E.P.S. ASOMED S.A.*
YARA PATRICIA SAAVEDRA VÉLEZ1, OLGA PATRICIA PINEDA LEÓN1
1Estudiante programa de Posgrado de la Especialización en Gestión de la Salud, Universidad Icesi.
* Este caso fue preparado por Yara Patricia Saavedra Vélez y Olga Patricia Pineda León en la Universidad Icesi, como trabajo en el programa de Posgrado de la Especialización en Gestión de la Salud. Su asesora fue Martha Cecilia Jaramillo Mejía. Es propiedad de la Universidad Icesi. Santiago de Cali, Colombia, Noviembre de 2001.
El sol despunta romántico por entre las montañas que como vigías adornan el hermoso Quindío. La doctora Isabella se desplaza en su vehículo, llena de ilusiones, de expectativas, al asumir su nuevo trabajo. Es la mañana del 4 de febrero de 1997. Muchas cosas bailan en su mente juvenil, tiene los conceptos frescos adquiridos en la universidad y anhelos profundos de servicio y de lograr realizar cambios tan necesarios en algunas instituciones. Muy entusiasmada llega con tiempo a las instalaciones de la E.P.S. Asomed S. A. (Ver Anexo 1), pero el estrellón con la realidad le cambia indiscutiblemente el día. Con lo primero que tropieza es con una acogida no muy cálida, lo que llamaríamos trato impersonal.
-Su trabajo consiste en lo siguientele dice Claudia la secretaria, sin siquiera presentarse y contestando escasamente al saludo efusivo de la doctora. - Debe atender pacientes cada quince minutos, trate de no demorarse más tiempo. Lo importante es el volumen. Allí está su consultorio, cualquier cosa que necesite me la informa y el resto usted ya lo sabe...
La secretaria se devolvió a su escritorio y dejó a la doctora Isabella, cuya sonrisa se esfumó sorpresivamente, frente a un escritorio lleno de papeles y con una lista interminable de pacientes...
Qué acogida tan triste, pensó Isabella. No está el director médico, no hay una inducción. ¡Sólo la sensación molesta de ser una nueva máquina al servicio de una estructura sin visión ni misión claras!
La verdad es que la doctora sintió una tentación enorme de atender por ese día y no regresar; sin embargo, el amor que la impulsó a prepararse con rigor para esta tarea la motivó a continuar, a pesar de que notó que la realidad de Asomed no era sólo la primera impresión desagradable, sino algo que hacía parte de su cotidianidad.
Después de algunas semanas de trabajo arduo, y en las que luchó por no desfallecer, fue mirando su labor desde otra perspectiva. Empezó a notar la continua asistencia de pacientes hipertensos, diabéticos, con alergias respiratorias... Y la notable ausencia de información sobre los programas de prevención de la enfermedad y promoción de la salud.
Una noche, sentada frente a su computador comenzó a meditar sobre los problemas de su institución; vinieron a su mente unas palabras que alguna vez escuchó de la conocida y querida mujer, madre Teresa de Calcuta: "La oscuridad no hay que maldecirla, hay que ser una luz que brilla en medio de ella". En su corazón ardió el deseo de hacer un aporte, así no fuese muy grande, para transformar esta oscuridad. Fue así como decididamente emprendió la tarea de hacer un análisis crítico de la situación de la EPS Asomed S.A.
En primer lugar encuentra una marcada despersonalización que se manifiesta en:
1. Escaso tiempo para atención de pacientes.
2. Profesionales tratados como máquinas.
3. Poco trabajo en equipo.
En segundo lugar observa la prevalencia de las siguientes patologías:
1. Alto índice de enfermedades cardiovasculares.
2. Problemas secundarios a la alta carga laboral.
3. Patologías respiratorias ocupacionales.
En tercer lugar los programas de Promoción de la Salud y Prevención de la Enfermedad no están respondiendo a las necesidades de la población, pareciera que ni siquiera están siendo aplicados, pues todavía se está dando mayor importancia a la curación que a la prevención.
Con este rápido análisis, la doctora Isabella llega a la conclusión de que el problema fundamental de la EPS Asomed S.A. es: el inadecuado funcionamiento del Programa de Promoción de la Salud y Prevención de la Enfermedad; situación que de no corregirse a tiempo generaría aumento de costos en la atención en salud, disminución de la calidad de vida de la población afiliada, además de implicaciones jurídicas.
Identificado el problema consideró necesario buscar las estrategias para tratar de superarlo, fue así como dedicando con esmero parte de su tiempo libre, se lanzó a diseñar una propuesta hasta que finalizando el mes, con proyecto en mano, decidió hablar con el gerente, doctor Carlos Domínguez.
En horas de la mañana, el lunes 25 de mayo, el doctor Domínguez la recibió en su oficina; mientras degustaba un puro cubano. Con sus kilos de más y con una voz propia de los constantes fumadores, le preguntó qué deseaba. La doctora Isabella, con toda franqueza le habló de su experiencia en la institución, le planteó los problemas centrándose en uno fundamental: el inadecuado funcionamiento del Programa de Promoción de la Salud y Prevención de la Enfermedad. El doctor Domínguez escuchó atentamente y con tono de preocupación le preguntó:
- Doctora, ¿qué podemos hacer?
- Doctor Carlos, la propuesta es la siguiente, contestó la doctora Isabella-: Necesitamos adecuar el programa de acuerdo con las exigencias de la normatividad y el perfil epidemiológico de la población a nuestro cargo.
Con el mismo tono de preocupación él respondió:
-Bueno, ¿pero de qué normatividad me habla?
-¿Acaso usted no conoce, dice ella, el acuerdo 117 del Consejo Nacional de Seguridad Social? En él se establece el obligatorio cumplimiento de las actividades, procedimientos e intervenciones de demanda inducida y la atención de enfermedades de interés público.
-Sí, contesta él, y continúa: Pero no he tenido con quién desarrollarlo porque las enfermeras auxiliares que manejan el programa no quieren entender la realidad, por culpa de ellas este no funciona, afirma, moviendo la cabeza con inconformidad.
Ella le responde:
-Usted es el responsable de que la EPS tenga todos los programas exigidos por la ley.
-Bien, doctora, responde él, tiene toda la razón, pero es que yo no tengo tiempo.
Un poquito exasperada, la doctora Isabella le dice:
-Pero ¿qué importancia le da usted al programa?
-¡Mucha!- Dijo enérgicamente él.
Respirando profundamente, continuó la doctora:
-Bueno, lo mejor es que nos calmemos y miremos qué hacer, lo que hoy quiero saber es si cuento con su apoyo, yo estoy dispuesta a colaborarle.
-Claro, doctora Isabella, manos a la obra.
-En primer lugar, doctor Carlos, dice ella, necesito que aclaremos varias cosas: ¿Los programas que tienen aquí responden a las necesidades de la población afiliada? ¿Ustedes presentan un plan de actividades que estén desarrollando y su estado de ejecución? ¿Son actividades que ayudan efectivamente a evitar la aparición de enfermedades específicas del grupo de alto riesgo?
Responde el doctor Domínguez:
-Doctora, nosotros tenemos dentro de nuestro plan de actividades algunos programas prioritarios para la utilización de los recursos, los cuales son:
-Bien, doctor, voy a permitirme en estos días analizar las actividades a la luz de la Resolución 3997 de 1996 para poder ajustar a ella mi propuesta.
La despedida fue mucho más amigable.
La doctora Isabella empezó a buscar el perfil epidemiológico de la población afiliada y se encontró con la sorpresa de que los programas estaban montados sin tener en cuenta la morbilidad o mortalidad características de la población como: edad, ocupación, entre otras.
La información estaba disponible pero no había sido utilizada. Que cada entidad tuviera su propio registro de consulta diaria facilitó la construcción del perfil epidemiológico para cada una de ellas. Esta información se recogió de los registros de consulta diaria diligenciados entre junio de 1999 y junio de 2000.
Se utilizó el listado de afiliados que está dividido por municipios y por grupos de edades, además de la información obtenida a través de una entrevista con el gerente de la E.P.S. (Ver Anexo 2).
El primer hallazgo importante fue que la población afiliada estaba compuesta por tres entidades cuyas características de población y edad eran muy diferentes: Transportadores S. A., Años Dorados S. A. y Catedráticos S. A.
Analizando esta información se pudo caracterizar la población de cada entidad de la siguiente manera:
Transportadores S. A.
Es una población de jubilados a muy temprana edad, que actualmente tiene entre 50 y 60 años. Su actividad antes de quedar cesantes, consistía en atender uno de los medios de transporte masivo del país, bien fuera como conductores, aseadores o encargados del mantenimiento.
Todos los que conforman este grupo residen en la cabecera municipal, lo cual hace que los servicios de salud sean de fácil acceso.
Entre esta población se halló que la patología con mayor incidencia es la hipertensión arterial, seguida de la diabetes mellitus y alteraciones del sistema musculoesquelético.
Años Dorados S. A.
Es también una población de jubilados. Sus edades están por encima de los 60 años. Este grupo está compuesto por personas que se dedicaban a la enseñanza y a la atención de algunos medios de comunicación, todas éstas empresas estatales. Ellos salieron de su trabajo a la edad estipulada por la ley.
La mayoría vive en la cabecera municipal, y aproximadamente un 10% en dos poblaciones aledañas que cuentan con carreteras en muy buen estado.
Coincide con la población de transportadores en las patologías de mayor incidencia: hipertensión arterial, diabetes mellitus y alteraciones del sistema musculoesquelético.
Los Catedráticos S. A.
Es una población laboralmente activa, cuyos cotizantes se dedican a la educación primaria y secundaria en instituciones públicas. No hay que olvidar que en estos lugares aún se utilizan la tiza y el tablero, como ayudas educativas, lo que está muy relacionado con las frecuentes afecciones respiratorias encontradas en este grupo.
El mayor porcentaje se sitúa entre los 15 y 44 años de edad. A diferencia de las otras dos poblaciones en esta existe un gran número de adolescentes y mujeres en edad fértil.
Sus sitios de origen y de vivienda actual se hallan en mayor porcentaje en la cabecera municipal, aunque también hay familias en sectores aledaños a esta, ubicándose el más lejano a una hora de camino. Las vías de comunicación y medios de transporte son accesibles a todos.
Las patologías de mayor incidencia en este grupo son las alteraciones del sistema respiratorio (especialmente alergias respiratorias, como ya se dijo), enfermedades gástricas, alteraciones del sistema musculoesquelético e hipertensión arterial.
La doctora Isabella recopiló toda la información anterior en las Tablas 1 y 2.

Después de observar esta Tabla se pudo concluir que la población menor de un año representaba apenas el 0.5 % de todos los afiliados; y que al igual que las personas laboralmente activas ( que representaban el 42%) pertenecían en su totalidad al grupo "Los Catedráticos". Las mujeres en edad fértil conformaban el 23%, y los mayores de 60 años el 10% del total de la población.

El perfil epidemiológico muestra que en el grupo de Transportadores S.A. la principal causa de consulta es la hipertensión arterial, seguida por la diabetes mellitus; en el grupo Años Dorados S.A. la lista de consulta la encabezan por igual la hipertensión y la diabetes; mientras que en el de los Catedráticos S.A. las afecciones del sistema respiratorio representan la principal causa de consulta, seguidas de lejos por la hipertensión arterial y las patologías del sistema musculoesquelético, el estrés, y por último la diabetes mellitus.
Revisando el programa de Promoción de la Salud y Prevención de la Enfermedad de la E.P.S. y aplicándolo a la anterior información, se observa que no está respondiendo a lo exigido en la Resolución 3997 de 1996, que define la "Promoción de la Salud como la integración de las acciones que realizan la población, los servicios de salud, las autoridades sanitarias y los sectores sociales y productivos con el objeto de garantizar, más allá de la ausencia de enfermedad, mejores condiciones de salud físicas, síquicas y sociales de los individuos y las colectividades" (Art. 3º) y la "Prevención de la enfermedad o el accidente como el conjunto de acciones que tienen por fin la identificación, control o reducción de los factores de riesgo biológicos, del ambiente y del comportamiento, para evitar que la enfermedad aparezca, o se prolongue, ocasione daños mayores o genere secuelas evitables".
Se llegó a esta conclusión, teniendo en cuenta lo siguiente:



El viernes 19 de junio de 1997, nos encontramos de nuevo en la oficina del doctor Domínguez, quien con voz de entusiasmo recibe a la doctora Isabella.
-Doctor, dice ella con aire de satisfacción, ya le tengo las recomendaciones.
-Miremos pues, responde él con su voz ronca, la escucho.
-Vamos a montar los programas -comienza ella -de acuerdo con el perfil epidemiológico de la población. Hay ciertos elementos que ustedes están confundiendo, aquí lo que están haciendo es un trabajo de acuerdo con el total de morbilidad, y eso no es perfil epidemiológico, por eso se están presentando las falencias. Los programas no responden a las necesidades de la población afiliada, no existe un plan de actividades que se esté desarrollando, ni su estado de ejecución. Por ello estas actividades no impactan en beneficio de la salud de la población. Es lamentable, pero aquí no existen los equipos adecuados necesarios para realizar las labores, y son de fácil consecución, por ejemplo: no hay pesabebés, tallímetro, tensiómetro pediátrico, fonendoscopio pediátrico y otros para realizar las actividades que exige la ley; considero que falta capacitación en promoción y prevención a las auxiliares de enfermería. Todo esto es fundamental transformarlo.
-Bueno, responde el doctor Domínguez. -Es necesario empezar cuanto antes. ¿Cuánto tiempo cree usted que se demore en montar este programa?
Ella, tomando un almanaque del escritorio, le responde:
-De aquí a noviembre tenemos que tenerlo montado.
Con una sonrisa maliciosa, el doctor Carlos le dice:
-¿Sabe? Le he estado tirando cabeza a todo esto y creo que la más indicada para dirigir este programa es usted, doctora.
Sonriendo, ella responde:
-¡Con mucho gusto!
Así terminó el cordial encuentro de este viernes 19 y un nuevo futuro se empezó a vislumbrar en la EPS Asomed S.A.
El viernes 26 de junio encontramos de nuevo a la doctora Isabella en la oficina del gerente de la EPS Asomed S.A. Con notable expectativa el doctor la recibe.
-¿Cómo van las cosas? - es lo primero que le dice.
Ella, en tono pausado, le responde:
-Me ha tocado muy duro, pero por fin tengo la propuesta para el programa de promoción y prevención de la sede.
Con sonrisa de aprobación él le dice:
-Soy todo oídos.
Ella, abriendo su portafolio, despliega unas hojas con unos cuadros muy bien organizados y empieza su exposición.
¿Es suficiente la información recopilada para que la doctora Isabella plantee una solución adecuada a la situación de la E.P.S. Asomed S.A.?
¿Qué tan rentable resultará la inversión en Promoción de la Salud y Prevención de la Enfermedad?
ANÁLISIS
Al finalizar todos los estudios y comparar los tipos de programas existentes con lo que estaba siendo llevado a cabo en la Institución, se pudo definir que la población activa está compuesta por tres grupos de afiliados: Transportadores S.A., Años Dorados S. A., Catedráticos S.A., cada uno con su núcleo de edades diversas y características especiales.
Al construir el perfil epidemiológico se comprobó que las patologías de mayor incidencia son la hipertensión arterial, la diabetes mellitus, las del sistema respiratorio y las del sistema musculoesquelético.
Los esfuerzos no están siendo dirigidos adonde debiera ser, pues se están atendiendo unos cuantos casos aislados, en programas de poca incidencia, y no se está cubriendo la población en riesgo verdadero. Además, hace falta otro tipo de recurso físico para actividades específicas de prevención.
Aunque el tiempo que debe dedicarse a la Promoción de la Salud y Prevención de la Enfermedad está previamente establecido, el personal lo está empleando en otras cosas.
Con estos resultados y de acuerdo con lo establecido en la Resolución 3997 de 1996, se establece que los programas que necesita esta población son los siguientes:
Estas actividades incluyen: valoración médica, toma de peso y talla, vacunación y charlas educativas, cuyos contenidos principales estarán enfocados a fomentar hábitos alimenticios y estilos de vida saludables. Esto incluye la promoción del buen trato.
Otras actividades del programa son las de salud oral, que comprenden una cita de diagnóstico, profilaxis y educación en higiene oral.
El equipo de salud requerido para estas actividades está conformado por el médico, auxiliar de enfermería, odontólogo e higienista oral.
Las charlas educativas estarán a cargo de la auxiliar de enfermería y de la higienista.
Debido a que los niños menores de un año sólo representan el 0.5%, no se justifica montar un programa exclusivo para ellos, pero debe existir un protocolo de crecimiento y desarrollo que se aplique en la consulta externa.
Comprende salud sexual y reproductiva para mujeres de quince a sesenta años y salud oral, pues esto cubriría el 80 %.
Respondiendo a la alta incidencia de patologías respiratorias relacionadas con el ambiente de trabajo y de problemas musculoesqueléticos, se programarán talleres de manejo de la voz y de ergonomía y como prevención a las enfermedades cardiovasculares, habrá talleres de riesgo cardiovascular.
Además se realizarán actividades de salud oral como cita de diagnóstico, detartraje más profilaxis y educación en higiene oral.
Estas actividades serán realizadas por el médico, el odontólogo, auxiliar de enfermería y auxiliar de higiene oral.
La institución cuenta con este personal. La fonoaudióloga y la fisioterapeuta serán contratadas por servicios prestados.
Durante todo el primer año se ofrecerán actividades educativas dirigidas a toda la población afiliada, continuando el segundo año con talleres de refuerzo.
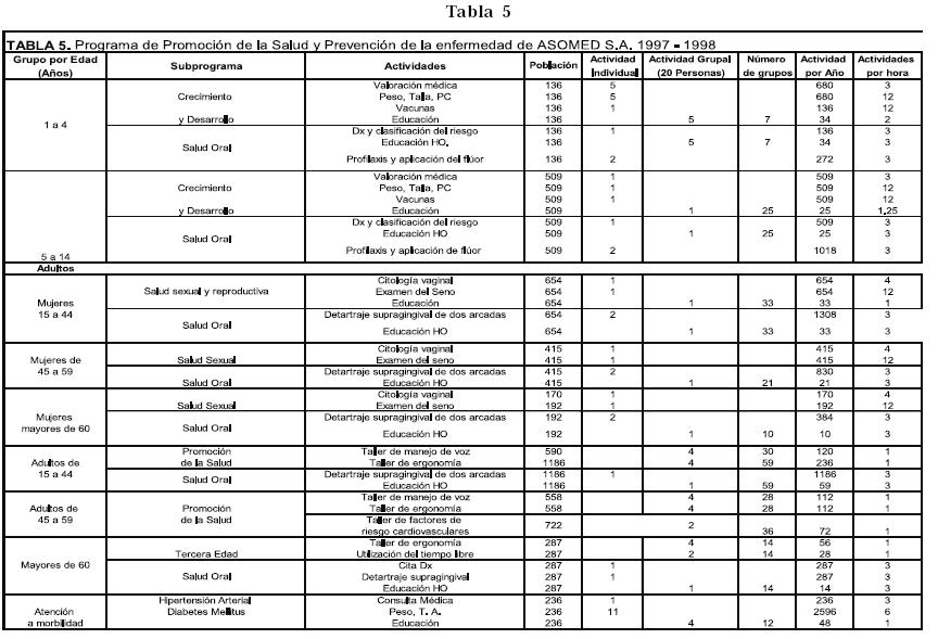
Toda esta información se encuentra detallada en la Tabla 5. En ella se resumen todos los programas de Promoción de la Salud y Prevención de la Enfermedad que se llevarán a cabo durante el primer año en la E.P.S. Asomed S.A.
Descripción general de la tabla 5.
Está distribuida en once columnas, en ellas está consignada la siguiente información:
C1 Grupos poblacionales, clasificados en ocho núcleos de edades, desde uno hasta sesenta años.
C2 y C3 Identificación de los subprogramas que requiere la población afiliada de acuerdo con su perfil epidemiológico en relación con cada núcleo de edad y las actividades de atención a desarrollar en cada programa.
Los programas están dirigidos a los campos de crecimiento y desarrollo, salud oral, salud sexual y reproductiva, promoción de la salud, atención de la tercera edad, hipertensión arterial y diabetes mellitus.
En las actividades se desarrollan valoración médica, toma de peso y talla, vacunación, citología vaginal, examen de seno, profilaxis y aplicación del flúor, detartraje supragingival, utilización del tiempo libre, talleres de factores cardiovasculares y ergonomía, manejo de voz, consultas médicas.
C4 Registra el número de individuos de la población activa en cada núcleo de edad por cada actividad.
C5 Hace referencia al número de actividades desarrolladas con cada individuo.
C6 Número de actividades cumplidas con cada uno de los grupos organizados para su atención en los siguientes subprogramas.
C7 Indica el número de grupos de atención, conformados por cada subprograma.
C8 Indica la frecuencia anual de cada una de las actividades identificadas en la columna 3.
C9 Indica la frecuencia obtenida para cada actividad por hora de atención.
C10 Totaliza el número de horas requeridas para el desarrollo de cada actividad.
C11 Identifica el profesional de la salud responsable de cada actividad, según especialidades.
Interpretación de la información registrada en la Tabla 5.
La población atendida se clasifica en dos grandes grupo: infantil y adultos. El grupo infantil se ubica en dos núcleos con edades de uno a cuatro años y de cinco a catorce años. Para cada núcleo se desarrollan los subprograms de crecimiento y desarrollo, con cuatro actividades de atención, y salud oral con tres actividades asignadas.
En el núcleo de uno a cuatro años se atiende una población de 136 afiliados, siendo la valoración médica y la toma de peso y talla las que demandan mayor número de actividades individuales, con cinco atenciones por individuo seguidas de la profilaxis con dos. Cada subprograma presenta cinco actividades por grupo de veinte personas; al conformarse siete grupos se establece que en cada subprograma se han llevado a cabo 35 actividades.
La mayor frecuencia anual se presenta en valoración médica y toma de peso y talla con 680 actividades por año cada una; la mayor frecuencia la presentan los talleres de educación con 34 actividades por año. La mayor frecuencia hora la tienen la toma de peso y talla y las vacunas con 12 actividades por hora. El total de horas requeridas oscila desde 11 para las vacunas hasta 227 para la valoración médica, lo cual ratifica la mayor frecuencia anual en esta actividad.
En el núcleo de cinco a catorce años se atiende una población de 509 individuos, disminuyendo hasta una sola actividad por persona en relación con el primer núcleo. Con cada uno de los 25 grupos conformados se desarrolla una actividad grupal por cada subprograma; lo anterior indica la razón para que la frecuencia anual de 509 actividades corresponda con el total de la población atendida; encontrándose una gran diferencia en educación en higiene oral cuya frecuencia es de 25 actividades por año, mientras que la profilaxis se eleva a una frecuencia de 1018 actividades por año. La frecuencia por hora en este núcleo oscila entre 1.25 y 12 actividades por hora. La actividad que demanda el más alto número de horas es la profilaxis con 339 horas, reduciendo a 8 horas para educación en higiene oral.
Ahora bien, el grupo de adultos se subdivide en seis núcleos de edades, tres núcleos de mujeres y tres de adultos en general, así 15 a 44 años, 45 a 59 años y mayores de 60 años.
Para cada núcleo y sexo se desarrollan dos subprogramas, diferenciándose en algunas actividades propuestas para cada sexo, por las características y necesidades propias de éste, como son citología vaginal, examen de seno, talleres de manejo de voz y de ergonomía; las demás actividades son comunes a toda la población adulta (columna 3).
La mayor población atendida corresponde a adultos en general entre 15 y 44 años, con 1186 individuos en las actividades de taller de ergonomía, detartraje supragingival y educación en higiene oral. La menor población corresponde a la actividad de citología vaginal en mujeres mayores de 60 años, con 170 individuos, la mayor población de mujeres se encuentra entre 15 a 44 años, con 654 personas atendidas en todas las actividades de los subprogramas de salud sexual y reproductiva y salud oral.
La demanda por actividad se sitúa en una atención por persona, presentándose dos actividades individuales para el detartraje supragingival en los tres núcleos de mujeres. La atención a grupos de cada 20 personas, oscila entre una y cuatro actividades grupales; el número de grupos es alto entre la población adulta, con un total de 59 para los talleres de ergonomía, detartraje y educación en higiene oral con adultos de 15 a 44 años, debido al alto número de individuos atendidos. El menor número de grupos (10) se encuentra entre las mujeres mayores de 60 años para el subprograma de salud oral. La mayor frecuencia anual por actividad la presenta el detartraje supragingival entre adultos de 15 a 44 años y la menor frecuencia por año la presenta educación en higiene oral para mujeres mayores de 60 años, con diez actividades por año. La frecuencia por hora se muestra dispersa para toda la población adulta, pues sus índices van desde una hasta doce actividades por hora en los diferentes subprogramas; también se manifiesta una gran dispersión en el total de horas requeridas, pues debido al desequilibrio numérico de la población atendida en cada subprograma y actividad, el total de horas comprende desde tres para educación en higiene oral con mujeres mayores de 60 años, hasta 436 para detartraje supragingival entre mujeres de 15 a 44 años.
Los profesionales de la salud para atender el programa son: médico, odontólogo, higienista oral, fonoudiólogo, fisioterapeuta, auxiliar de enfermería.
Consideraciones generales
Entre la población infantil, el núcleo con más población atendida se encuentra entre cinco a catorce años.
Entre la población adulta, el núcleo atendido más numeroso corresponde a los adultos entre 15 a 44 años y el menos numeroso entre mujeres mayores de 60 años; siendo diversas las razones de este fenómeno, como menor índice poblacional entre mujeres mayores de 60 años y mayor índice en el otro núcleo; facilidades de acceso a los programas de atención diferentes de un núcleo a otro, disponibilidad y aceptación por parte de los afiliados y beneficiarios a los diversos subprogramas y actividades; diferencias en los índices de morbilidad entre unos núcleos y otros.


BIBLIOGRAFÍA
Duque Rodríguez S. 1999. Elementos considerados en la elaboración del perfil epidemiológico, 6 pp.
Instituto Seguros Sociales, 1996. Implementación Programa S.I.P.I (Salud Integral para la Infancia), Cali.
Ministerio de Salud, República de Colombia. Ley 100 de 1993. Bogotá: Autor.
GLOSARIO
COMENTARIOS AL CASO:
En el momento actual, el sector salud sufre una profunda crisis, ocasionada por la poca preparación que se tenía para asumir las funciones, procesos y retos marcados por la Ley 100 de 1993. Las instituciones prestadoras de servicios de salud se dedicaron a facturar los servicios prestados, olvidando que las acciones de promoción de la salud y prevención de la enfermedad eran básicas en el nuevo modelo.
Quienes sí hacían programas de salud pública se dedicaron a ejecutarlos tal como venían direccionados en la ley o sus decretos reglamentarios, sin importar la carga de la enfermedad, ni los aspectos demográficos y laborales de la población a la cual había que prestarle el servicio.
Este caso nos muestra cómo una EPS (Empresa Promotora de Salud, o administradora de los recursos de afiliación al Sistema General de Seguridad Social en Salud) tenía sus programas de salud pública orientados a unas características de la población diferentes a las de sus afiliados y beneficiarios, cuando analiza las mismas se da cuenta que debe implementar programas de salud distintos a los establecidos en la normatividad, puesto que esta población tiene características diferentes. Nos enseña entonces a diseñar los programas propios para cada grupo poblacional, de acuerdo con su perfil epidemiológico, seguros de que con la aplicación de los mismos se tendrá como resultado una disminución de los costos en la prestación de los servicios de salud o una reducción de la carga de enfermedad.
Materias donde puede usarse:
1. Diseño de programas de salud.
2. Epidemiología aplicada a la gestión de los servicios de salud.
3. Planeación de las organizaciones de salud.
Es útil también como modelo de diseño de programas de salud en las EPS o en aquellas IPS (Institución Prestadora de Servicios de Salud) que tienen contratos de capitación con las EPS.
Marta Cecilia Jaramillo Mejía
Coordinadora de Especialización en Gestión de la Salud
Universidad ICESI