LA RELACIÓN INTRAFAMILIAR EN ENTORNOS EMPRESARIALES. INCURSIÓN A UN MODELO DE DIAGNÓSTICO
MELQUICEDEC LOZANO POSSO1
1Ingeniero Industrial y Máster en Economía Aplicada de la Universidad del Valle, Cali, Colombia. Máster en Creación y Dirección de Empresas, Universidad Autónoma de Barcelona, España. Ph.D. (c) en Ciencias, Estrategia y Dirección de Empresas, Universidad Autónoma de Barcelona, España. Consultor en Empresas familiares. Profesor titular y Director de investigaciones del Centro de Desarrollo del Espíritu Empresarial, Universidad Icesi, Cali, Colombia. melqui@icesi.edu.co.
Fecha de recepción: septiembre 22 de 2006 Fecha de aceptación: octubre 24 de 2006
RESUMEN
La presente investigación tomó como base la información de 17 empresas familiares, con el fin de plantear un modelo que valora la relación intrafamiliar en familias propietarias de empresas, con el propósito de diagnosticar cuáles son las variables que más afectan las relaciones entre los miembros que componen el grupo familiar en entornos empresariales y, de acuerdo con ello, intervenir sobre esas variables para beneficiar el sistema familia-empresa. El modelo distingue dos grupos de variables. Un grupo que corresponde a las variables alfa (α), aquellas relacionadas con la empresa que son más propensas a afectar la relación intrafamiliar. Otro grupo que corresponde a las variables beta (β), aquellas que guardan relación de un miembro frente a otro u otros, y son propensas a afectar la relación intrafamiliar.
PALABRAS CLAVE
Empresas familiares, armonía en empresas familiares, relación entre familiares propietarios.
ABSTRACT
The present research took the information of 17 family business to plan a methodology that explore the value of family relationship between owner family business, with the objective of diagnostic witch variables are the ones that affects the relationship between members of the family group in business environment and work on them to benefit the system familybusiness. The model works with two groups of variables. One group is the alpha variables (α), this are related with the business and can affect the family relationship. Other group are the beta variables (β), they represent the relation between a member and other or others and can affect the family relationship.
KEY WORDS
Family business, harmony in family business, relationships in family business.
1. RELACIONES FAMILIARES Y CONSULTORÍA
Se ha hecho evidente que estudiar las empresas familiares debe ser un proceso continuo, no sólo porque el inicio de los estudios científicos se remonta a fechas muy recientes, sino porque su naturaleza enmarca variables que fácilmente pueden tornar vulnerable y cambiante el sistema (Harvey et al., 1998; Davis y Harveston, 2001). Basados en esta apreciación, los interesados en este fascinante mundo, que conjuga a la familia y a la empresa, han avanzado de manera importante en su comprensión y manejo.
En este vasto mundo de las empresas familiares uno de los temas que surge con frecuencia es el de las relaciones familiares. La literatura revela que los conflictos de relación deprimen el desempeño individual y grupal, reduciendo la probabilidad de que los miembros de un grupo logren trabajar juntos en el futuro (Jehn, 1995; Shah y Jehn, 1993; Filbeck y Smith, 1997). Hay un creciente énfasis en la calidad de las relaciones en las familias, la solidaridad familiar depende ciertamente de la voluntad de adquirir compromiso, de comunicación, negociación y confianza. Estas dinámicas necesariamente tienen relevancia sobre la estructura y los procesos de la empresa familiar, pues contribuyen a diseñarlas para facilitar la comunicación y la confianza. Al examinar el cambio en familia y empresa familiar hay amplia tendencia hacia la consecución de autonomía individual y democratización en las relaciones familiares, lo cual representa un reto para la solidaridad y continuidad en este tipo de organizaciones. Se parte del examen de un cambio de carácter de la institución familiar en las sociedades occidentales (Gilding, 2000).
El tema de las relaciones intrafamiliares en entornos empresariales ha venido despertando interés científico desde hace algunos años (Holliday y Letherby, 1993; Foley y Powell, 1997; Kellermans y Eddleston, 2004), pues existe al interior de las empresas familiares una gran dosis de sensibilidad que sin un manejo adecuado puede generar grandes conflictos. Las relaciones familiares pueden afectar y cambiar el futuro de una empresa familiar (Ward, 1987). Las relaciones entre miembros familiares y de éstos frente a la empresa, guardan directa relación con el estado de armonía en la convivencia dentro del sistema empresa/familia. Ya a mediados de los años noventa, en el siglo pasado, en su revisión de estudios sobre empresas familiares que le permitió construir una taxonomía y tipología sobre ellos, Wortman (1994) identificó varios trabajos con alguna dosis dedicada a la armonía familiar. La importancia de las relaciones intrafamiliares y, por ende, la importancia de la armonía familiar, es evidente desde diversos ángulos, incluso aquél en el que las personas reciben influencias desde las dificultades de la niñez y la juventud (Drenan et al., 2005) en sus intenciones de ser empresarios. Experiencias vividas tales como el abandono del padre, situación económica difícil, o el divorcio de los padres, influyen en esas intenciones. En su modelo sobre factores relacionados con el sucesor que influencian el proceso de sucesión Venter et al., (2005), incluyen como uno de los factores importantes la armonía familiar, la que incide fuertemente en la relación de trabajo entre el gerente propietario y el sucesor, lo que, a su vez, influye en la continuidad de ganancias para la empresa familiar. En virtud de esto se hace interesante el que para algunos casos, es evidente que los hijos desear ían trabajar en la empresa familiar si no existen grandes desacuerdos con el predecesor (Lambrecht, 2005). Con anterioridad Handler (1992) encontró que el nivel de mutuo respeto y entendimiento entre generaciones fue un valor crítico.
La relación intrafamiliar emerge como uno de los ejes centrales del éxito de la empresa familiar, y el éxito de este tipo de organizaciones no depende únicamente de la gestión administrativa que implica relaciones contractuales formales, aun si esa gestión está bajo la responsabilidad de personas muy conocedoras de los diferentes componentes de la empresa (Lozano, 2003; Harvey, 1999). Es esta, por tanto, la razón por la cual se ha querido dedicar este trabajo a la relación intrafamiliar en entornos empresariales, la que se ha denominado RITA.
Por otro lado, la literatura en organizaciones ha abordado con mucha timidez el área correspondiente a la consultoría en empresas familiares. Aunque en algunos libros se dedica parte de un capítulo, o quizá un capítulo completo a esta área (Leach, 1991; Rosenblatt et al., 1990; Gersick, 1997; Pérez et al., 2002) sólo unos cuantos autores se han referido a ella para avanzar en el conocimiento del tema de consultoría. Goodman (1998), se refiere al asesor de empresas como un nuevo profesional que se ha preparado para conocer las necesidades de las empresas familiares. Baker y Wiseman (1998) presentan un modelo de práctica de consultoría en empresas familiares basado en la teoría de Murray y Brown sobre comportamiento humano. Con lo cual se inquieta de manera relevante en búsqueda de caminos para llegar al cliente. Hubler (1998) aborda la importancia de que los consultores de empresas familiares entiendan sus fallas con el fin de proveer una más rica oportunidad de crear beneficios futuros para las organizaciones y las familias que reciben orientación profesional. Como complemento se manifiesta esta la necesidad de tener conocimiento de sí mismo como consultor y también un conocimiento objetivo de los clientes, tanto en lo personal como en sus comportamientos frente al comportamiento empresarial (Brown, 1998). Incluso se ha ido más allá en las áreas de intervención del experto en empresas familiares, extendiendo su legitimización no sólo a la consultoría, si no también a la investigación y a la educación (Hoy, 2003).
Como es entendible, no se difunden herramientas de intervención como consultor en empresas familiares, quizá porque cada consultor desea guardar sus herramientas como un activo íntimo que sólo él conoce y aplica por temor a que sea replicado por otros. Un celo explicable aunque perjudicial para el avance en el apoyo profesional a las empresas familiares.
Aunque probablemente no todas las herramientas de intervención profesional han de ser difundidas, sí es claro que algo debemos hacer para contribuir a que se conozcan algunas, susceptibles de ser utilizadas en diversas regiones y contextos, obviamente con los ajustes y adaptaciones previos que se requieran. Adicionalmente, su difusión ayuda a abrir la mente para idear otras herramientas adicionales que contribuyan a que las empresas familiares sean mejor orientadas por los consultores del área. De esta manera también se colabora en el avance de los métodos, de las variables, de los contextos, y de las delimitaciones que se deben tener en cuenta en las consultorías de empresas familiares.
En atención a lo mencionado, este trabajo muestra un modelo recientemente creado por el autor, el cual surge de las vivencias encontradas en consultorías con algunas empresas familiares y también de los resultados de una sesión de grupo realizada con diecisiete empresas familiares que fueron convocadas. El modelo permite diagnosticar la relación intrafamiliar en contextos empresariales. Ahora, ¿por qué el tópico de la relación intrafamiliar? Porque la relación intrafamiliar se reconoce como uno de los temas de mayor trascendencia en el campo de las empresas familiares, y este tópico casi siempre representa la fase inicial que todo consultor de empresas familiares debe abordar (Lozano, 2003). Se ha encontrado que la calidad de la relación familiar es un predictor más dominante de transición exitosa en las empresas familiares que el plan de sucesión o la preparación de los herederos (Morris, 1997).
2. METODOLOGÍA
Consideraciones generales
Un encuentro de cuatro horas con diecisiete empresas familiares del departamento del Valle del Cauca, Colombia, sirvió de medio para determinar las variables que sus familiares consideran como las que más influencian la relación intrafamiliar. La Tabla 1 muestra el listado de las empresas tomadas.

Estas empresas participaban en un programa de formación empresarial de dos años, que consistía en capacitar un grupo de empresas que le proveen productos y servicios a otra mucho más grande que ellas, denominada empresa pivote. Esta oportunidad de tenerlas juntas fue aprovechada para indagarles sobre las variables que consideraban más propensas a deteriorar la relación intrafamiliar en un entorno de familias propietarias de empresas.
Para recolectar la información se recurrió a la técnica de sesión de grupo. El proceso implicó determinar el número de grupos y sesiones que habrían de realizarse, definir el tipo de personas que participarían, convocar a estas personas, planear el desarrollo de la sesión y ejecutarla.
Para llevar a cabo la sesión se tuvo en cuenta un moderador, el planteamiento explícito de los objetivos de la sesión, la creación de un clima de confianza, la intervención libre pero ordenada, y la toma de apuntes durante la sesión.
Sesión de Grupo
En este trabajo se ha escogido la sesión de grupo (Iñíguez, 1999) como un método cualitativo que puede explotarse para conocer las variables más propensas a afectar la relación intrafamiliar en familias propietarias de empresas, lo cual permitió desarrollar un modelo de diagnóstico de la relación intrafamiliar de la familia en un entorno empresarial.
La sesión de grupo consiste en que los participantes conversan en torno a uno o varios temas en un ambiente relajado e informal, con la conducción de un moderador experto en el manejo de grupos y conocedor de los temas de conversación. Se recurrió a un grupo y una única sesión, la cual es una de las modalidades existentes y reconocidas en la recolección de información cuando se aplica la sesión de grupo (Hernández et al., 2003), también denominados grupos de enfoque o grupos de discusión.
Esta modalidad es una técnica esencialmente cualitativa de obtención de información de carácter inductivo, cuya interacción fue dirigida, en este caso, a partir de un guión con formato no estructurado, para obtener datos sobre las percepciones de los informantes acerca de un tema muy concreto, las variables que más afectan la relación intrafamiliar en un contexto de familia propietaria.
Esta técnica es útil para buscar explicaciones, supone una vía a través de la cual las personas expresan ideas y opiniones libremente. Aplicada al tema de relación intrafamiliar en familias propietarias es una técnica que permitió a los miembros de familias propietarias de empresas opinar libremente sobre este tópico tan importante. Brinda la ventaja sobre otros métodos en cuanto que es más fácil para los informantes, al posibilitar una convocatoria más inmediata. En este caso se aprovechó la confluencia de ellos en el programa ya mencionado en el cual estaban participando pues no les implicaba desplazamientos ni costos adicionales.
Características de la sesión de grupo
El grupo de participantes seleccionado estuvo compuesto por miembros propietarios de empresas familiares que ocupan cargos de dirección en ellas y que tienen interés en el tema de relaciones entre familiares, aspectos que facilitaron el intercambio de opiniones.
Este grupo de discusión presentó una circunstancia especial. En este contexto los participantes se conocían entre sí, en razón a su participación en un programa de proveedores alrededor de una empresa pivote, aunque al momento de la realización de la sesión de discusión, era un grupo en proceso de conformación. Esta integración previa de las empresas en ese programa dio algunas ventajas, pues contribuyó a tener más acercamiento en la discusión y a evitar las cohibiciones, con lo cual la participación fue libre y abierta.
Consideraciones de la sesión
Para favorecer la participación se procuró un ambiente agradable. Con anterioridad a la reunión, se cursaron invitaciones previas explicando el objetivo de la misma, el tiempo aproximado de duración y el método de discusión que se seguiría.
Para el buen desarrollo de la reunión, se tuvieron en cuenta varios aspectos: a) se seleccionó una sala confortable y que favoreciera un ambiente de participación, b) la ubicación de los participantes se hizo de forma oval con el fin de poder apreciarse unos a otros, c) la reunión se realizó en horas de la mañana para lograr una mejor disposición, d) la duración fue de cuatro horas, con un breve intermedio de descanso, e) se acordó apagar los equipos celulares y otros similares durante el desarrollo de la reunión, f) el autor de este artículo actuó como moderador, guiando las intervenciones y facilitando un debate organizado, g) además del moderador, una secretaria tomó nota de las incidencias de la reunión.
Desarrollo de la sesión
El propósito fundamental fue indagar a los asistentes sobre los asuntos (variables) que más influenciaban positiva o negativamente la relación intrafamiliar, bien desde el contexto de la familia o desde el contexto de la empresa.
Al inicio de la sesión de grupo se hicieron dos preguntas introductorias sencillas para evaluar la importancia de continuar la indagación. A la primera pregunta: ¿De acuerdo con el comportamiento y estado actual, considera a su empresa exitosa? Todos los encuestados respondieron que sí. A la segunda pregunta: ¿Qué tanto la buena relación entre miembros de la familia propietaria incide en un buen manejo de la empresa de la familia? Siete encuestados respondieron "mucho", en tanto que los otros diez diez respondieron "enormemente". Estas respuestas fueron suficientes para deducir que el resto de la sesión se podía continuar. Primero, porque era un grupo de empresas que se consideraban exitosas, con lo cual tenían mucho que manifestar sobre el manejo de las relaciones intrafamiliares para llegar a ese estado de éxito. Segundo, porque reconocieron que las relaciones intrafamiliares inciden en un buen manejo de la empresa, con lo cual ya de hecho el tema se hacía importante para los informantes.
La lógica diría que si no se vieran como empresas exitosas este reconocimiento sería mayor. De aquí se reconfirma, para la muestra de diecisiete empresas, la enorme importancia que le dan a las relaciones intrafamiliares en un contexto familia-empresa.
El siguiente paso fue formularles una única pregunta: ¿Cuáles son las situaciones (variables) que más influencia tienen sobre la relación intrafamiliar? Se les motivó a participar, se les escuchó, se solicitaron aclaraciones cuando era necesario, y se tomaron apuntes de la información suministrada.
Análisis de los datos
El análisis de la información producida en una sesión de grupo no tiene una guía específica, no se le puede hacer un solo tipo de análisis, la propuesta es que se abran las posibilidades de análisis (Galindo, 1998). Los datos tomados por el moderador y las notas tomadas por la secretaria durante la sesión de discusión, fueron organizadas y analizadas, de tal manera que se pudo concluir sobre la información recolectada. Este proceso generó el listado que se muestra en el numeral tres. Este listado, con origen en las manifestaciones de los miembros familiares presentes en la sesión, fue el fundamento del modelo de diagnóstico que aquí se expone.
Un examen de las variables o situaciones del listado contribuyó a clasificar las variables y a conformar dos subgrupos: variables α y variables β. A continuación se muestra el proceso que se siguió para diseñar el modelo de diagnóstico de la relación intrafamiliar en familias propietarias de empresas. En este modelo cada integrante de una familia propietaria que desee evaluar su estado de relación intrafamiliar, ha de expresar numéricamente su criterio frente a cada variable. Estos datos alimentan el software que fue creado para el modelo y con ello se obtiene una matriz de datos que, analizada por el consultor, permite obtener el diagnóstico correspondiente.
3. VARIABLES EN LA RELACION INTRAFAMILIAR
Con base en el debate realizado con los miembros familiares representantes de las diecisiete empresas mencionadas anteriormente, se determinó un listado de las variables más intensamente asociadas a la relación intrafamiliar, denominada RITA:
Fruto de un previo examen, estas variables se han clasificado en dos grupos que se han denominado α y β, por tanto, como RITA es función lineal de estas variables, tenemos la expresión:
RITA = f (α,β)
Es decir, la relación intrafamiliar RITA depende de las variables α y β. Las variables α son aquéllas que relacionan la posición de un miembro familiar cualquiera frente al sistema familia-empresa y corresponden a las primeras cinco variables del listado anterior. Para facilidad en la explicación las llamaremos α1, α2, α3, α4, α5. Así:
α1: Claridad y aceptación en la distribución de la propiedad.
α2: Distinción clara en el ámbito familiar vs. el ámbito empresarial.
α3: Claridad, aceptación y realización en el rol empresarial.
α4: Responsabilidad frente a los compromisos con la empresa.
α5: Respeto por la jerarquía del resto de miembros en la organización.
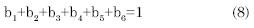
Las variables β son aquéllas que determinan relaciones de apoyo, entendimiento y armonía entre miembros de la familia propietaria y corresponden a las seis últimas variables del listado.
β1: Frecuencia de la comunicación entre miembros.
β2: Apoyo mutuo en intereses personales y profesionales.
β3: Solidaridad y acompañamiento.
β4: Respeto por los criterios ajenos.
β5: Responsabilidad frente a compromisos con la familia.
β6: Afecto, amor y simpatía por los demás.
De esta manera, la función RITA y sus variables asociadas, α y β, quedan expresadas en términos algebraicos como se indica en (1).

Más concretamente, las variables α abordan aquellos asuntos de la relación entre miembros familiares y la empresa, que pueden dañar la relación intrafamiliar. En tanto que las variables β, abordan aquellos asuntos de la relación entre miembros familiares que pueden dañar la relación intrafamiliar.
4. PONDERACIONES O COEFICIENTES DE α Y β
Como es evidente, esta asociación o interrelación, ha de tener un peso o ponderación para cada grupo de variables.
Estos pesos o ponderaciones, deberán ser obtenidos por los investigadores mediante la comunicación y toma de información permanente con miembros de empresas familiares. Estas ponderaciones deberán determinar coeficientes para cada caso, pues en el fondo dependerán substancialmente de la importancia o peso que los miembros de la empresa familiar en estudio le den a cada variable de los grupos α, β. Para tal efecto, se asignan los coeficientes tal como aparecen en la Tabla 2.

Por lo cual

Es de esperar que con el paso del tiempo la familia cambie sus percepciones y por lo tanto generen un cambio en la distribución de esas ponderaciones. Es decir, estos coeficientes pueden llegar a tener valores diferentes a los evidenciados por el consultor o el investigador e, inevitablemente, éste deberá estar presto a estas variaciones. Las ponderaciones o pesos no son definitivamente inmutables frente al paso de los años, comportamiento que tiene su explicación en el contenido cualitativo de la información suministrada, lo cual varía con el transcurrir del tiempo; pues los valores, las actitudes, las percepciones, las preferencias, los criterios, el clima familiar y la forma de ver la vida, no son estáticos en el largo plazo.
Sin embargo, es factible concebir valores de estos coeficientes que determinen pesos promedio confiables para los α y β. El investigador deberá someter los grupos de variables α, y β a consideración de los miembros del grupo familiar propietario en estudio. Primero a través de la manifestaci ón individual y luego, mediante la reflexión conjunta si la familia así lo considera, deberán definirse unas ponderaciones promedio de los pesos para el grupo familiar en investigación. No obstante, si estas ponderaciones se obtienen sólo con base en la información individual de cada miembro familiar (Mn), las percepciones y conclusiones que nazcan a partir de ellos son bastante confiables, pues se parte del sentir de cada Mn involucrado, sin la influencia directa del resto de integrantes.
De esta manera, los coeficientes a1, a2, a3, a4, a5, b1, b2, b3, b4, b5, b6, serán definidos a partir del criterio individual que cada miembro familiar tenga en cuanto a la importancia de cada α y cada β dentro de su respectivo grupo. Es decir, deberán asignar un nivel de importancia a cada variable en relación con las otras. Para tal efecto, y con el fin de facilitar nuestros planteamientos, estas asignaciones serán porcentuales y, además, expresaremos a RITA tomándola de manera individual para cada grupo de variables, donde RITAe es la relación intrafamiliar en función de los α ó contexto empresarial, y RITAf es la relación intrafamiliar en función del contexto familiar, (Ver (3) y (4))


nuestro caso tomaremos un 100% como la totalidad de la ponderación para cada expresión. Este 100% deberá ser repartido en su totalidad por cada miembro Mn entre α1, α2, α3, α4 y α5, en atención a la importancia que, de acuerdo con su criterio personal, le otorgue a cada variable en cuanto al mejoramiento de la posición de los miembros frente al contexto de la empresa. Esto es a1+ a2+ a3+ a4+ a5 = 100%
Análogamente, otro 100% deberá ser distribuido en su totalidad por cada miembro Mn entre β1, β2, β3, β4, β5, β6, en atención a la importancia que, de acuerdo con su criterio personal, le dé a cada variable en cuanto al mejoramiento de las relaciones de apoyo, entendimiento y armonía entre miembros de la familia propietaria. Esto es b1+ b2+ b3+ b4+ b5+ b6 =100%
Estas ponderaciones dadas por cada Mn a todas las variables tanto tipo α como tipo β, facilitarán la obtención de ponderaciones promedio que serán representativas del criterio familiar para cada variable, lo cual explicaremos más adelante.
5. CALIFICACIONES O VALORES DE α Y β
El tratamiento en sí de las variables α y β es similar, en ello pretendemos introducirnos ahora. Con este fin, inicialmente se recuerda la dependencia de RITA para cada una de las variables de acuerdo con las expresiones (3) y (4). Sin embargo, como lo que se pretende en últimas es ver el comportamiento de RITA, queda claro que, al asociar a ésta cada grupo de variables α y β de manera separada, podemos asumir las expresiones (3) y (4) como funciones lineales de un solo grado donde cada variable, como se dijo anteriormente, estará asociada a un peso relativo que en las expresiones (5) y (6) aparece como coeficiente de las variables.


De los criterios emitidos por varias familias propietarias exitosas consultadas puede deducirse que tanto para la función (5) como para la función (6), en tanto los αn y βn tengan un comportamiento creciente, la relación intrafamiliar RITA tenderá a ser mejor. Sin embargo, las familias considerarán que tanto αn como βn tienen un límite después del cual RITA permanece constante. Es decir, αn y βn no crecen indefinidamente. Criterio éste que nos permite identificar el estado de estas variables dentro de un rango determinado. Para el estudio que nos anima asumiremos que cada αn y cada βn oscilarán entre 0 y 100 puntos, como se ilustra en la Figura 1.

Para ambos casos, en tanto la variable tienda a la derecha de cincuenta, las relaciones intrafamiliares se verán favorecidas. En contraposición, en tanto la variable tienda a la izquierda de cincuenta, las relaciones intrafamiliares se verán deterioradas. Cincuenta, por lo tanto, es un estado de desconcierto en el cual el nivel de la variable no ha llegado todavía al deterioro conflictivo crítico, pero es una voz de alarma que debe ser escuchada y analizada por el grupo familiar comprometido.
En su intercambio con el consultor, los miembros del grupo familiar propietario calificarán individualmente el nivel "actual" de cada variable α, β en la escala de 1 a 100 puntos. Se persigue con esto que cada miembro M emita su criterio personal de la situación real que vive "ahora"; criterio que expresará numéricamente. Estas calificaciones individuales permitirán obtener una calificación promedio del grupo familiar para cada variable, tal como acontece con los pesos o ponderaciones asociados a ellas.
6. DETERMINACIÓN DE LAS PONDERACIONES Y CALIFICACIONES POR PARTE DEL GRUPO PROPIETARIO
6.1 Ponderaciones
En términos de la nomenclatura mencionada, se observan en la Tabla 3 las ponderaciones o pesos de importancia que ha de darle un miembro Mn de una familia propietaria (fp) a las variables α.

Por facilidad, Mn ha expresado sus ponderaciones en términos porcentuales; esto es a1+a2+a3+a4+a5 = 100%. Pero el consultor deberá traducirlas a decimales, de tal manera que

Esta expresión es un requisito indispensable para todos los casos, pues recordemos que se trata de distribuir un 100% entre las cinco variables α. De esta manera llegamos entonces a la expresión (7), esgrimiendo el caso hipotético de que la "familia propietaria" tenga un solo miembro M1.
Ahora, en la Tabla 4 se observan las ponderaciones o pesos que este mismo miembro Mn le da a las variables β.

De manera análoga, el consultor deberá traducirlas a decimales, con lo que se llega a la siguiente expresión, también indispensable para todos los casos.

Esta expresión (8) esgrime el caso hipotético de que la "familia propietaria" esté compuesta por un solo miembro M1.
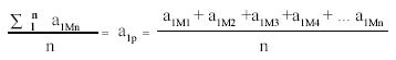
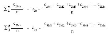
Consideremos ahora, en la Tabla 5 la información de una familia propietaria con integrantes M1, M2, M3, M4, …Mn que han ponderado las variables α y β, con a1, a2, a3, a4, a5, y b1, b2, b3, b4, b5, b6, respectivamente

Si a la ponderación a1 asignada a α1 por el miembro M1 la llamamos a1M1, a la ponderación a1 asignada a α1 por el miembro M2 la llamamos a1M2 y hacemos este ejercicio de manera similar para el resto de ponderaciones en la información de la Tabla 5, se genera la Tabla 6.

De la Tabla 6 se deduce que el promedio a1P de las a1, está dado por:

Donde n es el número de miembros integrantes de la familia propietaria que participan en la evaluación.
De manera análoga:

Y así sucesivamente para el resto de promedios aritméticos de toda la Tabla 6.
Estos pesos o ponderaciones dependen de los valores de la familia, intereses, etc.
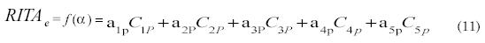
Estos promedios son representativos de la "posición" o "criterio" de la familia, por lo cual podemos escribir de la relación intrafamiliar RITA que:


En términos más simples, estamos ante las expresiones (5) y (6), pero con valores promedio tanto de a1, a2, a3, a4, a5 como de b1, b2, b3, b4, b5, b6.
A esta altura de nuestros planteamientos ya tenemos los pesos promedio o importancia promedio que, como familia, se le ha asignado a cada variable. Con estos pesos, cuya suma ha de ser igual a 1 (equivalente al 100%) y, dado que tanto cada α como cada β toman valores que oscilan entre cero y cien, es claro que RITA tomará valores entre cero y cien puntos.


6.2. Calificaciones
Para definir las calificaciones o los valores de α y β de tal manera que estos den lugar, en las expresiones (9) y (10), a un valor numérico de RITA, los miembros propietarios de las Empresas Familiares deberán calificar el "estado actual" de cada variable en un rango de cero a cien, como ya se explicó en el numeral anterior, Una vez hechas las calificaciones "C" y las calificaciones "K", se tomará el promedio aritmético de ellas.
Este promedio aritmético se denominará Cp ó Kp. Las calificaciones "C" que ha de darle un miembro Mnde una familia propietaria a las variables α se observan en la Tabla 7.

Análogamente, las calificaciones "k" que ha de darle un miembro Mn de una familia propietaria a las variables β se observan en la Tabla 8.

Recordemos que tanto las calificaciones "C" como las calificaciones "K" deben considerarse de cero a cien (0 a 100). La Tabla 9 muestra la informaci ón de una familia propietaria de n integrantes M1, M2,…Mn que han calificado las variables α y β con C1, C2, C3, C4,C5 y K1, K2, K3, K4, K5,K6 respectivamente.

Si a la calificación C1 asignada a α1 por el miembro M1 la llamamos C1M1, a la calificación C1 asignada a α1 por el miembro M2 la llamamos C1M2, y si replicamos este procedimiento de manera análoga para el resto de calificaciones en la información de la Tabla 9, obtenemos la Tabla 10 equivalente.

Observamos en la Tabla 10 que el promedio C1P de los C1 está expresado por:

Donde n es el número de miembros integrantes de la familia propietaria que participan en la evaluación. De forma similar:

Y así sucesivamente con el resto de promedios aritméticos de toda la tabla. Estas calificaciones promedio dependen de la consideración que la familia haga del estado actual de las variables α y β. Estos promedios son representativos del criterio de la familia y por consiguiente podemos escribir las expresiones (9) y (10) tal como se muestran en las expresiones (11) y (12).


En el corto o mediano plazo, a1P , a2P, …,a5P y b1P , b2P, …,b6P, no varían o varían muy poco, excepto casos excepcionales, pues es la importancia media que como grupo familiar propietario, cada familia, le da a las variables α y β. Dado que esta importancia está ligada a valores, creencias, formas de ver la vida, etc.,los cambios en el tiempo se dan con relativa lentitud.
Por el contrario c1P, c2P, …,c5P y k1P , k2P, …,k6P tienden a transformarse pronto porque se trata de estados "actuales", es decir, el estado de las variables ya, ahora, al momento de hacer la evaluación.
7. RANGOS DE RITA
De las expresiones (11) y (12) se obtendrá un valor de RITA. Las interpretaciones al valor de RITA dependen del rango en el cual se sitúe su resultado numérico. Para tal efecto, se sugieren los rangos especificados en la Tabla 11, con sus respectivas descripciones.


Sin embargo, esta información de los rangos donde se sitúa RITA no es suficiente y, por consiguiente, la observación detallada de la tabla donde se consigue la información de ponderaciones, calificaciones y promedios, será de vital importancia para determinar, con visión panorámica, la situación de la relación intrafamiliar de la familia en cuestión, y definir cuáles han de ser las variables a tratar y mejorar. El software planteado para esta metodología determina la información más importante al respecto.
8. EJEMPLO ILUSTRATIVO
En la práctica los cálculos son más sencillos de lo que parece; veamos el siguiente ejemplo:
Los miembros M1, M2, M3, M4 y M5 de una familia propietaria ponderaron el peso o importancia (a1, a2,…,a5) de las variables alfa, y las calificaciones (C1, C2,…,C5) del estado actual de las mismas variables α (ver Tabla 12).

Si se toma la expresión:

es decir,
vemos que RITA = 62; valor que se ubica
en el Rango 50<62≤75 de la Tabla
11, lo cual indica que para el grupo
familiar, hay algunas variables importantes
frente a asuntos de la empresa
que están causando un MODERADO deterioro
en la relación familiar. MODERADO
indica que no hay situaciones críticas
aún, pero de actuar con indiferencia,
esta moderación pronto podría tornarse
a un nivel ALTO ó MUY ALTO.
Para detectar cuáles son las variables a abordar y mejorar de manera prioritaria, en la Tabla 12 debemos observar cuáles son los "C" menores de 50 puntos. Se escogen los menores de 50 puntos por estar denotando estas calificaciones, estados actuales no apropiados de las variables calificadas por los miembros familiares. Estos "C" menores a 50 puntos aparecen en las columnas de α4 y α5. En la Tabla 12 corresponden a 30, 20, 40, 10, resaltados en negrilla en la columna de los α4; y 10, 30, 10, 20, 30, destacados con negrilla en la columna de los α5. De estos "C" menores a 50 puntos, tomamos los dos con mayor ponderación o peso. Para el caso de la Tabla 12 corresponden a 0.2 en la columna de los α4, y 0.3 (2 veces en la columna de los α5). En este último caso aparecen dos valores, pues el software identifica los dos pesos de mayor valor entre los "C" menores de 50 puntos; sin embargo, de haber valoraciones iguales, son tomadas simultáneamente.
En nuestro ejemplo es evidente que la problemática MODERADA está en las variables α4 y α5, es decir: "responsabilidad frente a los compromisos con la empresa" y "respeto por la jerarquía del resto de miembros en la organización". Estas son las variables que la familia identifica como asuntos relacionados con la empresa que no están resueltos y están causando deterioro en las relaciones intrafamiliares. Adicionalmente, las parejas de valores (0.2, 20), (0.3, 20) y (0.3, 30) muestran que el miembro familiar más insatisfecho con la situación actual de la variable α4 es M2 y los miembros familiares más insatisfechos con la situación actual de la variable α5 son M4 y M5.
De forma análoga, se procede para las variables βn, cuyas calificaciones se muestran en la Tabla 13. Como resultado obvio, en este caso, se atender án los rangos correspondientes a RITAf = f(β). Luego se detectarán las calificaciones "k" menores de 50 puntos, y de éstas se tomarán aquellas con mayor peso o ponderación para determinar los miembros familiares más insatisfechos.

Este panorama brinda información valiosa al consultor para su intervención con la familia en pos de mejorar las variables sensibles identificadas.
En estas dos tablas lo que se debe revisar son los "C" y "K" inicialmente, con el fin de ver si están bien o no.
Si están mal actualmente (menores de 50 puntos) y no son importantes para la familia (peso) no hay asuntos graves. Si están mal y son importantes (pesos iguales o por encima del promedio del grupo), esas son las variables críticas sobre las que hay que trabajar.
9. OPERACIÓN DEL SOFTWARE
La aplicación permite facilitar el proceso de diagnóstico y mediante pantallas fáciles de manejar, proporciona una herramienta sencilla y agradable para la evaluación de las relaciones intrafamiliares en el entorno empresarial.

Una vez seleccionada la opción de entrar, se procede a ingresar los datos de cada miembro de la empresa familiar, registrando inicialmente las calificaciones para las variables α. Se tomarán como ejemplo los valores utilizados en el ejemplo ilustrativo (Tablas 12 y 13).
De esta forma se ingresan todos los valores de calificación y peso proporcionados para las variables α y β por un miembro.
Para proseguir con los datos de otros miembros se presiona el botón "Datos de otro miembro", y se continúa con los demás miembros de la empresa.
Una vez ingresados todos los datos de los distintos miembros se presiona "Finalizar" para observar los resultados del estudio.





Así se obtienen los mismos resultados mostrados en el ejemplo ilustrativo y se conocen las variables críticas y los miembros que determinaron este resultado. Igualmente se obtiene un significado del valor de las variables RITA, α y β.
10. CONCLUSIONES
El modelo que se ha expuesto en este artículo es una herramienta de diagnóstico importante para tomar y analizar información proveniente de familias propietarias de empresas, con el fin de hacerles aportes útiles. El software correspondiente se torna más relevante en tanto el número de miembros del grupo familiar con que se trabaje sea más grande.
Si tanto f(α) como f(β) son mayores o iguales a 85 puntos, se trata de una familia propietaria de empresas cuya relación intrafamiliar en general es muy buena y tiene los inconvenientes normales del día a día, sin ir más allá. En este caso se entiende que los esfuerzos del consultor deben proponer acciones para "mantener" el estado actual de armonía y no dejar que este prospere hacia ponderaciones menores. Sea cual fuere el rango donde se ubique el valor de RITA para la familia, siempre deberán revisarse al menos los dos valores mayores asignados a los "C" ó "K" menores de 50 puntos.
Si bien es cierto que las respuestas de los miembros familiares consultados tienen un cierto grado de subjetividad, esta será menor en tanto haya sinceridad en las apreciaciones emitidas. El tacto y persuasión del consultor serán altamente relevantes para lograrlo, y en ello deberá realizar sus mayores esfuerzos.
Por último, es preciso reconocer la importancia de seguir desarrollando herramientas de esta naturaleza para apoyar el funcionamiento de las empresas familiares.
De esta manera se le da un manejo más claro y útil a la información suministrada por los integrantes de la familia, pues facilita el análisis y, por consiguiente, la probabilidad de tomar decisiones más acertadas para el sistema familia-empresa.
AGRADECIMIENTOS
El autor agradece muy especialmente a las diecisiete empresas que colaboraron con sus puntos de vista; lo que facilitó la determinación de las variables consideradas en esta investigación. De igual manera agradece al doctor Rodrigo Varela, Director del CDEE de la Universidad Icesi, al doctor Francisco Piedrahita, su Rector, por el apoyo a mis trabajos en el área de empresas familiares, y a la ingeniera de sistemas Viviana Ferreira por su eficiente colaboración en el diseño del software asociado a este modelo de diagnóstico de la relación intrafamiliar en familias propietarias de empresas.
BIBLIOGRAFÍA
1. Baker, K. G.& Wiseman, K. K. (1998). Leadership, Legacy, and Emotional Process in Family Business. Family Business Review, 11(3), 207-213.
2. Brown, F. H. (1998). The Softer Side of Consulting to Business-Owning Families: Understanding Our Clients and Ourselves. Family Business Review, 11(3), 193-205.
3. Davis, P. S. & Harveston, P. D. (2001). The Phenomenon of Substantive Conflict in the Family Firm: A Cross- Generational Study. Journal of Small Business Management, 39(1), 14-30.
4. Drennan, J., Kennedy, J. & Renfrow, P. (2005). Impact of childhood experiences on the development of entrepreneurial intentions. The International Journal of Entrepreneurship and Innovation, 6(4), 231-238.
5. Filbeck, G. & Smith, L. L. (1997). Team Building and Conflict Management: Strategies for Family Businesses. Family Business Review, 10(4), 339-352.
6. Foley, S. & Powell, G. N. (1997). Reconceptualizing Work-Family Conflict for Business/Marriage Partners: A Theoretical Model. Journal of Small Business Management, 35(4), 36-47.
7. Galindo, L. J. (1998). Técnicas de investigación en sociedad, cultura y comunicación (1era edición). México: Pearson educación.
8. Gersick, K. E., Davis, J. A., McCollom, M. & Lansberg, I. (1997). Empresas Familiares: Generación a Generación (1era edición). México: McGraw Hill Interamericana.
9. Gilding, M. (2000). Family business and family change: individual autonomy, democratization, and the new family business institutions. Family business review, 13(3), 239-249.
10. Goodman, J. M. (1998). Defining the New Professional: The Family Business Counselor. Family Business Review, 11(4), 349-354.
11. Handler, W. (1992). The Succession experience of the next generation. Family Business Review, 5(3), 273- 286.
12. Harvey, M. (1998). Conflict In Family Business: Make It Work To Your Advantage. Journal of Business & Entrepreneurship, 10(2), 61-80.
13. Harvey, S. J. Jr. (1999). What can the family contribute to business? Examining contractual relationships. Family Business review, 12(1), 61-71.
14. Hernández, R, Fernández, C. & Baptista, P. (2003). Metodología de la investigación (3ª edición). México: McGraw Hill Interamericana.
15. Holliday, R. & Letherby, G. (1993). Happy Families or Poor Relations? –An Exploration of Familial analogies in the Small Firm. International Small Business Journal, 11(2), 54-63.
16. Hoy, F. (2003). Legitimizing Family Business Scholarship in Organizational Research and Education. Entrepreneurship Theory and Practice, 27(4), 417-422.
17. Hubler, T. M. (1998). Family Business Consultants as Leaders. Family Business Review, 11(3), 187-192.
18. Iñiguez, L. (1999). Investigación y evaluación cualitativa: bases teóricas y conceptuales. Atención primaria, 23(8), 496-502. Departamento de Psicología de la salud y de Psicología Social, Universidad Autónoma de Barcelona.
19. Jehn, K. A. (1995). A multimethod examination of the benefits and detriments of intragroup conflict. Administrative Science Quaterly, 40: 256-282.
20. Kellermanns, F. W. & Eddleston, K. A. (2004). Feuding Families: When Conflict Does a Family Firm Good. Entrepreneurship Theory and Practice, 28(3), 209-228.
21. Kaye, K. (1999). Mate Selection and Family Business Success. Family Business Review, 12(2), 107-115.
22. Lambrecht, J. (2005). Multigenerational Transition in Family Business: a New Explanatory Model. Family Business Review, 18(4), 267-282.
23. Leach, P. (1993). La empresa Familiar. Barcelona, España: Ediciones Garnica.
24. Lozano, M. (2003). Las relaciones intrafamiliares en la empresa familiar. Pensamiento & gestión, Revista de la Universidad del Norte, Barranquilla, Colombia, (15), 83-110.
25. Morris, M. H., Williams R., Allen; J. A. & Avila, R. M. (1997). Correlates of success in family business transitions. Journal of Business Venturing, 12(5), 385-401.
26. Pérez, M., Broseta, B., Monferrer, R. & Climent, J. (2002). La empresa familiar. Aspectos Psicosociales de la Dinámica Familiar. Valencia, España: Organismo Público Valenciano de Investigación.
27. Rosenblatt, P. C., de Mik, L., Anderson, R. M. & Johnson, P. A. (1985). The Family in Business. San Francisco: Jossey-Bass Publishers.
28. Shah, P. & Jehn, K. (1993). Do friends perform better than acquaintances? The interaction of friendship, con- flict, and task. Group Decisions and negotiations, 2, 149-166.
29. Sharma, P. (2004). An overview of the Family Business Studies: Current Status and Directions for the Future. Family Business Review, 17(1), 1-36.
30. Venter, E., Boshoff, G. & Maas, G. (2005). The influence of successorrelated Factors on the Succession Process in Small and Medium-Sized Family Businesses. Family Business Review, 18(4), 283-303.
31. Ward, J. L. (1987). Keeping the family business healthy: How to plan for continuing growth, profitability and family leadership. San Francisco: Jossey-Bass.
32. Wortman, M. S. (1994). Theoretical Foundation for Family-Owned Business: A Conceptual and Research- Based Paradigm. Family Business Review, 8(1), 3-27.