EL PAPEL DE LOS COSTES DE TRANSACCION EN LA FORMACION DE CONVENCIONES
John James Mora
Economista Universidad del Valle. Maestría en Economía Ambiental, Universidad Autónoma de Madrid. Jefe del Departamento de Economía, Universidad Icesi. e-mail:jjmora@icesi.edu.co
RESUMEN
Este ensayo discute la convención a partir de la dinámica de réplica. La coordinación surge a través del concepto de eficiencia explicando por qué los costes de transacción son fundamentales en las decisiones de los agentes. Cuando los agentes siguen dinámicas de réplica existe una serie de reglas "heredadas" que proveen la experiencia que los jugadores necesitan para alcanzar la coordinación. De esta forma la convención será una estrategia evolutivamente estable.
ABSTRACT
This paper discusses the convention through replicator dynamics. The coordination arise due the efficient concept explain because the transaction cost is fundamental in the agent decision. The agent follow replicator dynamics and heritage rules that provide the necessary experience for solve the coordination problem.
Palabras Claves: Convenciones, costes de transacción, juegos evolutivos, EEE, mutación.
JEL Classification: c71, c79.
INTRODUCCION
Dos conductores conducen en sentido contrario. Con el fin de poder pasar al otro lado deberán tomar la decisión de conducir a la izquierda o a la derecha. Aunque cualquier decisión es igual en términos de las probabilidades, los conductores eligen conducir por la derecha1. Dos individuos deciden encontrarse en el centro de la ciudad de Santiago de Cali (Colombia), cualquier lugar tiene la misma probabilidad para dicho encuentro. Independiente de donde vivan, ya sea en el norte o en el sur, ellos terminan encontrándose en la iglesia la Ermita. En Argentina cuando alguien desea vender un coche coloca encima un tarro2.
¿Qué tienen de común los anteriores ejemplos? Que todos son expresiones de una convención. Una convención es una regularidad en el comportamiento entre los miembros de una comunidad en una situación recurrente que es una costumbre esperada y mutuamente consistente [Lewis (1969)].
El principal punto de discusión con respecto a la convención consiste en cómo alcanzar la coordinación en torno a un equilibrio. De hecho, la coordinación implica que las expectativas y comportamientos trabajen para seleccionar uno de n equilibrios3. Para Schelling (1960) los agentes pondrán más atención a un equilibrio cuando éste es más conspicuo que los otros, en lo que se conoce también como puntos focales. Harsanyi y Selten (1988) parten de que dados dos equilibrios uno dominará débilmente en riesgo. Finalmente para Young (1992, 1993, 1995) las expectativas convergen a un equilibrio a través de efectos de retroalimentación positivos, esto significa que juegos pasados a través de la retroalimentación tienen efectos sobre el comportamiento de aquellos que juegan el juego ahora debido a que las personas en el juego tienen en cuenta sus decisiones anteriores. De esta forma, un equilibrio se alcanza ya que la dinámica del proceso lo selecciona4. La solución que apunta Young (1993) consiste en usar dinámicas estocásticamente estables5 y un resultado se obtiene cuando hay dominio en riesgo en el sentido de Harsanyi y Selten (1988). Así una convención es estocásticamente estable si domina en riesgo a una convención rival6. Finalmente Van Huyck, Battalio y Rankin (1996) reportan resultados de un experimento de coordinación en el cual existen convenciones basadas en etiquetas y en poblaciones, encontrando que emergen convenciones en comunidades con una población y etiquetas.
Si las expectativas convergen a un equilibrio, una forma de explicar este evento puede ser a través de la imitación: Los agentes en un juego de coordinación tienden a imitar el comportamiento de otros agentes, ya que imitar disminuye los costes de transacción. De esta forma se parte de que la experiencia se hereda a través de imitar a las "generaciones" anteriores. Este punto es de crucial importancia: si las convenciones son resultado del comportamiento de una población entonces los nuevos jugadores, que reciben información de los viejos jugadores, deberán adoptar la mejor estrategia que usaron jugadores anteriores7. Así, la imitación explicaría el proceso de elección entre poblaciones que participan en un juego.
Imitar el comportamiento es eficiente siempre y cuando los beneficios derivados de imitar dicho comportamiento sean superiores a los costes de transacción en que se incurre cuando se elige dicha estrategia. Entonces, revisar en cada momento la diferencia en los pagos de las estrategias puras puede ayudar a establecer qué proporción de agentes ha usado dicha estrategia. Revisando en cada momento esta diferencia, los jugadores se darán cuenta cuál estrategia será un comportamiento esperado.
De esta forma dominará la convención en la cual sean menores los costes de transacción y éstos aumentarán o disminuirán cuanto más agentes decidan usar una convención en particular.
En este orden de ideas, la segunda sección presenta la idea de las convenciones en el marco de los juegos evolutivos. Los resultados muestran que si los pagos de usar una estrategia son mayores que los costes de transacción, existirán incentivos de usar ésta y que los costes de transacción decrecen con respecto al número de personas que usan la estrategia.
Esta serie de condiciones determina finalmente que la convención sea una estrategia evolutivamente estable, EEE. De esta manera los costes de transacción son fundamentales en determinar las condiciones de estabilidad [apéndice 1]. En la tercera sección se discute el efecto de una mutación sobre la convención y en la cuarta sección se presentan las conclusiones.
EL ORIGEN DE LA CONVENCION: UN MODELO SIMPLE
La convención es resultado de la coordinación de las expectativas o de los comportamientos de un conjunto de integrantes de una comunidad. Coordinar las expectativas requiere que los agentes estén de acuerdo en torno a usar algún principio para seleccionar un equilibrio. Como señalan Rankin, Van Huyck y Battalio (1997), una convención necesita que los integrantes de una comunidad pongan su atención en algún concepto deductivo derivado en parte de situaciones similares en juegos pasados y que usen dicho concepto para solucionar el problema de coordinación. En los experimentos realizados por Rankin, Van Huyck y Battalio (1997) una convención emerge cuando el comportamiento de los sujetos es consistente con la eficiencia más que la seguridad o el dominio en riesgo. Siguiendo los resultados de Rankin, Van Huyck y Battalio (1997), se establecerá que los jugadores ven la eficiencia en el uso de una convención cuando esta disminuye los costes de transacción.
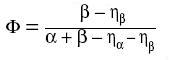
Seguir una convención implica usar reglas o normas que son "heredadas" por nuevos miembros de una comunidad. Aceptar el uso de normas implica unificar los costes de transacción en la elección realizada. Si todos los individuos se rigen bajo los mismos patrones es eficiente imitar el comportamiento de otros ya que mientras más agentes usen una convención menores serán los costes de transacción. Suponga que existe una proporción Φ de jugadores que juegan la estrategia I y una proporción (1 - Φ) que juegan la estrategia II. Cada estrategia tiene asociados unos pagos α, β y unos costes de transacción η: ¿Cuáles serán los beneficios de seguir una estrategia? Para responder esta pregunta partamos de la siguiente matriz de pagos:

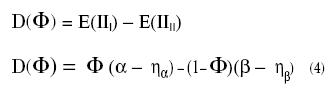
Definiendo E (IIi) como los beneficios esperados de seguir una estrategia, entonces:
La proporción de la población que elegirá una estrategia mixta será:


De la Gráfica 1 se puede observar
cómo los beneficios esperados se interceptan
en la proporción de la población
que elige
una estrategia mixta. Así, a medida
que aumentan los beneficios esperados
de seguir una estrategia, cuando
toda la población la sigue, disminuyen
los beneficios esperados de seguir
la otra estrategia. Cuando la proporción
de la población es igual a
la diferencia entre
usar una u otra estrategia se hace
cero. A partir de este valor la diferencia
se hace positiva, como se puede
observar en la Gráfica 2.

De esta forma, seguir una estrategia dependerá de la diferencia entre los beneficios esperados. La razón es bastante sencilla: Si la diferencia es positiva existirán incentivos de elegir una estrategia, mientras que si es cero no existirán incentivos ya que daría igual cualquier elección. Así, de las ecuaciones 1 y 2 se deduce:
Donde D (Φ) será la diferencia en los beneficios esperados y está en función de la población Φ. A partir de las ecuaciones 5 y 6, se deducen las siguientes reglas:
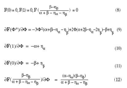
Regla 1: En un juego de convenciones si los pagos derivados de usar una estrategia exceden los costes de transacción, existirán incentivos de usar ésta. En la ecuación 5 se puede observar cómo los incentivos de usar una estrategia son positivos en el caso de que α + Β < ηα + ηΒ ya que si α + Β = ηα + ηΒ dará lo mismo usar cualquier estrategia pues los incentivos serán cero. De esta forma, si la diferencia entre el uso de estrategias crece con respecto a la población y si los costes de transacción son menores con respecto a esta diferencia, la población se dará cuenta de que usar una estrategia en particular aumentará sus beneficios, razón por la cual terminará eligiendo una estrategia y, por lo tanto, estableciendo una convención.
Regla 2: En un juego de convenciones los costes de transacción decrecen con respecto al número de individuos que usan una convención. De hecho si toda la población usa la misma estrategia entonces los costes de transacción serán cero, ya que si Φ = 1 la ecuación 6 se hace cero.
De acuerdo con las dos reglas anteriores es eficiente usar aquella estrategia que tenga los menores costes de transacción.
Si las estrategias evolucionan en el tiempo, ¿es posible que una estrategia se imponga y, por lo tanto, se convierta en una convención? Si un nuevo individuo desea realizar algún intercambio con esta población, ¿es de esperar que este nuevo individuo use la estrategia I o la estrategia II?
Para resolver las anteriores preguntas
considere un conjunto de agentes
que tienen disponible un número
finito de estrategias que consisten
en su elección. El estado corriente
Φ = (Φ, 1 - Φ) especifica la fracción
de Φ agentes eligiendo la estrategia
I y la fracción 1 - Φ eligiendo la
estrategia II8. El estado espacio es un
segmento lineal de dimensión unitaria
(o símplex) tal que Φ = {(Φ, 1 - Φ)
R2: 0 ≤ Φ ≤ 1 } . La interacción está determinada
por los pagos dados en la
Tabla 1, los cuales en un juego evolutivo
estarán en función de su propia
estrategia y del estado corriente de
la población de agentes. Los pagos se
asumen lineales en su propia estrategia
y continuamente diferenciables
en el estado de la población [Φ
Φ].
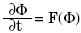
El elemento final de la estructura dinámica
se especifica a partir de un
estado Φ que evoluciona en tiempo
continuo, donde la derivada en el tiempo,
= ∂Φ/∂t, se representa por una
función F:
Φ R2 tal que
= F(Φ).
Este es un sistema autónomo de ecuaciones
diferenciales ordinarias donde
la curva de solución Φ (t), dadas
las condiciones iniciales Φ (0)
Φ,
describe la evolución de la población
comenzando en algún estado de interés.
Estabilidad: Sea Φ(t) el estado en
el tiempo t, un sistema dinámico admisible
genera una curva
de solución única Φ (t) dada una
condición inicial Φ (0)
Φ. Un estado
Φ es un punto fijo de F(•) si todos los
componentes de F (Φ) son cero. El
estado Φ es un punto fijo en el sentido
que si Φ (0) es un punto fijo de F(•)
entonces F(Φ(0)) = 0 y Φ(t) = Φ(0)
t>0.
Un estado Φ* es un punto fijo estable
de F(•) si F(Φ*) = 0 y éste tiene un
conjunto abierto D
Φ tal que
Φ(t)
Φ* cuando t
∞ y Φ(0)
D.
La unión de todas las curvas de solución
que llevan hacia Φ* cuando t
∞
se denominará la base de atracción
de Φ* y se denota BA(Φ*). Finalmente
una estrategia es evolutivamente
estable, EEE, siempre que Φ*
BA(Φ*).
Proposición 1: Un sistema dinámico
provee una explicación de la adopción
por parte de los agentes de una
convención si dado un estado inicial
Φ(0) cuya curva de solución Φ(t)
BA(Φ*), la dinámica, después de cierta
transición cuando Φ es consistente
con un equilibrio, lleva a que los
agentes adopten una estrategia que
se convierte en un comportamiento
recurrente, es decir, adopten una convención.
Demostración: Ver apéndice.
Si los miembros de una comunidad usan la experiencia de jugadores anteriores e imitan su comportamiento usarán las reglas 1 y 2. Estas reglas proveerán la experiencia que los jugadores necesitan para coordinarse, pues revisando en cada momento la diferencia de los pagos en estrategias puras los jugadores se darán cuenta de cuál estrategia será un comportamiento esperado. Así en el tiempo, la población usará dinámicas de réplica. Se puede establecer que la ecuación de dinámica de réplica correspondiente será:

Si los agentes imitan el comportamiento
y la experiencia heredada se
hace a través de las reglas 1 y 2, es
posible establecer que si la población
usa la estrategia β, β en una proporción
y la estrategia α, α en una proporción
1-
, entonces un nuevo individuo
usará aquella estrategia que
usa la mayor parte de la población.
De la Gráfica 3 se puede observar que
a la izquierda de
los agentes usan
la estrategia II, II y a la derecha de
la estrategia I, I. Si la proporción
inicial de jugadores que escoge I,I es
superior a
, entonces la población
usará como convención I,I. De hecho,
cuando α = Β =ηΒ = 1 y ηα= 0 el 100% de
las veces un nuevo individuo usará
la estrategia I,I y el 0% de las veces
usará la estrategia II,II. Por otro
lado, si α = Β = 1 y ηΒ = ηα = 0.5 las estrategias
I,I y II, II se usarán el 50%.
Bajo el cumplimiento de la proposición 1 una estrategia se convertirá en una convención ya que los nuevos individuos usarán aquella estrategia que la población en su mayoría ha elegido.
Aunque podría asumirse que el cumplimiento de la proposición 1 es garantía suficiente de un comportamiento de equilibrio de NASH, en cumplimiento de la proposición 1 de Ritzberger y Volgelsberger (1990), de que sólo estrictos equilibrios son asintóticamente estables y que estos implican dinámicas de selección monótonamente agregadas [Samuelson y Zhang (1992) teorema 4 y corolario 1], aquí deberá demostrarse la siguiente proposición9:
Proposición 2: Una convención es robusta [CR] si satisface el criterio de estabilidad de Lyapunov.
Demostración: Ver apéndice.
Finalmente, si una convención es asintóticamente estable en alguna dinámica monótona F(•), entonces BA(Φ*) contiene un equilibrio de NASH [Bomze(1986), Nachbar (1990), Friedman (1991), Swinkels (1993), Björnerstedt y Weibull (1996)].
¿ES ESTABLE UNA CONVENCION ANTE MUTACIONES?
Supongamos que la información que proviene de la interacción sufre alguna mutación, de tal forma que el comportamiento de los agentes se modifica de alguna manera por dicha mutación. ¿Resistirá la convención ante esta mutación en la información?
El problema consiste, en forma intuitiva, en qué tanto se aleja la dinámica resultante del equilibrio de NASH o si esta nueva dinámica hace parte de la base de atracción del equilibrio.
Como demuestran Nöldeke y Samuelson
(1993), si el soporte del límite de
la distribución de todas las dinámicas
de mutación es un estado absorbente,
entonces para un tamaño de
población N al menos existirán dos
mutaciones que pertenezcan a la base
de atracción. Este resultado es importante
en los siguientes términos: Suponga
una mutación λ de tal forma
que la dinámica de réplica para una
población sea
= f(Φ) + λ g(Φ). La
cuestión importante radica en qué sucede
cuando λ
∞, esto es, g(Φ)
0
ó g(Φ)
∞. De los resultados de Nöldeke
y Samuelson se establece que
alguna dinámica con mutación puede
ser atraída por BA(Φ*) pero no todas.
De esta forma ante una mutación,
el resultado aquí mostrado sólo
se mantiene en tanto la mutación que
han experimentado los agentes sea
una transformación monótona de la
función f(Φ) ya que aquí se ha demostrado
[Proposiciones 1 y 2] que
Φ
BA(Φ*)10. En otras palabras, si la
mutación consiste en alguna transformación
de aquella estrategia que
ha dado mejores resultados y los
agentes tienen en cuenta tan sólo esta
estrategia, esta hará parte de la base
de atracción de las trayectorias de
equilibrio.
CONCLUSIONES
Las condiciones por medio de las cuales una convención domina es un problema abierto, en tanto el principal punto de discusión con respecto a la convención consiste en cómo alcanzar la coordinación en torno a un solo equilibrio. Young, H.P. (1993) usa dinámicas estocásticamente estables siguiendo la idea de dominio en riesgo de Harsanyi y Selten (1988). Sin embargo, en los experimentos realizados por Rankin, Van Huyck y Battalio (1997) una convención emerge cuando el comportamiento de los sujetos es consistente con la eficiencia más que con la seguridad o el dominio en riesgo. Siguiendo los resultados de Rankin et al (1997) el uso del concepto de eficiencia explicaría por qué los costes de transacción son importantes para coordinar los agentes en torno a una estrategia y, por lo tanto, en establecer una convención.
Si las expectativas convergen a un equilibrio, una forma de explicar este evento puede ser a través de la imitación: los agentes en un juego de coordinación tienden a imitar el comportamiento de otros agentes ya que es eficiente en tanto disminuyen los costes de transacción. Así, imitar el comportamiento será la mejor regla de comportamiento siempre y cuando los beneficios derivados de imitar dicho comportamiento sean superiores a los costes de transacción en que se incurre cuando se elige una estrategia. Entonces, revisar en cada momento la diferencia en los pagos de las estrategias puras puede ayudar a establecer qué proporción de agentes ha usado dicha estrategia. Al revisar en cada momento esta diferencia, los jugadores se darán cuenta de cuál estrategia será un comportamiento esperado.
De esta forma dominará aquella convención cuyos costes de transacción sean los menores y estos aumentarán o disminuirán cuanto más agentes decidan usar una convención en particular.
Ya que la convención es resultado de la coordinación de las expectativas o de los comportamientos de un conjunto de integrantes de una comunidad, seguir una convención implica usar reglas que son "heredadas" por nuevos miembros de una comunidad. De esta forma es posible deducir dos tipos de "reglas" que pueden ser transmitidas de una vieja generación a los nuevos integrantes, a saber, Regla 1: En un juego de convenciones si los pagos derivados de usar una estrategia exceden los costes de transacción existirán incentivos de usar ésta. Regla 2: En un juego de convenciones el coste de transacción decrece con respecto al número de individuos que usan una convención.
Estas reglas proveen la experiencia que ayuda a solucionar el problema de coordinación. De esta forma, si la mayoría de convenciones y normas que actualmente usamos han sido el resultado de cómo ha evolucionado la interacción entre los agentes, conocer cómo evoluciona una estrategia nos muestra qué tanto conocemos sobre la evolución de la convención.
Finalmente, el efecto de una mutación depende de cómo evoluciona el comportamiento de la población en términos de la revisión de sus estrategias. Aquí se supone que una mutación en el comportamiento de la población que provenga del comportamiento inicial de la población, esto es, que provenga de experiencias de los agentes, llevará la dinámica a la base de atracción. En últimas, si la mutación se hace sobre la experiencia y los agentes incorporan esta experiencia en la revisión de sus expectativas, entonces se alcanza un equilibrio de NASH.
Demostración de la Proposición 1
En la vía de demostrar esta proposición
consideraremos que una convención
puede verse como una estrategia
evolutivamente estable, EEE, en
un juego que tiene dos o más estrategias
evolutivamente estables. La idea
consiste en que una convención es
una de dos o más reglas de comportamiento.
De esta forma, en cumplimiento
de la propiedad de estabilidad
dinámica, deberemos demostrar que
las raíces en (0) y (1) correspondientes
a la elección de las estrategias I y
II so n evolutivamente estables, EEE,
y que la raíz
es inestable:
Sea F(Φ) = ∂Φ/∂t = 

a las convenciones II y I respectivamente
serán estables siempre que
α > ηα y Β > ηΒ. Por otro lado
será inestable si α > ηα y Β > ηΒ. De las
condiciones 8 - 11 se deduce que las
convenciones asociadas a las raíces (0)
y (1) son estables ya que F(Φ*) = 0 y
∂F(Φ*)/∂Φ < 0 lo cual cumple con la
propiedad de estabilidad.
Dado que las raíces (0) y (1) son estables, la población escogerá alguna, dependiendo de los costes de transacción; esto significa que si α > Β y ηα ≤ ηΒ se escogerá como convención I,I y cuando α > Β y ηα ≥ ηΒ se escogerá como convención II,II. De esta forma, una de estas raíces se convertirá en una convención, en tanto la dinámica lleva a uno de los dos estados y por consiguiente será una regularidad en el comportamiento de los integrantes de una comunidad en una situación recurrente.
Demostración de la Proposición 2:
Suponga que existe una función continuamente
diferenciable y definida
positiva V(Φ): D Rn
R, siendo D
un conjunto abierto que contiene al
origen y sea ∂V/∂Φ negativa semidefinida
para algún Φ
D. Entonces,
existe una solución al sistema ∂Φ/∂t
= F(Φ) que es asintóticamente estable.
En particular sea V(Φ) = 1/2Φ2 entonces
∂V(Φ)/∂t = (∂V/∂Φ)(∂Φ/∂t) =
ΦF(Φ). Dado que F´ (Φ*) < 0 [demostración
de la proposición 1] y F (Φ*) = 0,
de esto se sigue que F es decreciente
en todo Φ*
ΒA(Φ*). Por lo tanto, una
solución Φ* del sistema ∂Φ/∂t = F(Φ)
que sea asintóticamente estable conducirá
a una convención robusta
[CR].
NOTAS AL PIE DE PÁGINA
1. Al final de la Revolución francesa se decretó que los carruajes en París debían ser conducidos por la derecha, mientras que la parte oeste de Austria junto con Alemania, Suiza e Italia adoptaron la convención de conducir por la derecha en el siglo XIX, el resto de Austria tan solo lo hizo a finales de 1920.
2. El tarro no posee ninguna marca o señal que indique la venta del coche. El solo hecho de colocar el tarro es una señal de la venta del coche.
3. En torno a la coordinación que se alcanza en "torneos" existe una interesante discusión acerca del Tit-for- Tat presentado por Axelrod en Binmore (1997).
4. Igual resultado se puede derivar del trabajo de Sugden (1986).
5. Usadas originalmente en su trabajo con Foster [ver Foster y Young (1990) y Young (1993)] y desarrolladas a partir del trabajo de Freidlin y Wentzel (1984) y Kandori, Mailath y Rob (1993).
6. En Mora (1998) se discute la idea de que una convención domine a otra cuando se supera un determinado umbral.
7. En Levine (1995) y Fudenberg y Levine (1996) se plantean algunas implicaciones teóricas de la dinámica de réplica. Para Levine (1995) las dinámicas deben surgir "naturalmente" de los modelos en vez de imponerse. Las convenciones pueden ser un ejemplo de cómo se provee de "experiencia" a los nuevos jugadores a través de normas o reglas.
8. Estas ideas siguen la tradición de los modelos de dinámica de réplica de Maynard Smith (1982) y Taylor (1979). Para Borges y Sarin (1994) existe un "reforzamiento positivo" de las acciones cuando los jugadores usan dinámica de réplica. Binmore y Samuelson (1995), Friedman (1991), Cressman (1992) y Samuelson (1991) muestran las diferentes propiedades de este tipo de modelos.
9. La convergencia a un estado estacionario desde un estado interior inicial implica un equilibrio de NASH [Nachbar (1990), Bomze (1986)]. En juegos con más de dos poblaciones Ritzberger y Weibull encuentran que pocos equilibrios son robustos, lo cual muestra que pocos juegos poseen equilibrios asintóticamente estables. Por esta razón, Ritzberger y Weibull (1995) desarrollan el concepto de selección que preserva su signo (SPS), el cual es un equilibrio robusto si satisface el criterio de estabilidad de Lyapunov, es decir, un equilibrio es robusto si el Lyapunov es estable en alguna SPS. Esta propiedad garantiza que cuando fracciones pequeñas de la población sufren cambios que generan choques pequeños al estado la estabilidad asintótica no se altera.
10. Este resultado se deriva de la proposición 1 de Björnerstedt y Weibull (1995), enunciada también por
Bomze (1986), Nachbar (1990), Fridman (1991), Hofbauer y Weibull (1996). Se deduce entonces que si
Φ´
Φ es estable en alguna dinámica monótona de una población, entonces Φ´ también pertenece a un
equilibrio de NASH [ver también Kandory et al (1993)].
BIBLIOGRAFIA
AXELROD, R. (1984). The evolution of cooperation. Basic Books, N.Y.
AXELROD, R. (1997). The complexity of cooperation: Agent-based models of competition and collaboration, Princeton, Princeton University Press.
BINMORE, K. (1998). Revisión del libro "The complexity of cooperation: Agent-based models of competition and collaboration", Robert Axelrod, Princeton, New Jersey: Princeton University Press (1997).
BINMORE, K. y L. SAMUELSON. (1992). "Evolutionary stability in repeated games played by finite automata", Journal of economic theory, vol. 57, núm. 2, pp. 278-305.
BJÖRNERSTEDT, J. y J. WEIBULL. (1996). "Nash equilibrium and evolution by imitation", en Arrow K, J., E. Colombatto y Ch. Schmidt (comps.). The rationality foundations of economics, Macmillan London.
BOMZE, I.M. (1986). "Non-cooperative two-person games in biology: A classification", International journal of game theory, 15, pp. 31-57.
BORGES, T. and R. SARIN. (1993). "Learning through reinforcement and replicator dynamics", Laser-script.
CRESSMAN, R. (1992). The stability concept of evolutionary game theory: a dynamic approach, Lectures notes in biomathematics 94, Springer Verlag.
FOSTER, D y H.P. YOUNG. (1991). "Cooperation in the short and in the long run", Games economic behavior, núm. 3, pp. 145-156.
FREIDLIN, M. and A. WENTZEL. (1984). Random perturbations of dynamical systems, New York: Springer Verlag.
FRIEDMAN, D. (1991). "Evolutionary games in economics", Econométrica, vol. 59, núm. 3, pp. 637- 666.
HARSANYI, J. and R, SELTEN. (1988). A general theory of equilibrium selection in games, Cambridge, Mass: MIT Press.
KANDORY, M., G, MAILATH and. R. ROB. (1993). "Learning, mutation and long run equilibrium in games", Econométrica, vol. 61, pp. 29-56.
LEVINE, D.K. y D. FUDEMBERG. (1996). Learning and evolution in games, Laser-script, Jul. 30. UCLA, http://levine.sscnet.ucla.edu/papers/japan.html.
LEWIS. D. (1969). Convention: A philosophical study, Cambridge, Mass: Harvard University Press.
MAYNARD SMITH, J. (1982). Evolution and the theory of games. Cambridge, Cambridge University Press.
MORA, J.J. (1998). "Elección de tecnología entre el principal y el agente en un contexto evolutivo", Estudios económicos, vol. 13, núm. 2, jul.-dec. pp. 225-247 (México).
NACHBAR, J.H. (1990). "´Evolutionary´ selection dynamics in games: convergence and limit properties", International journal of game theory, 19, pp. 50-90.
NÖLDEKE, G. y SAMUELSON, L. (1993). "An evolutionary analysis of backward and forward induction". Games and economic behavior, 5, pp: 425-454.
RITZBERGER, K. y J. WEIBULL. (1995). "Evolutionary selection in normal- form games", Econométrica, vol. 63, núm. 6, pp. 1371-1400.
RITZBERGER, K. y K, VOGELSBERGER. (1990). "The Nash field", IAS Research report, núm. 263, Vienna.
SAMUELSON, L. (1997). Evolutionary games and equilibrium selection, The MIT press, Cambridge.
SAMUELSON, L. y J. ZHANG. (1992). "Evolutionary stability in asymmetric games", Journal of economic theory, vol. 57, núm. 2, pp. 363-91.
SCHELLING, T.C. (1960). The strategy of conflict, Cambridge, Mass: Harvard University Press.
SUDGEN, R. (1989). "Spontaneous order", Journal of economics perspectives, Fall, núm. 3, pp. 85-97.
TAYLOR, P.D. (1979). "Evolutionarily stable strategies with two types of players", Journal of applied probability, vol. 16, pp. 76-83.
VAN HUYCK, J.B., R.C. BATTALIO, and R.O. BEIL. (1996). "On the origin of conventions: evidence from coordination games", Laser script, June.
VAN HUYCK, J.B. (1997). "Strategic similarity and emergent conventions: Evidence from scrambled payoff perturbed stag hunt games", Laser script, July.
WEIBULL, J. (1995). Evolutionary game theory. Cambridge, Mas.: MIT-Press.
WEIBULL, J. and HOFBAUER, J. (1996), "Evolutionary selection against dominated strategies", Journal of economic theory, vol. 71. pp. 558- 573.
YOUNG, H.P. (1996). "The economics of conventions", Journal of economics perspectives, vol. 10, núm. 2, pp. 105-22.
YOUNG, H.P. (1993). "The evolution of conventions". Econométrica, vol. 61. núm. 1, pp. 57-87.