Panel Data: Monte Carlo Evidence and Application to Employment Equations. The Review of Economic Studies, 58(2), 277297.
3. Buechtemann, C. (1993). Employment security in Germany: An economic Analysis. Informe para Consiglio Nazionale dellÉconomia e del Lavoro. Roma: Buechtemann, C.
4. Bertola, G., Boeri, T. y Cazes, S. (1999). Employment protection and labour market adjustment in OECD countries: Evolving institutions and variable enforcement. Employment and Training Papers, 48.
5. Bruno, G.S.F. (2004). Estimation inference and Monte Carlo analysis in dynamic panel data models with small number of individuals, S.L. en http://www.tstat.it/novita/ conferenze/bruno.pdf.
6. Epstein, R.A. (1984). In Defence of the Contract at Will. University of Chicago Law Review. 51, 947982.
7. Jimeno, J.F. y Masagué, A. C. (2003). Veinticinco años de mercado de trabajo en España. Economía Industrial, 103350.
8. Hsiao, Ch. (2003). Analysis of Panel Data, (2nd ed). Cambridge: Cambridge University Press.
9. Levine, D.I. (1991). JustCause Employment Policies in the Presence of Worker Adverse Selection. Journal of Labour Economics, 9(3), 294305.
10. Mora, J.J. (2005). El justo despido y el mercado laboral: Una aplicación para España. Semestre Económico, 8(16), 119127.
11. Rosen, S. (1984). Commentary on ´In Defence of the contract at will. University of Chicago Law Review, 51, 943987.