Artículo
DOI: 10.1016/j.estger.2017.11.002
Productividad de las empresas de la zona extractiva minera-energética y su incidencia en el desempeño financiero en Colombia
Productivity of companies in the extractive mining-energy area and its impact on the financial performance in Colombia
Produtividade de empresas na área extrativa de mineração e energia e seu impacto no desempenho financeiro na Colômbia
José Morelos-Gómeza , Miguel Ángel Nuñez-Bottinib
a Director, Programa Administración Industrial, Universidad de Cartagena, Cartagena, Colombia. Autor para correspondencia. Alto Bosque Trv 53 N.o 21 C 18, Cartagena, Colombia. Correo electrónico: jmorelosg@unicartagena.edu.co (J. Morelos Gómez).
b Docente, Programa Doctoral Ciencias Sociales Mención Gerencia, Universidad del Zulia, Maracaibo, Venezuela
Recibido 15 de Marzo de 2017
Aceptado 02 de Noviembre de 2017
On-line 7 de diciembre de 2017
Resumen
El propósito de esta investigación fue evaluar la productividad de las empresas de la zona extractiva minera-energética y su incidencia en el desempeño de los indicadores financieros en Colombia. En la metodología utilizada se calcularon los indicadores de productividad y financieros de 31 empresas registradas en la base de datos del Sistema de Información y Riesgo Empresarial para los años 2010 y 2013. Se utilizó la técnica de análisis discriminante de datos para explicar la pertenencia y existencia de diferencias poblacionales significativas de las empresas seleccionadas del sector extractivo, las cuales mostraron un comportamiento decreciente del año 2010 al 2013 en los indicadores razón utilidad operacional y valor agregado (IP2) y razón utilidad neta y capital de trabajo (IP6).
Palabras-clave: Productividad; Indicadores financieros; Sector minero-energético; Extracción; Análisis discriminante
Códigos JEL: C61. L65.
Abstract
The purpose of this research was to evaluate the productivity of companies in the extractive miningenergy area and its impact on the performance of financial indicators in Colombia. In the methodology we used, financial and productivity indicators of 31 companies registered in the database of the Information System and Business Risk for the years 2010 and 2013 were calculated. The technique of discriminant analysis of data was used to explain the belonging and the existence of significant population differences of selected companies in the extractive sector, which showed a decreasing behavior from 2010 to 2013 in the indicators reason operational usefulness and added value (IP2) and net reason and working capital (IP6).
Key words: Productivity; Financial rates; Mining and energy sector; Extraction; Discriminant analysis
JEL classification: C61. L65.
Resumo
O objetivo desta pesquisa foi avaliar a produtividade das empresas da área extrativa de mineração e energia e seu impacto no desempenho dos indicadores financeiros na Colômbia. Na metodologia utilizada, foram calculados os indicadores de produtividade e financeiros de 31 empresas registradas no banco de dados do Sistema de Risco e Informação Empresarial para 2010 e 2013. A técnica de análise discriminante de dados foi utilizada para explicar a pertença e existência de diferenças populacionais significativas das empresas selecionadas do setor extrativo, que apresentaram um comportamento decrescente de 2010 a 2013 nos indicadores de razão de utilidade operacional e valor agregado (IP2) e razão de utilidade neta e capital de trabalho (IP6).
Palavras-Chave: Produtividade; Indicadores financeiros; Setor de mineração e energía; Extração; Análise discriminante
Classificações JEL: C61. L65.
1. Introducción
Analizar la productividad de las organizaciones requiere enfocarse en los insumos (entrada) y productos (salida), a fin de orientar los esfuerzos hacia la mejora de las actividades operacionales y logro de los objetivos estratégicos de liderazgo en el mercado y rentabilidad competitiva del sector. En este sentido, la productividad estará dada en función de los factores relacionados con la racionalización de los recursos humanos, operacionales, tecnológicos y minerales utilizados versus el desempeño obtenido (Wang y Feng, 2015); además, es relevante en el estudio de las dinámicas económicas y la creación de riqueza dentro de una empresa (Molano y Campo, 2014), dado que permite monitorear el progreso de la misma cuando se compara con las empresas más rentables del clúster. Identificada dicha importancia y relevancia del concepto, el presente artículo de investigación muestra los resultados de la productividad de las empresas de la zona extractiva mineraenergética en Colombia, y su incidencia en el desempeño de los indicadores financieros. Es decir, este estudio busca dar respuesta a interrogantes problemáticos relacionados con ¿cuáles son los factores productivos de mayor incidencia en el desempeño organizacional?, ¿qué indicadores de productividad son más sensibles a las variaciones técnicas y tecnológicas del sector?, ¿cómo son las correlaciones entre los indicadores de productividad y financieros en el sector extractivo minero-energético?
En respuesta a los interrogantes expuestos, en esta investigación se identificaron y seleccionaron los estados financieros y sus correspondientes rubros, para posteriormente definir los indicadores de productividad y financieros que presentaran mayor pertinencia para responder a las preguntas problemáticas. Seguidamente, se definió el tipo de investigación desarrollada siendo esta descriptiva y cuantitativa, fundamentada en la aplicación de la técnica de programación lineal de Análisis Discriminante Multivariado (ADM) (De la Fuente, 2011), el cual permitió evaluar la clasificación y significancia de las 31 empresas de la zona extractiva minera-energética en Colombia para los años 2010 y 2013. Para determinar la efectividad de la clasificación del modelo se definieron y utilizaron los indicadores de productividad y financieros determinados, el cual permitió evaluar el comportamiento y las diferencias significativas presentadas en el grupo de indicadores en los dos periodos (años 2010 y 2013) analizados, y la incidencia de estos en el mejoramiento de los indicadores financieros y desempeño operacional del clúster empresarial objeto de investigación.
La técnica de ADM facilitó la clasificación de los grupos de indicadores de productividad y financieros utilizados, calculados a partir de los estados financieros de los años 2010 y 2013, presentados por las empresas del sector extracción de minerales en la Superintendencia Sociedades en Colombia, en la base de datos Sistema de Información y Riesgo Empresarial.
Complementando lo anterior, es importante considerar que diversos estudios han venido aportando al análisis de la productividad de las organizaciones en sus diferentes factores en el contexto global (Mohr, Somers, Swartz y Vanthournout, 2012; Van y Stoeldraijer, 2011), resaltando la pertinencia de este concepto para el mejoramiento en el desempeño de los factores y la agregación de valor en todos las procesos y áreas de la empresa. Desde luego, la creciente preocupación por parte de los gerentes para elevar la productividad de sus empresas se ha convertido en un gran reto, particularmente, para el sector extractivo de minerales en Colombia, el cual reclama mayor competitividad en el comercio internacional (Hernández, Marulanda y López, 2014).
Para la construcción de este artículo de investigación, inicialmente, se muestra una descripción detallada de los principales referentes teóricos que fundamentan el tema de investigación. Seguidamente, se encuentra la metodología utilizada, la cual define el tipo de investigación, técnica estadística e indicadores de productividad y financieros, población, fuentes y datos, requeridos para realizar análisis comparativo de las variables con mayor sensibilidad a las variaciones de la productividad de la zona mineraenergética en Colombia; finalmente, se presentan los resultados obtenidos referentes a la clasificación del modelo analizado por medio de la técnica ADM para los años 2010 y 2013 y, finalmente, se presentan las correspondientes conclusiones en consecuencia con el contexto real analizado.
2. Marco teórico
A continuación se presentan los referentes teóricos que han sido objeto de análisis, particularmente, en sectores económicos de investigaciones relacionados, considerando la pertinencia con el tema estudiado. Primeramente, se muestran el comportamiento, resultados y desempeño global del sector extractivo minero, destacando los países y regiones impulsores del auge de este importante sector económico en el contexto internacional. Seguidamente, se describen los resultados y dinámica de este sector económico en Colombia, identificando la trayectoria, jalonamiento e impulso de este sector en beneficio de la economía nacional. En este orden, también se presentan las acepciones de productividad y las diferentes formas de la misma, considerando los múltiples factores con los cuales esta puede ser evaluada. Finalmente, se detalla el desempeño productivo global, analizando la demanda y las variaciones o fluctuaciones en los precios del mercado internacional; como también, los estudios de investigación de medición de la productividad con mayor pertinencia, aplicados en sectores económicos relacionadas en el ámbito internacional. Asimismo, se utiliza como criterio estadístico, por su pertinencia y utilidad, la distancia de Mahalanobis para describir la similitud entre el grupo de variables de las empresas analizadas.
2.1. Producción global sector extractivo minero
Cuando se analiza la producción global de minerales, es innegable que muchos de los países que en la primera década del 2000 alcanzaron importantes niveles de producciones llegaron a esos resultados con la implementación de las políticas que sustentan el desarrollo del sector minero (Martínez y Aguilar, 2012). Países industrializados, entre ellos, Gran Bretaña, China, Estados Unidos y Rusia, con sus políticas económicas de desarrollo del sector mineroenergético, particularmente de materias primas como el hierro, carbón, etc., lograron alcanzar esta importante ventaja competitiva, jalonando crecimiento económico y sostenibilidad global con la producción de estos insumos (Chakhmouradian y Wall, 2012; Reichl, Schatz y Zsak, 2014) (tabla 1).
Tabla 1 Volumen producción minera mundial año 2014

Fuente: tomado de Reichl, Schatz y Zsak (2014
De los datos presentados en la tabla 1, se infiere que más de la mitad de la producción minera mundial se extrae de Asia, específicamente en la región China, país que no solo es el primer productor minero a nivel mundial (4.750.485.692 toneladas a cifras de 2014), sino que es al mismo tiempo el mayor consumidor de minerales del mundo, como se describen recientemente en estudios de aplicación extractiva de la arcilla mineral en China (Zhou, Zhao, Wang, Chen y He, 2016). Otros estudios revelan que países como la Federación Rusa, una importante potencia industrial, e India, país emergente que viene industrializándose en forma sostenida (Vicent, Martínez, López y De Zavala, 2011), aportan significativamente a la producción y consumo de minerales en los mercados globales. En Occidente sobresalen dos países, Estados Unidos que es el segundo mayor productor de minerales en el mundo y Canadá por su fuerte tradición minera, país que desde los inicios del siglo XVIII ha construido su prosperidad económica soportada en esta industria extractiva (Zhang y Liu, 2014). Con relación a la comunidad europea, el Servicio Geológico Británico se refiere a la situación de escasez de la producción minera, la cual viene mostrado una tendencia hacia la baja (61%) desde los inicios de la década de 1990 hasta el año 2014, justificada por la disminución en la demanda interna de la unión europea y entrada de nuevos países oferentes con mayor eficiencia y competitividad en la producción de depósitos minerales (Gillespie, Barnes y Milodowski, 2011). Lo anterior ha causado que la unión europea se encuentre dominada por el suministro externo de materiales y minerales, necesarios para la producción y dinamización de la economía interna (Anderson y Strutt, 2012).
En lo que concierne a la industria de extracción mineraenergética de Oceanía, esta viene mostrando resultados significativos durante sus últimas décadas, al convertirse en la fuerza conductora del jalonamiento de la economía del continente en los tiempos recientes, aportando un crecimiento promedio de 3,6% anual del sector minero de la región (Connolly y Orsmond, 2011). En lo que respecta a Latinoamérica y África, sus volúmenes de producción minera son los más bajos del globo con 6% y 5% de la participación total, respectivamente. En estos dos continentes sobresalen países como Brasil con un aporte aproximado del 36% del total de Latinoamérica, y Suráfrica, con una producción minera aproximada del 33% del total de África (Fan y Bifet, 2013).
2.2. Utilización global minero-energética
China es el mayor consumidor de minerales y compuestos orgánicos en el mundo, sobre todo de hierro, níquel, cobre y cobalto (Ouyang y Fu, 2012; Donoso, 2013); seguido de Japón, Alemania y Estados Unidos (McLellan, Corder, Giurco y Ishihara, 2012). Esta elevada utilización se explica por el alto consumo per cápita de minerales, que para el caso de los Estados Unidos se estima que cada habitante requiere alrededor de 11,3 toneladas métricas de minerales no energéticos al año para mantener y responder a las necesidades de vida, particularmente con el requerimiento de metales como platino, diamante industrial, barita, cobalto, cromo, manganeso, potasio y titanio, seguido de las importaciones de silicio, cinc, plata, cobre, aluminio, entre otros minerales de menor dependencia (Delgado, 2011).
Para Alemania, el consumo individual, según cifras del año 2010, se acercaba a valores cercanos a las 1.100 toneladas de materias primas a lo largo de toda su vida. Casi dos tercios de estos minerales se componen de metales, metales industriales, roca/piedras y tierras. Una parte muy importante de estas materias proviene de países en desarrollo y emergentes como China, Canadá, Brasil, etc. (Duffo, 2011).
2.3. Auge global minero-energético
El llamado boom minero produjo una migración gradual en la producción de minerales hacia varios países emergentes como China, India, Brasil y Rusia, que aportaron más del 40% del crecimiento mundial en el periodo 2006-2010 (Rojas, 2015), el cual impulsó el mejoramiento económico del sector en países emergentes, jalonando la necesidad de creación de grandes multinacionales en el mundo que han desarrollado políticas de sostenimiento a sus inversiones en exploración, buscando poner en explotación yacimientos marginales de mayores costos de extracción, pero rentables ante el aumento de los precios (Nacif, 2015). Estas exploraciones masivas, particularmente de minerales metálicos, representó alrededor del 2% del Producto Interno Bruto total en Latinoamérica en 2013; y en general, la minería aportó el 7% y 6% del Producto Interno Bruto en América Latina y el Caribe para los periodos 2012 y 2014, respectivamente (Unidad de Planeación Minero Energetica-UPME, 2015).
2.4. Dinámica económica zona minera-energética en Colombia
A lo largo de la segunda mitad de la década pasada, la producción minera muestra sus primeros repuntes de crecimiento denotándose su importancia para el desarrollo del sector industrial, convirtiéndose en un dinamizador de agregados económicos como la Inversión Extranjera Directa, las exportaciones, el Producto Interior Bruto, entre otras variables macroeconómicas (Rudas, 2014; Caballero et al., 2013).
En este sentido, se destaca la importancia del sector minero para la economía colombiana, sin embargo, los aportes en regalías se mostraron en promedio discretos para el periodo 2010-2015. No obstante, esta zona minera registró para el periodo 2011-2013 un leve crecimiento del 3,5% en promedio, cifra que permitió oxigenar la economía colombiana, si se tiene en cuenta que esta creció 4,9% en el mismo periodo. Cuando se compara el crecimiento del sector minero durante el primer semestre del año 2013 respecto al mismo periodo del año 2014, se tiene que este sector minero mostró un crecimiento del 4,6% (UPME, 2016). Por otra parte, este repunte en favor de la minería y los hidrocarburos paralelamente significó el deterioro de las actividades productivas de los sectores agrícolas y manufactureros del país, debido a la alta tecnificación del sector extractivo, especialmente de mediana y gran escala (Martínez y Aguilar, 2013).
Este mejoramiento de las actividades del sector impulsó la generación de nuevos puestos de trabajo en el sector minero-energético, alcanzando un crecimiento para la primera década del 2000 de 34,4%, equivalentes a 82.000 empleos. No obstante, este crecimiento marginal representó para el año 2012 alrededor del 11% del producto interno bruto nacional (Salamanca, Leal, Morales y Montes, 2013).
En este sentido, la realidad del sector minero-energético colombiano para los últimos dos años (2015-2016) difiere de lo ocurrido a finales de década del 2000, dado que en la actualidad se encuentra en un ciclo de contracción disminuyendo su participación en la economía colombiana (UPME, 2016), debido principalmente, entre otros factores, a la caída en los precios de los commodities a nivel mundial, huelgas en las empresas del sector carbonífero, demoras en el otorgamiento de licencias ambientales (Ministerio de Minas y Energía, 2010) y a la minería ilegal (Juárez, 2016), contrastando esta con resultados anteriores que mostraban un crecimiento por encima de los sectores agrícola y manufacturero del país.
2.5. Acepciones de productividad
La productividad es comúnmente conocida como la relación entre la medida de las unidades que salen y la medida de los recursos o insumos que entran en un proceso (Gatto, Di Liberto y Petraglia, 2011). Este concepto es considerado relevante para la medición de las actividades económicas de las organizaciones, la mejora de los procesos productivos y particularmente la medición de los objetivos financieros. En este sentido, las organizaciones estratégicamente orientan sus esfuerzos a logro de los objetivos relacionados con la medición de las capacidades tecnológicas, eficiencia, costos, referenciación de procesos productivos y estándar de vida, el cual les permita obtener mayores ventajas competitivas e incremento de salarios de los colaboradores, lo que contribuye a elevar el volumen de la demanda agregada y dinamizar de la economía (Morelos, Fontalvo y Vergara, 2013).
Es así como la productividad es la eficiencia con la que una organización o economía utiliza los recursos humanos, capital, materiales, energía, conocimiento, etc., para producir bienes y servicios. Esta aumenta cuando los productos obtenidos crecen más rápido que los recursos utilizados (Diewert, 2012). Asimismo, la productividad ha sido utilizada como una estrategia para elevar la competitividad de las organizaciones (Jung, Garbarino, Jerusalmi, Durán y Plottier, 2015).
2.6. Medición de la productividad
El cálculo e interpretación de la productividad frecuentemente representan significativos desafíos, especialmente cuando se trata de un sector en específico, y para el caso de investigación, la zona minera-energética no es la excepción (Arancibia, Donoso, Venegas y Cárdenas, 2015). Sin embargo, la medición de la productividad es un procedimiento necesario para el desarrollo y la proyección de las actividades económicas, particularmente del sector minero, es decir, a través de este proceso los gerentes conocedores de los factores impulsores de la actividad extractiva podrán identificar, con base en el desempeño organizacional, cuándo se está generando crecimiento y valor agregado en las operaciones extractivas (Ey, 2014).
En este sentido, son múltiples los factores que influyen en la medición de la productividad y es posible hablar de productividad de capital, de inversión, de maquinaria, de materia prima, recurso humano, entre otras, teniendo en cuenta el efecto que provoca cada insumo en la producción. Es por ello que la productividad puede expresarse como medidas parciales, medidas de múltiples factores o medidas totales (Syverson, 2011; Micheli y Mari, 2014) dependiendo de lo que interese analizar; si es de interés la productividad de una sola entrada, se expresa como medida parcial, mientras que si se considera productividad de un grupo de entradas o la totalidad de ellas, se expresa como medidas de múltiples factores o medidas totales respectivamente (Gal, 2013).
A partir de las diferentes formas de medición de la productividad referenciadas en párrafo anterior, es posible construir una amplia gama de indicadores de productividad en relación con cada una de las áreas de análisis en la organización. Estos sirven de herramienta para medir el desempeño de las empresas y son base fundamental para los objetivos estratégicos y mejoramiento continuo de la misma (Gandhi, Navarro y Rivers, 2013). En este sentido, cabe destacar la pertinencia de la medición de los indicadores de productividad en el sector manufacturero, dado que estos permiten la trazabilidad de los resultados de los procesos, para la mejora de la calidad y desempeño de las actividades productivas (Pjevčević, Vladisavljević, Vukadinović y Teodorović, 2011).
2.7. Desempeño productivo global del sector minero-energético
El aumento en la demanda de metales y minerales en la década del 2000 produjo altos precios, y con ello, el aumento de la rentabilidad de las minas. Así, incrementar los volúmenes de producción se convirtió en la principal prioridad de la industria extractiva (Ponce, 2010), dejando a un lado los objetivos estratégicos de mejoramiento del desempeño productivo definidos durante las décadas de escasez en 1980 y 1990; sin embargo, este sector mostró particularmente cifras récord en relación con la mejora de la productividad del trabajo1 en el periodo 1987-2010 en países como Estados Unidos y China (Morales, 2010). Como resultado de lo anterior, el acelerado auge en la demanda produjo proporcionalmente el incremento marginal de los costos relacionados con la expansión de la producción minera (Comisión Económica para América Latina y el Caribe -CEPAL, 2016).
Los factores impulsores de la demanda obedecieron principalmente a las necesidades de explotación de los yacimientos de recursos marginales de baja productividad y las decisiones de negocio basado en la rentabilidad, en lugar de la productividad (Göbel y Ulloa, 2014). Sin embargo, en lo que respecta al presente y futuro inmediato de la productividad minera-energética, estudios muestran evidencia estadística de una caída del 50% en la productividad en la industria minera durante los últimos 10 años y sostienen que se requiere un cambio completo para rectificarla, en lugar de cambios dirigido a puntos aislados (limitaciones de productividad o cuellos de botella) (Ey, 2014).
2.8. Productividad zona minera-energética mediante análisis discriminante multivariado
Como se ha expresado en párrafos anteriores la productividad es una medida de la relación entre factores de entrada y salida, es decir, esta tiene en cuenta elementos importantes relacionados con los insumos utilizados en los procesos a costos de producción, las tecnologías y las innovaciones, así como también bienes o servicios finales; proceso este que requiere permanente seguimiento y control y así facilitar la mejora de las actividades empresariales, convirtiéndose en un herramienta indispensable para la mejora continua y competitividad de las organizaciones (Pino, Ponce, Avilés y Vallejos, 2015). En este sentido, se resalta la pertinencia del uso de la técnica ADM, dado que esta permite estudiar el comportamiento de las variables que inciden en la productividad y competitividad de las organizaciones, a partir del análisis de los grupos de variables estudiadas y sus correspondientes similitudes o diferencias entre grupos (Morelos, 2016).
En relación con lo anterior, para esta investigación se destaca la utilidad y selección de la técnica estadística introducida por Fisher (1936) en el primer tratamiento moderno de problemas con variables separatorias, dada su pertinencia para evaluar la productividad del grupo de empresas de la zona extractiva minera-energética para los años 2010 y 2013 en Colombia.
En concordancia con lo anterior, la finalidad del ADM es analizar si existen diferencias significativas en relación con el desempeño productivo del conjunto de variables analizadas y, en el caso de que no existan diferencias, definir una nueva función discriminante (Mylonakis y Diacogiannis, 2010). Es por ello que el objetivo básico del análisis discriminante se orienta a la caracterización de los grupos que permitan establecer elementos o variables de diferenciación entre grupos (Hoz, Herrera y Morelos, 2014).
2.9. Distancia de Mahalanobis
Para lograr determinar la similitud entre las variables aleatorias multidimensionales identificadas en el grupo de empresas de la zona minera-energética en Colombia para los años 2010 y 2013, se definió como criterio de selección de las variables que mejor discriminación presentan los grupos poblacionales, analizando la distancia D2 de Mahalanobis, el cual tiene como objetivo maximizar la distancia D2 de Mahalanobis multivalente entre los grupos cualesquiera i y j, como se indica en la ecuación 1:
(1)
Y la variabilidad total representada de la siguiente forma en la ecuación 2:
(2)
Siendo la covarianza total igual a la covarianza dentro de grupos más la covarianza entre grupos, como se muestra en ecuación 3:
(3)
Donde P(Ki) es la distribución de probabilidad que expresa alguna incertidumbre, como se explica a continuación en el teorema de Bayes.
El teorema de Bayes es de gran utilidad para estudios donde se desea conocer, de un grupo de variables definidas, la probabilidad condicional de un evento que ocurrió primero dado lo que ocurrió después (Dávila, Ortiz y Cruz, 2016). De esta manera, las probabilidades a priori de los grupos poblacionales de indicadores de productividad y financieros identificados para los años 2010 y 2013 en la zona extractiva en Colombia serán analizadas a través del teorema de Bayes.
En este sentido, las probabilidades a priori se definen de la siguiente forma como se indica en ecuación 4.
(4)
En el caso donde el número de grupos a clasificar es 2 (i = 2), se obtienen las siguientes probabilidades a priori:
La anterior es considerada como la probabilidad a priori de pertenecer a la población 1. Mientras que la siguiente se refiere al evento a priori de pertenecer a la población 2:
Una vez definidas estas probabilidades se obtienen las siguientes regiones de clasificación:
(5)
(6)
Es decir, se asume que
, como también
Considerando las siguientes regiones de clasificación,
Siendo la función discriminante:
(7)
Para esta investigación se consideró aplicar los métodos de clasificación de datos, con el propósito de caracterizar los grupos de variables utilizados en evaluación de la productividad de la zona minera-energética en Colombia en el periodo 2010 y 2013. Es decir, se identifican esencialmente tres métodos de clasificación para encausar los objetos o individuos a los i grupos de análisis, los cuales se explican a continuación.
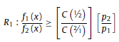
El primero, relaciona el método gráfico, el cual permite realizar presentación del objeto o vector aleatorizado x0 en la nube de punto de los i grupos y en forma visual determinar en qué grupo se ubica.
El segundo, se aplica desarrollando la función discriminante, como se describe en la ecuación 8.
(8)
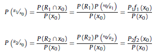
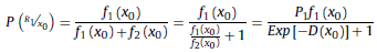
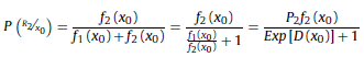
Y el tercer metodo de probabilidad a posteriori es considerado para asignar a cada evento aleatorizado la condiconalidad de la evidencia de las variables que han sido analizadas en el grupo de empresas del sector extractivo en Colombia para el periodo 2010 y 2013. Así pues, se toma la probilidad de clasificar en R1 un vector observado x0 mediante la medida de probabilidad condicional de la siguiente forma:
Donde se tiene que la probabilidad condicional está definida por la ecuación 9.
En el caso de dos poblaciones se tiene:
Donde la probabilidad total es mostrada en ecuación 10.
Seleccionadas las ecuaciones 9 y 10 se contruyen las siguientes probabilidades condicionales, como se observa en las ecuaciones 11 y 12.
De donde se tiene que la ecuación 13 está dada por:
Es decir, el vector aleatorio x0 clasifica en la primera región R1, de otra manera en R2.
3. Metodología
Esta investigación fue abordada bajo la perspectiva holística del grupo de empresas de la zona extractiva en Colombia, dado que se deseaba conocer la integralidad, variabilidad de caracteres, complejidad y naturaleza de este grupo de empresas para los años 2010 y 2013; y de esta forma, explicar las razones de multicausalidad de los indicadores de productividad y su incidencia en el desempeño de los indicadores financieros.
Asimismo, esta investigación fue definida dentro de los tipos descriptiva y cuantitativa, toda vez que se definieron y argumentaron las variables analizando sus correlaciones, confiabilidad y validez estadística. Posteriormente, se aplicó la técnica estadística ADM, considerando los indicadores de productividad y financieros definidos (tabla 2), el cual permitió evaluar la clasificación de las empresas del sector de extracción de minerales en Colombia para los años 2010 y 2013. Para determinar la efectividad de clasificación del modelo, se evaluó el comportamiento que presentaron los indicadores de productividad y financieros, con el propósito de identificar si estos presentaron diferencias significativas dentro del grupo empresas del sector minero- energética evaluadas en Colombia para los años 2010 y 2013, y la incidencia de estos de indicadores de productividad en el desempeño financiero y crecimiento del sector empresarial objeto de análisis.
Tabla 2 Indicadores de productividad y financieros definidos

Fuente: elaboración propia.
Los indicadores de productividad y financieros utilizados fueron calculados a partir de los estados financieros de los años 2010 y 2013, presentados por las empresas del sector extracción de minerales en la Superintendencia Sociedades en Colombia. Para el caso de los indicadores, tanto de productividad como financieros, que no presentaron un comportamiento normal de sus variables, se transformaron a variables normales utilizando como apoyo el software estadístico Minitab 17, el cual permitió la normalización de los indicadores de productividad y financieros resultantes que se muestran en la tabla 3; siendo estos indicadores finales los utilizados en el proceso de evaluación de sector de extracción de minerales en Colombia para los años 2010 y 2013.
Tabla 3 Indicadores resultantes de productividad y financieros normalizados

Fuente: elaboración propia.
La población identificada está definida por el grupo de las 31 empresas perteneciente a la zona minero-enérgica en Colombia, que tuvieron continuidad en la presentación de los estados financieros para los años 2010 y 2013, e identificadas según la Clasificación Internacional Industrial Uniforme versión 3.
Como fuentes de información se consideraron los boletines estadísticos del Sistema de Información y Riesgo Empresarial de la Superintendencia de Sociedades de Colombia, de las empresas seleccionadas que proyectaron sus estados financieros para los años 2010 y 2013; de los cuales se tomaron los diferentes rubros requeridos para el diseño de los indicadores de productividad y financieros de las empresas del sector de extracción de minerales en Colombia.
4. Resultados
Para la evaluación de los indicadores de productividad y financieros de las 31 empresas de la zona extractiva minera-energética en Colombia, se utilizó la técnica paramétrica multivariada de Análisis Discriminante, mediante el software SPSS statistic 20, modelo que permitió evaluar el comportamiento de los estadísticos y establecer las funciones discriminantes asociadas a las variables estudiadas. La aplicación de esta técnica fue consistente para conocer el grado y variabilidad de los diferentes indicadores de productividad y financieros establecidos a priori, como también para identificar las diferencias significativas mostradas por los grupo entre sí, para los años seleccionados (2010 y 2013).
Seguidamente, se procedió a evaluar los supuestos requeridos para la aplicación del ADM, con el propósito de definir la función objetivo lineal y determinar la mejor clasificación de los indicadores de productividad y financieros seleccionados en la zona de extracción de minerales; igualmente, se calculó la precisión del modelo para determinar los valores discriminantes y poder evaluar el comportamiento predictivo futuro de las variables o indicadores perteneciente a la zona minera-energética en Colombia. Finalmente, considerando estadísticos como la media y desviación estándar, se analizó la variabilidad de los indicadores de productividad y financieros en los años evaluados 2010 y 2013.
4.1. Verificación de los supuestos
Para el análisis de verificación de los supuestos fue necesario realizar la prueba de contraste de normalidad de los datos requerida en la aplicación de la técnica de análisis discriminante, como se describe a continuación.
4.1.1. Distribución normal multivariante
Para el grupo de 31 empresas del sector de extractivo mineroenergético consideradas en el estudio para los años 2010 y 2013, se tiene que la normalidad univariante contribuye, sin embargo, esta no es condición suficiente de la normalidad multivariante, es decir, los datos presentan una comprobación de la normalidad por separado de cada una de las variables analizadas, cumpliendo con el supuesto de multinormalidad de la población de estudio. El estadístico utilizado para la comprobación de la normalidad de los datos fue validado con la realización de la prueba de Shapiro y Wilk, la cual es recomendada por su efectividad, particularmente, en los casos donde el número de observaciones analizadas es menor a 50, y donde la hipótesis estadística está dada por las siguientes expresiones:
Hipótesis nula (Ho): los datos analizados siguen una distribución normal.
Hipótesis alternativa (H1): los datos analizados no siguen una distribución normal.
Si el estadístico calculado es mayor que el nivel de significación (Sig.=0,05), se acepta la hipótesis nula y se concluye que los datos siguen una distribución normal.
Las pruebas de normalidad realizadas se muestran en las tablas 4 y 5, para cada uno de los indicadores de productividad y financieros de los años 2010 y 2013 del sector extractivo analizados; a partir de las cuales se puede observar que se cumple el supuesto de normalidad y multinormalidad para todos los casos.
Tabla 4 Prueba de Shapiro y Wilk comprobación de normalidad índices de productividad y financieros año 2010

Fuente: elaboración propia con base en información obtenida de aplicación de técnica ADM.

Fuente: elaboración propia con base en información obtenida de aplicación de técnica ADM.
Cabe destacar en la aplicación del análisis discriminante la robustez de esta técnica en relación con el tamaño de la muestra utilizado (mayor a 20) y características similares entre grupos, con el propósito de que el modelo sea lo suficientemente válido ante la violación del supuesto de multinormalidad, lo que se cumple y valida esta investigación, dado que el grupo de empresas seleccionadas correspondió a 31 empresas de la zona extractiva minera-energética en Colombia.
4.1.2. Homogeneidad de matrices varianza-covarianza
El cumplimiento de este supuesto en la evaluación de los indicadores de productividad y financieros de la zona minero-energética, permite a través de la prueba test M de Box, determinar la hipótesis nula de que las matrices de varianza-covarianza son iguales, es decir, que no existe diferencias significativas entre los grupos de variables. La tabla 6 muestra los resultados de la prueba M de Box, donde se puede observar que el estadístico de contraste M= 104,154 (mayor al nivel de significación=0,05) para un F de Snedecor aproximado de 6,319 y un p-valor= 0,000 (significación), permite rechazar la hipótesis nula de que las matrices varianza-covarianza poblacionales de las empresas del sector de extracción de minerales para los años 2010 y 2013 son iguales.
Tabla 6 Resultados prueba M de Box

Fuente: elaboración propia con base en información obtenida de aplicación de técnica ADM.
En contraste, el estadístico Lambda de Wilk (λ) muestra la evaluación de la proporción de varianza total de las puntuaciones discriminantes que no está explicada por las diferencias entre grupos, y cuya hipótesis nula hace referencia a la no existencia de diferencias significativas en las puntuaciones otorgadas a las diferentes variables independientes del grupo de 31 empresas pertenecientes a la zona de extracción de minerales evaluadas en los años 2010 y 2013. En este sentido, un valor de λ alto (0,982) y un pvalor = 0,000 (significación), permite rechazar la hipótesis nula de que los grupos poblacionales de empresas comparadas tienen promedios iguales en sus variables discriminantes y, en consecuencia, se acepta la diferencia entre grupos (tabla 7).

Fuente: elaboración propia con base en información obtenida de aplicación de técnica ADM.
4.1.3. Linealidad, multicolinealidad y singularidad
La verificación en esta investigación de los supuestos de linealidad, multicolinealidad y singularidad no serán considerados, teniendo en cuenta que en la aplicación y construcción del modelo lineal de clasificación se utilizó el método paso a paso o por etapas, el cual permite utilizar el criterio de tolerancias en la selección de las variables discriminantes determinadas.
4.1.4. Determinación de variables con mayor discriminación
Para realizar la selección de las variables que presentaron mejor clasificación entre los grupos de indicadores de productividad y financieros en la zona extractiva minera-energética en Colombia, se utilizó como criterio la medida de distancia D2 de Mahalanobis para determinar la similitud entre las variables multidimensionales, consideradas en el estudio para los años 2010 y 2013, el cual permitió definir el coeficiente de la función discriminante que se muestra en la tabla 8 y en ecuaciones 14 y 15.
Tabla 8 Coeficientes de la función de clasificación años 2010 y 2013

Fuente: elaboración propia con base en información obtenida de aplicación de técnica ADM.
A partir de la construcción de las ecuaciones 14 y 15, que definieron las funciones discriminantes, se pudo establecer la predicción del comportamiento del modelo de clasificación para los diferentes indicadores de productividad y financieros de las empresas seleccionadas del sector minero-energético para los años 2010 y 2013 en Colombia. Igualmente, los indicadores de las funciones discriminantes de los años de análisis permiten identificar en cada una de esta, la importancia relativa de sus magnitudes respecto a las variables utilizadas, es decir, al considerar el mayor valor absoluto de los aij, se tiene que existe una fuerte correlación entre la variable Xj (determinada por cada indicador) y la función Zi (determinada por cada grupo), en relación con el resto de las variables.
Con relación a los resultados obtenidos en la matriz de clasificación (tabla 9), que muestra el resumen de la clasificación de forma correcta e incorrecta sobre el total de las empresas del sector de extracción de minerales seleccionadas para los periodos 2010 y 2013, se tiene que de las 31 empresas tomadas para ambos periodos (equivalentes al 100%), solo 15 y 19 empresas para los años 2010 y 2013, respectivamente, presentaron mejores diferencias significativas entre sus grupos poblacionales (con errores, en consecuencia, del 51,6% y 38,7%, para los años 2010 y 2013, respectivamente). En total, este modelo discriminante presentó una clasificación correcta del 54,8% de los casos, considerada buena para la validación del modelo.
Tabla 9 Resultados de la clasificación

Fuente: elaboración propia con base en información obtenida de aplicación de técnica ADM.
Asimismo, se presentan las figuras 1 y 2 con los histogramas correspondientes a los años 2010 y 2013, que muestran las puntuaciones discriminantes relativas de cada periodo por separado, el número de empresas (N= 31), así como sus medias o centroides (años 2010 y 2013 = 0,13) y las desviaciones típicas (año 2010= 1,234; año 2013= 0,690); estos estadísticos denotan el comportamiento normal de las variables e identificación de las características significativas entre sí de dichas variables para los años analizados 2010 y 2013.
Figura 1 Función discriminante canónica 1 año 2010.
Fuente: tomado de resultados aplicación de técnica ADM
Figura 2 Función discriminante canónica 2 año 2013.
Fuente: tomado de resultados aplicación de técnica ADM
4.2. Análisis de la productividad de las empresas en zona extractiva minera-energética en Colombia
Como complemento de la verificación del cumplimiento de los supuestos en la aplicación de la técnica de ADM al grupo de indicadores de productividad y financieros de las empresas de la zona extractiva minera-energética en Colombia, se revisaron los estadísticos descriptivos como la media y desviación típica, los cuales permitieron confirmar dentro del conjunto de variables independientes determinadas, la existencia de diferencias poblacionales significativas en el grupo de empresas del sector de extracción de minerales para los años 2010 y 2013. Lo anterior se observa en la tabla 10, con el comportamiento decreciente del año 2010 al año 2013 de los indicadores razón utilidad operacional y valor agregado (IP2) y razón utilidad neta y capital de trabajo (IP6), lo que derivó que las empresas de la zona extractiva no mostraron buenos desempeños operacionales debido a factores relacionados con el decrecimiento de la economía, la débil planeación para el desarrollo de nuevos proyectos mineros extractivos, las actividades ilegales y de orden público, como también, exiguas mejoras en la aplicación y desarrollo de innovaciones tecnológicas en las organizaciones, que impulsaron la agregación de valor en sus procesos productivos. En este sentido, las empresas del sector mostraron una discreta gestión en la mejora de las operaciones y de las inversiones en capital de trabajo. Con relación al comportamiento lineal negativo presentado por el indicador financiero margen bruto (IF1) (tabla 10), este muestra el nulo impacto y baja correlación de las capacidades productivas -bajo impulso de crecimiento en ventas; incremento de los costos operativos- del sector para incidir en el mejoramiento y crecimiento de rendimientos financieros de las empresas de la zona minera-energética en Colombia.
Tabla 10 Medias de los indicadores de productividad y financieros años 2010 y 2013

Fuente: elaboración propia con base en información obtenida de aplicación técnica ADM.
Seguidamente, en los estadísticos de la tabla 10, se encontró que los indicadores razón utilidad operacional y valor agregado (IP2) y razón utilidad neta y capital de trabajo (IP6), mostraron disminuciones en las actividades de naturaleza propia de la zona extractiva, como resultado, principalmente, por el incremento en los costos por servicios prestados -alquiler de maquinaria pesada, servicios técnicos, etc. -, incremento en los costos de insumos requeridos y las bajas inversiones en capital de trabajo en los proceso de extracción de minerales. Lo anterior, deriva y explica las exiguas capacidades del sector para generar riqueza, y, por consiguiente, la baja capacidad para reinvertir en la mejora de los procesos operativos y desempeño de la zona minera-energética en el país.
De otro lado, se puede analizar de las funciones discriminantes resultantes de la tabla 8 que los indicadores IF1, IP3 e IP5 presentaron diferencias significativas, lo que explica la variación comportamental de año 2010 al año 2013 en las razones margen bruto, utilidad operacional/valor agregado y utilidad neta/capital de trabajo; no obstante, el indicador IF1 fue el único que presentó mejorías en su clasificación dentro del grupo de indicadores de productividad y financieros evaluados.
Asimismo, al revisar el estadístico de tendencia central en la tabla 10, se observa que estos indicadores en su integralidad no presentaron un comportamiento consistente para los años de evaluación 2010 y 2013, resultados que evidencian el bajo desempeño de los sistemas productivos, así como la proporcional incidencia en los rubros financieros utilidad operacional y neta en las empresas de la zona extractiva minero-energética en Colombia.
Cabe resaltar que investigaciones de otros autores que han estudiado el concepto de productividad de las organizaciones (Fontalvo, 2014; De la Hoz, Herrera y Morelos, 2014; Fontalvo, De la Hoz y Vergara, 2012; Fontalvo, Morelos y De La Hoz, 2012; Fontalvo, Morelos y Mendoza, 2013; Fontalvo, 2016), han demostrado la pertinencia y efectividad de la técnica de análisis discriminante, para estudios relacionados con la evaluación de los indicadores de productividad y financieros de las empresas, destacando pertinencia de la técnica en relación con su utilidad para el análisis de los resultados hallados y la consiguiente acertada toma de decisiones por parte los empresarios y las autoridades gubernamentales.
En este sentido, esta investigación podría ser útil como referente teórico para futuras investigaciones en diferentes sectores económicos, particularmente para evaluar el desempeño de los indicadores de productividad y financieros de las empresas, contribuyendo así, al análisis, contrastación y diseño de los objetivos estratégicos por parte de la gerencia a fin de lograr mayores ventajas competitivas, premisa que es coherente con los resultados y planteamientos (Montoya, Montoya y Castellanos, 2010), al explicar la relevancia que tiene para la zona extractiva aunar esfuerzos hacia la integración empresarial como alternativa para coadyuvar el desarrollo y sostenibilidad del mismo.
5. Conclusiones
Considerando los resultados obtenidos en la aplicación de la técnica AD, que permitió evaluar la significación y clasificación entre grupos de variables de indicadores de productividad y financieros de sector extractivo de minerales de Colombia, se tiene que el modelo presentó una precisión para el año 2010 de 48,4% y para el año 2013 de 61,3%, para una clasificación total correcta del 54,8% de los casos, lo que explica que de las 31 empresas analizadas, solo 15 y 19 empresas, para los años 2010 y 2013, respectivamente, presentaron diferencias significativas entre sus grupos poblacionales permitiendo contrastar las valoraciones inherentes a sus actividades productivas.
Con el modelo discriminante construido en esta investigación se logró definir, con los coeficientes de clasificación, la función objetivo para el grupo de las 31 empresas de la zona minera-energética para los años 2010 y 2013, con el cual se pudo establecer la predicción de variabilidad del modelo de indicadores de productividad y financieros estudiados.
Con relación al bajo desempeño productivo y financiero identificado en análisis de las medias de las empresas de zona extractiva, se tiene que, si bien el modelo mostró que existen diferencias significativas entre el grupo de indicadores de productividad evaluados, estos no presentan validez estadística al incidir positivamente en el grupo de indicadores financieros y, por consiguiente, en el desarrollo de las capacidades productivas de la zona extractiva en Colombia, es decir, se destaca la pertinencia del modelo AD desarrollado, no obstante, los resultados obtenidos en el grupo de indicadores productividad y financieros seleccionados se muestren a favor o en contra cuando estos se contrastan con la realidad del sector de la zona minera-energética.
Como extensión de esta investigación se propone desarrollar otros estudios en el sector extractivo, con los cuales se puedan analizar y evaluar indicadores de productividad y financieros adicionales que permitan conocer resultados complementarios a los encontrados en este estudio, de manera que se cuente con mayores elementos de juico para analizar la incidencia de estos indicadores en el mejoramiento productivo y financiero de las empresas del zona minero-energética.
Conflicto de intereses
Los autores declaran no tener ningún conflicto de intereses.
Agradecimientos
Los autores agradecen a la Universidad de Cartagena, la Superintendencia de Sociedades de Colombia y la Cámara de Comercio de Bogotá que coadyuvaron con sus invaluables recursos para el logro de esta investigación.
Notas
1 La productividad del trabajo se mide a través del cociente del Producto Interno Bruto y el número de horas trabajadas.
Bibliografía
Anderson, K. y Strutt, A. (2012). The changing geography of world trade: Projections to 2030. Journal of Asian Economics, 23(4), 303-323. http://dx.doi.org/10.1016/j.asieco.2012.02.001
Arancibia, C. S., Donoso, P. M., Venegas, C. R. y Cárdenas, E. C. (2015). Identificación de factores clave en la cultura de innovación: El caso de la mediana minería en Chile. Journal of technology management & innovation, 10(1), 132-145.
Caballero, K., Espitia, J., Fierro, J., Garay, J., Guerrero, A., Mena, J., et al. (2013). Minería en Colombia: Institucionalidad y territorio, paradojas y conflictos. Contraloría General de La República, 2, 7-341. http://dx.doi.org/10.1017/CBO9781107415324.004
Comisión Económica para América Latina y el Caribe -CEPAL. (2016). La inversión extranjera directa en AL y el Caribe 2016. Informe LC/G.;1; 2680-P. [consultado 15 Feb 2016]. Disponible en: Disponible en: http://aplicacionesbiblioteca.udea.edu.co:2056/servlet/articulo?codigo=3997306.
Chakhmouradian, A. R. y Wall, F. (2012). Rare earth elements: Minerals, mines, magnets (and more). Elements, 8(5), 333-340. http://dx.doi.org/10.2113/gselements.8.5.333
Connolly, E. y Orsmond, D. (2011). The Mining Industry: From Bust to Boom. In The Australian Economy in the 2000s, 1-55. [consultado 25 Nov 2015]. Disponible en: Disponible en: http://www.rba.gov.au/publications/confs/2011/pdf/connolly-orsmond.pdf.
Dávila, G., Ortiz, F. y Cruz, F. (2016). Cálculo del valor en riesgo operacional mediante redes bayesianas para una empresa financiera. Contaduria Y Administracion, 61(1), 176-201. http://dx.doi.org/10.1016/j.cya.2015.09.009
De la Fuente, S. (2011). Análisis Discriminante. Facultad de Ciencias Económicas y Empresariales, 45. [consultado 10 Oct 2015]. Disponible en: http://www.fuenterrebollo.com/Economicas/econometria/segmentacion/discriminante/analisis-discriminante.pdf.
De la Hoz, Herrera, T. J. y Morelos, J. (2014). Evaluación del comportamiento de los indicadores de productividad y rentabilidad financiera del sector petróleo y gas en Colombia mediante el análisis discriminante. Contaduría y Administración, 59(4), 167-191. http://dx.doi.org/10.1016/S0186-1042(14)70159-7
Del Gatto, M., di Liberto, A. y Petraglia, C. (2011). Measuring productivity. Journal of Economic Surveys, 25(5), 952-1008. http://dx.doi.org/10.1111/j.1467-6419.2009.00620.x
Delgado, R. G. C. (2011). La gran minería en América Latina, impactos e implicaciones. Acta Sociológica, 1(54.), 17-47.
Diewert, W. E. (2012). The measurement of productivity in the nonmarket sector. Journal of Productivity Analysis, 37(3), 217-229. http://dx.doi.org/10.1007/s11123-011-0247-x
Donoso, M. (2013). El mercado del cobre a nivel mundial: evolución, riesgos, características y potencialidades futuras. Revista Chilena de Ingeniería, 21, 248-261. http://dx.doi.org/10.4067/S0718-33052013000200008
Duffo, G. (2011). Materiales y materias primas. Materiales y Materias Primas, 8(1), 1-43, http://doi.org/789.C1229ACE.
Ey. (2014). Productivity in mining. Ey.Com, 1(1), 1-8.
Fan, W. y Bifet, A. (2013). Mining Big Data: Current status and forecast to the future. ACM SIGKDD Explorations Newsletter, 14(2), 1-5. http://dx.doi.org/10.1145/2481244.2481246
Fisher, R. A. (1936). The use of multiple measurements in taxonomic problems. Annals of human genetics, 7(2), 179-188.
Fontalvo, T. J. (2014). Aplicación de análisis discriminante para evaluar la productividad como resultado de la certificación BASC en las empresas de la ciudad de Cartagena. Contaduría y Administración, 59(1), 43-62. http://dx.doi.org/10.1016/S0186-1042(14)71243-4
Fontalvo, T. J., Morelos, J. y de La Hoz, E. (2012). Aplicación de análisis discriminante para evaluar el comportamiento de los indicadores financieros en las empresas del sector carbón en Colombia. Entramado, 8(2), 64-73.
Fontalvo, T. J. (2016). Análisis de la productividad para las empresas certificadas y no certificadas en la Coalición Empresarial Anti-Contrabando (CEAC) en la ciudad de Cartagena. Colombia. Ingeniare, 24(1), 113-123. http://dx.doi.org/10.4067/S0718-33052016000100011
Fontalvo, T. J., Morelos, G. J. y Mendoza, M. A. (2013). Aplicación de análisis discriminante en la liquidez y rentabilidad de las empresas certificadas en bas en pereira-colombia. Revista Entornos, 26, 213-219.
Fontalvo, T. J., de la Hoz, E. y Vergara, J. (2012). Aplicación de análisis discriminante para evaluar el mejoramiento de los indicadores financieros en las empresas del sector alimento de Barranquilla-Colombia. Ingeniare. Revista Chilena de Ingeniería, 20(3), 320-330. http://dx.doi.org/10.4067/S0718-33052012000300006
Gal, P.N. (2013). Measuring Total Factor Productivity at the Firm Level using OECD-ORBIS. OECD Publishing, OECD Economics Department Working Papers: 1049 [consultado 20 Nov 2015]. Disponible en: Disponible en: http://doi.org/http://dx.doi.org/10.1787/5k46dsb25ls6-en .
Gandhi, A., Navarro, S. y Rivers, D. (2013). On the identification of production functions: How heterogeneous is productivity? Mimeo, 1(1), 1-76.
Gillespie, M. R., Barnes, R. P. y Milodowski, A. E. (2011). British Geological Survey scheme for classifying discontinuities and filings. British Geological Survey, 1(1), 1-56.
Göbel, B. y Ulloa, A. (2014). Colombia y el extractivismo en América Latina. Extractivismo minero en Colombia y América Latina, 1(1), 15-33.
Hernández, A., Marulanda, C. E. y López, M. (2014). Análisis de capacidades de gestión del conocimiento para la competitividad de PYMES en Colombia. Informacion Tecnologica, 25(2), 111-122. http://dx.doi.org/10.4067/S0718-07642014000200013
Juárez, F. (2016). La minería ilegal en Colombia: un conflicto de narratives. Illegal Mining in Colombia: A Conflict of Narratives, 16(1), 135-146.
Jung, A., Garbarino, P., Jerusalmi, C., Durán, C. y Plottier, C. (2015). Un aporte a los procesos de construcción competitiva basados en clusters. Cuaderno de Economía, 1, 59-74.
Nacif, F. (2015). Un Estado a la medida del extractivismo Las políticas de la ''Minería Sustentable'' impulsadas en América Latina desde 1990. Revista Integra Educativa, 8(3), 125-145.
Martínez, A. y Aguilar, T. (2013). Estudio Sobre Los Impactos Socio-Económicos Del Sector Minero En Colombia: Encadenamientos Sectoriales. Cuadernos Fedesarrollo, 47, 1-95.
Martínez, A. y Aguilar, T. (2012). Impacto socioeconómico de la Minería en Colombia. Sector de Minería a Gran Escala. [consultado 13 Sep 2016]. Disponible en: Disponible en: http://www.fedesarrollo.org.co/wp-content/uploads/2011/08/Impactosocioecon%C3%B3mico-de-la-miner%C3%ADa-en-Colombia-Informe_Impacto_de_la_miner%C3%ADa_Final-26-abril.pdf .
McLellan, B. C., Corder, G. D., Giurco, D. P. y Ishihara, K. N. (2012). Renewable energy in the minerals industry: a review of global potential. Journal of Cleaner Production, 32, 32-44. http://dx.doi.org/10.1016/j.jclepro.2012.03.016
Micheli, P. y Mari, L. (2014). The theory and practice of performance measurement. Management Accounting Research, 25(2), 147-156. http://dx.doi.org/10.1016/j.mar.2013.07.005
Ministerio de Minas y Energía. (2010). Anuario estadístico minero colombiano. Simco, 88-94. http://dx.doi.org/10.1017/CBO9781107415324.004
Mohr, S., Somers, K., Swartz, S. y Vanthournout, H. (2012). Manufacturing resource productivity. McKinsey Quarterly, 8. [consultado 14 Jul 2016]. Disponible en: Disponible en: http://www.mckinsey.com/insights/sustainability/manufacturing resourceproductivity .
Molano, C. G. y Campo, J. L. M. (2014). Gerencia estratégica e innovación empresarial: referentes conceptuales. Dimensión Empresarial, 12(2), 107-116.
Montoya, A., Montoya, I. y Castellanos, O. (2010). Situación de la competitividad de las Pyme en Colombia: elementos actuales y retos Current competitiveness of Colombian SMEs: determining factors and future challenges. Agronomía Colombiana, 28(1), 107-117. Disponible en: http://doi.org/0.1108/00251740310495568.
Morales, J. (2010). Inversión extranjera directa y desarrollo en América Latina. Problemas Del Desarrollo, 41(163), 141-156.
Morelos, G. J. (2016). Análisis de la variación de la eficiencia en la producción de biocombustibles en América Latina. Estudios Gerenciales, 32(139), 120-126.
Morelos, J., Fontalvo, T. J. y Vergara, J. C. (2013). Incidencia de la certificación ISO 9001 en los indicadores de productividad y utilidad financiera de empresas de la zona industrial de Mamonal en Cartagena. Estudios Gerenciales, 29(126), 99-109.
Mylonakis, J. y Diacogiannis, G. (2010). Evaluating the likelihood of using linear discriminant analysis as a commercial bank card owners credit scoring model. International Business Research, 3(2), 1-9.
Ouyang, P. y Fu, S. (2012). Economic growth, local industrial development and inter-regional spillovers from foreign direct investment: Evidence from China. China Economic Review, 23(2), 445-460. http://dx.doi.org/10.1016/j.chieco.2012.03.005
Pino, P., Ponce, M., Avilés, C. y Vallejos, Ó. (2015). Mejoramiento de la productividad en una industria maderera usando incentivo remunerativo. Maderas, Ciencia y Tecnología, 17(1), 1-12. http://dx.doi.org/10.4067/s0718-221x2015005000012
Pjevčević, D., Vladisavljević, I., Vukadinović, K. y Teodorović, D. (2011). Application of DEA to the analysis of AGV fleet operations in a port container terminal. Procedia - Social and Behavioral Sciences, 20, 816-825. http://dx.doi.org/10.1016/j.sbspro.2011.08.090
Ponce, Á. (2010). Panorama del sector minero. Upme, 59(1), 1- 42. [consultado 14 Jul 2016]. Disponible en: Disponible en: http://www.simco.gov.co/linkClick.aspx?fileticket=SW5htFa4evE=&tabid=289&mid=1438 .
Reichl, C., Schatz, M. y Zsak, G. (2014). World mining data. Minerals Production International Organizing Committee for the World Mining Congresses, 32(1), 1-261.
Rojas, D. M. (2015). The andean region in the geopolitics of strategic resources. Análisis Político, 28(83), 88-107.
Rudas, G. (2014). La minería de carbón a gran escala en Colombia: impactos económicos, sociales, laborales, ambientales y territoriales. Revista Análisis, 1(1), 1-68.
Salamanca, J., Leal, M. C., Morales, J. F. y Montes, R. E. N. (2013). Minería en Colombia: Fundamentos para superar el modelo extractivista. Contraloría General de la República.
Syverson, C. (2011). What determines productivity? Journal of Economic Literature, 49(2), 326-365. http://dx.doi.org/10.1257/jel.49.2.326
Unidad de Planeación Minero Energetica-UPME. (2015). Plan Energetico Nacional Colombia: Ideario Energético 2050. Unidad de Planeación Minero Energética, Republica de Colombia, 184. [consultado 23 Nov 2015]. Disponible en: Disponible en: http://www.upme.gov.co/Docs/PEN/PENIdearioEnergetico2050.pdf .
UPME. (2016). Balance Minero Energético 2010. [consultado 17 Sep 2016]. Disponible en: Disponible en: http://www.upme.gov.co/GeneradorConsultas/ConsultaBalance.aspx?IdModulo=3 .
Van, J. C. y Stoeldraijer, L. (2011). Age, wage and productivity in Dutch manufacturing. Economist, 159(2), 113-137. http://dx.doi.org/10.1007/s10645-011-9159-4
Vicent, J. M., Martínez, M. I., López, J. A. y de Zavala, I. (2011). Impacto medioambiental de la minería y la metalurgia del cobre durante la Edad del Bronce en Kargaly (región de Orenburgo Rusia). Trabajos de Prehistoria, 67(2), 511-544. http://dx.doi.org/10.3989/tp.2010.10054
Wang, Z. y Feng, C. (2015). A performance evaluation of the energy, environmental, and economic efficiency and productivity in China: an application of global data envelopment analysis. Applied Energy, 147, 617-626.
Zhang, L. y Liu, B. (2014). Aspect and entity extraction for opinion mining. Data Mining and Knowledge Discovery for Big Data, 1(1), 1-40. http://dx.doi.org/10.1007/978-3-642-40837-3
Zhou, C. H., Zhao, L. Z., Wang, A. Q., Chen, T. H. y He, H. P. (2016). Current fundamental and applied research into clay minerals in China. Applied Clay Science., 119(1), 3-7. http://dx.doi.org/10.1016/j.clay.2015.07.043