ARTICLE
The Political Economy of the Chinese Market Economy Status given by Argentina and Brazil**
La economía política del reconocimiento de China como una economía de mercado por Argentina y Brasil
A economia política do estatuto de economia de mercado chinês, dado pela Argentina e o Brasil
Francisco Urdinez
* Doctoral candidate in International Studies at the Institute of International Relations at Universidade de São Paulo (USP) in Brazil. Scholar member of the Foundation for Research Support of the State of São Paulo (FAPESP). Bachelor's degree in International Relations at the Universidad Católica de Córdoba (Argentina) and masters' degree at USP. urdinez@usp.br.
Artículo de investigación: recibido 22/09/2014 y aprobado 10/12/2014
ABSTRACT
When China signed a Protocol of Accession to the World Trade Organization in December 2001, other country members were allowed to consider China as a Non-Market Economy until the end of 2016. Taking into account this restraint, the aim of this paper is to answer the following question: can the Market Economy Status Recognition (MES) be measured by a de-facto compliance? The variable used to measure the compliance is the number of antidumping investigations initiated by each country. Hence, the countries which recognize China as a market economy would have a fewer antidumping investigations than the countries that are still treating Beijing as a Non Market Economy, which is the key reason of why the Chinese Government has been campaigning vigorously since 2001 to gain a MES status by a larger number of its economic partners.
Key words: Non-Market Economy Status, Antidumping, WTO, Brazil, Argentina
RESUMEN
El Protocolo de adhesión de China a la Organización Mundial del Comercio, firmado en Diciembre de 2001, permitió a otros países miembros considerar a China como un país sin economía de mercado (NME, por sus siglas en inglés) hasta finales del 2016. Este trabajo pretende responder a la pregunta: ¿Se puede medir el estatuto de economía del mercado (MES, por sus siglas en inglés) según su cumplimiento? La variable utilizada para medir el cumplimiento fue el número de investigaciones de antidumping iniciadas por país. Se espera que los países que reconocen a China el estatuto de economía del mercado, MES, realicen menos investigaciones antidumping que los que todavía consideran que ésta no tiene economía de mercado (NME). Esto explicaría por qué desde el 2001 el gobierno chino ha estado haciendo una enérgica campaña para ganar la condición de MES entre sus socios económicos.
Palabras clave: Estatuto de no economía de mercado, Antidumping, OMC, Brasil, Argentina.
RESUMO
O protocolo de adesão à Organização Mundial do Comércio da China, assinado em Dezembro de 2001, permitiu a outros países membros apreciarem a China como nação sem economia de mercado (NME, pela sua rubrica no inglês) até o final de 2016. O presente artigo visa responder a pergunta: é possível medir o status de economia de mercado (MES, pela sua rubrica no inglês) conforme a sua efetivação? A variável aplicada para estimar a execução foi à checagem de investigações anti-dumping iniciadas pelos países. Espera-se que os países que reconhecem à China a classificação de MES, reduzam o número das investigações anti-dumping em comparação com os países que ainda tratam esse país como uma economia sem mercado. Isso esclareceria o fato das agressivas campanhas lideradas pelo governo chinês desde 2001 para ganhar o status de MES entre os seus parceiros econômicos.
Palavras-chave: Sem economia de mercado, anti-dumping, OMC, Brasil, Argentina.
Introduction
On September 17th 2001, during the eighteenth session of the Working Party on China -and a few weeks before China's accession to the World Trade Organization (WTO) became official-, Long Yongtu the Head of the Chinese Delegation said that "Just as President Jiang Zemin pointed out recently WTO accession is a strategic decision made by the Chinese Government under economic globalization and is in line with China's reform and opening-up policy and the goal of establishing a socialist market economic system" (WTO 2013).
The concept of "socialist market economy system" remains a complex one as it is conceptually inherently contradictory. Within WTO, "transition economies" are given Non-Market Economy (NME) status. Prior to China's accession, ten such transition economies joined the WTO (Qin 2003). In the case of China, its Protocol of Accession signed on December 2001 allowed other country members to consider China as a NME until the end of 2016.
Even though WTO members can still treat China as a NME, some countries have already recognized China's Market Economy Status (MES). With this in mind, it is possible to compare those that have already recognized with those that have not, in order to study the effects such decisions have on trade relations. What are the political-economic implications of this recognition? and what would change after 2016 in relation to China? are two questions that this paper addresses. The objective of the paper is to test the compliance of the recognition of China as a market economy on the number of antidumping investigations against Chinese products.
Do antidumping investigations increase, decrease, or fluctuate between both extremes? If there is an effect, then the policy implication will be that after 2016 this effect is projected to extend to all WTO members. The expectation is that, due to a more transparent method for calculating normal values, countries would initiate fewer investigations than countries that still treat China as a NME. That is, countries are expected to comply with the recognition.
The structure of the paper is as follows: it starts with a concise justification of the study is laid out before moving into the literature discussion and substantiation of the study's contribution to the discipline. The review of the literature is divided into two sub-areas: (a) studies on China-WTO negotiations before 2001; and (b) studies on the content of China's Accession Protocol and the MES within WTO. Following this review are discussions on what a NME is and the implications of a NME within WTO. From this analysis the main hypotheses of the paper is presented. Subsequently, the model's definition and the methodology employed to measure the recognition of China as a market economy on the antidumping investigations is outlined. Accordingly, the results are presented and the cases of Argentina and Brazil are highlighted for being outliers in the findings. Finally, some concluding remarks are provided.
Justification of this study
Brown (2010) demonstrates that there is no prima facie evidence that WTO membership since 2001 has limited the incidence of China exporter's facing new investigations of dumping behavior. However, there is no work up to date on the effect of the MES recognition on the investigations for dumping. The entry into the WTO might have had no effect, but the MES yes. This is the main contribution of this paper.
The concept of NME is disconnected from the economic system adopted by a country and this is reflected by the fact that some NMEs are members of WTO (Cuba, for example); some Market Economies are still non-members of WTO (Monaco, for example), and some members have not been qualified as either Market Economies or NME, and therefore have an unclear legal status (Cattaneo & Braga 2009). The decision remains mostly political. The best example is China since it has NME status with some WTO members and, simultaneously, a MES with others.
By 2013 more than 30 countries have recognized China's Market Economy Status (MES), including New Zealand, Nigeria, Russia, Pakistan, Venezuela, Chile, Brazil, Argentina, Australia, Peru, Antigua and Barbuda, Benin, Costa Rica, Djibouti, South Africa, Togo , Ukraine, Guyana, Armenia, Kyrgyzstan and the 10 member countries of the Association of Southeast Asian Nations (ASEAN). However, neither the European Union nor the United States have granted MES to China yet. The Memorandums of recognition of Chinese MES are non-regulated agreements, which lack controlling institutions and depend on the "good will" of the parties. The risk of cheating is high, due to an inexistence of punishment. Theoretically, the deeper an agreement is, the greater the punishments required to maintain compliance is in mixed motive games (Downs et al 1996). However, as Keohane mentions, "among international organizations, the WTO stands out as having quite authoritative and precise rules and a relatively good record of eventual compliance with those rules by governments. So far, through diplomatic finesse and compromise the WTO has avoided outright refusals" (Keohane 2004:227).
Furthermore, China pertaining to the WTO since 2001 bolsters legitimacy to the memorandums, due to the fact that they are based on China's Protocol of Accession to the organization. Recognizing China as a market economy within WTO would act as a "Seal of Approval". Institutions can create regularized expectations of members' future behavior and therefore promote more stable patterns of behavior among members (Gray 2009). Then, it is possible to expect a measurable effect in the compliance of the MES recognition, through the antidumping investigations.
Bibliographic Review on Chinese access to WTO
The literature on China's entry to the WTO is extensive and has generated more than 20,000 scholarly contributions (Cattaneo & Braga 2009). It can be divided into two sub-areas which analyze: (a) the historical evolution of the relationship between General Agreement on Tariffs and Trade (GATT) and WTO with China; (b) the content of China's Accession Protocol and the MES within WTO. This latter sub-area is the most relevant for this article and its contribution. This section will briefly review both subsections before deepening into the MES implications for the Chinese economy.
Historical evolution of the relationship between GATT and WTO with China
The 15 years of negotiations between China and the WTO have been studied in depth and there is a rich literature about it. It is also necessary to mention that the history of China's WTO has its background in the General Agreement on Tariffs and Trade (GATT), in which it was a founding member (Halveson 2004). Bhala (1999) and Halverson (2004) point out that it is necessary to go back to 1948 to truly understand this complex history during which profound changes happened in the bosom of China. There are three main historical reasons for this long term complex process and Table 1 summarizes the main historical facts discussed by the authors. First of all, and most importantly, the communist revolution and the Taiwan's split. Second, the different positions existing within domestic politics in China. As Douglas Newkirk -a former Assistant United States Trade Representative- commented, "[t]he GATT wasn't written with a socialist market economy in mind. The China's transition from a communist to a market economy, and the often-repeated, oxymoronic declaration by its elder leaders that it has a 'socialist market economy' complicated the entry process" (Bhala 1999, p.1480). The third reason that complicated the negotiations was whether China would gain admission as a developing or developed country. United States insisted that China join the WTO as a developed country which implicated heavier concessions from China. After fifteen years of negotiations, by the end of the millennium the proaccession forces in the Chinese government gained the domestic battle arguing that the advantages of membership would outweigh the disadvantages. The bilateral agreement with the US and the EU in 1999 and 2000, respectively, routed the long awaited entry of China into the WTO which was finalized in December 2001.
The literature emphasizes that the history of China's accession to the WTO is signed by comings and goings (Bhala 1999; Brown 2010; Cattaneo & Braga 2009; Halverson 2004). As Bhala (1999) puts it, the story itself is an epic saga, and no country seeking WTO membership -not even Saudi Arabia (which acceded in December 2005 after ten years of negotiations), Iran (which has not acceded yet and submitted its application in July 1996), and Russia (which acceded in August 2012 after 19 years of negotiations)- could possibly raise a more complex array of issues than China.
In the same direction, Cattaneo & Braga (2009) point out that it took China more than fifteen years to complete the process, compared to less than three years for the Kyrgyz Republic which is also a NME. The China accession protocol consisted of a main text of 11 pages and 143 paragraphs incorporated by reference from the 77 pages Working Party Report, compared to a main text of no more than two pages of standardized provisions for some other countries' accession protocols.
Content of China's Accession Protocol and the Market Economy Status within WTO
As mentioned before, this second literature group is the most relevant to this work. The reason is that papers that deal with the Accession Protocol study in detail the treatment of China as a NME, and the provisions regarding the use of anti-dumping measures against Chinese products. Among the literature in this area Qin (2003), Cattaneo&Braga (2009), Zang (2011), and Tietje & Nowrot (2011) stand out.
China's Protocol of Accession to the WTO, signed on December 2001, permitted other country members to consider China as a NME until the end of 2016. By the beginning of 2013 more than 30 countries recognized China's MES but neither the European Union nor the United States granted MES to China, and both apply the so-called surrogate or analogue country method to establish dumping, relying on price or production data from third countries (Zang 2011). Unlike any other WTO protocol of accession, "the China Protocol is not a standardized document. Instead, it contains a large number of special provisions that elaborate, expand, modify or derivate from the existing WTO agreements" (Qin 2003:489).
Qin (2003) focuses on a set of special provisions of the China Protocol: those that prescribe obligations exceeding the existing requirements of the WTO agreements, which she calls "WTO-plus" obligations. The major WTO-plus obligations undertaken by the Chinese government concern the following areas: (1) transparency, (2) judicial review, (3) uniform administration, (4) national treatment, (5) foreign investment, (6) market economy, and (7) transitional review. The most significant of such obligations include the obligation to let market forces determine prices in China, obligations not to influence state-owned and state-invested enterprises, and obligation to liberalize foreign trade regime.
Section 9 of the Protocol prescribes an overall market economy obligation for China: the obligation to "allow prices for traded goods and services in every sector to be determined by market forces except for those specified in Annex 4 of the Protocol (emphasis added)" (Qin, 2003:505). Historically, it has been a major challenge for the system to integrate centrally planned economies as the multilateral trading system is constructed with market economy assumptions. "The problem of integrating NMEs into the system has been largely abated in the post-cold war era when most of the former centrally planned economies began transforming into market economies" (Qin, 2003:504).
The problem, as argued in the literature, lies in how to incorporate NMEs in respect to market principles of WTO treaties. Cattaneo&Braga (2009) argue that the accession process has created a "two-tier" membership or a "second class" of WTO citizens, and the interpretation of accession protocols created a whole new branch of WTO law and jurisprudence. As Zang (2011) explains, China argued that section 15 of the Accession Protocol does not contain ‘an official recognition by China' that it is an NME, but only a temporary and limited derogation from the rules in the Anti-Dumping Agreement on the determination of normal value in anti-dumping investigations initiated with respect to imports from China. However, it is clear that section 15 of the Accession Protocol in the major WTO authority for the special treatment towards China in Anti-dumping proceedings (Zang, 2011:876).
Paragraphs 15(a) and (d) concern exclusively the determination of normal value. While paragraph (a) contains special rules of determination of normal value in Anti-dumping investigation involving China, paragraph 15(d) in turn establishes that these special rules will expire in 2016 and set out certain conditions that may lead to early termination of these rules before 2016. For lawyers and governmental officials dealing with anti-dumping law and practice, the 11 December 2016 is certainly not a myth -it is reality-. From that date onwards, it becomes almost impossible -at least from the perspective of WTO law- to make a determination of the normal value of products targeted by an antidumping proceeding on the bases of analogous third country methodology (Tietje & Nowrot 2011). This method is "extremely unfavorable for Chinese exports because the choice of a surrogate country is often perceived as arbitrary or inappropriate, and the resulting antidumping duties tend to be exceedingly high" (IBA 2010:5). As a consequence, the Chinese Government has been campaigning vigorously among its trading partners to gain MES before 2016.
Defining a Hypothesis: what are the consequences of being granted Non-Market Status?
The general issue of the NME Status has been addressed substantially by Polouektov (2002); Qin (2003) and Shao (2008). Furthermore, Alford (1987), Shao (2008), Cattaneo & Braga (2009), Brown (2010), and Tietje & Nowrot (2011) have also addressed the particular case of Chinese NME Status.
Polouektov addresses the case of Poland for being the first "orthodox" centrally planned economy to become a GATT contracting party in 1967, followed by Romania in 1971 and Hungary in 1973. After the collapse of the Soviet Union in 1991, former satellites moved from centrally-planned to market economies, formally becoming "transition economies". In the immediate years after the WTO came into being, 10 more transition economies became members recognizing special treatment in their Protocols of Accession1 (Cattaneo & Braga 2009; Polouektov 2002).
The NME issue has its roots in paragraph 1 of the antidumping Article VI of GATT 1994. "It is recognized that, in the case of imports from a country which has a complete or substantially complete monopoly of its trade and where all domestic prices are fixed by the State, special difficulties may exist in determining price comparability for the purposes of paragraph 1, and in such cases importing contracting parties may find it necessary to take into account the possibility that a strict comparison with domestic prices in such a country may not always be appropriate" (Shao 2008:13). Through this provision, WTO Members explicitly recognize NME countries may need to be treated differently than market economies in antidumping cases.
This paper asks whether the recognition of Chinese MES by some countries has had any effect in new investigations of dumping behavior. To date, there is no work that has answered this question. The main hypothesis of this work (H1) is that, even though the WTO accession by China has not led to a reduction in the use of Anti-Dumping measures (Brown, 2010), recognition of market economy itself has had a positive effect in reducing measures against China.
Masserlin (2004) and Brown (2010) highlight that most of anti-dumping investigations and measures imposed are initiated by the so called four major traditional users (Australia, Canada, EU, and USA) and from six new intensive antidumping users which are developing economies (Argentina, Brazil, India, Mexico, South Africa, and Turkey). Both authors assert that China is targeted much more by developing economies than by industrial countries. The ten most intensive Anti-Dumping user contributed 83 percent of the new investigations and 68 percent of the new measures imposed even as the total antidumping use by WTO members continues to grow, especially with the emergence of China itself as a major new user (Brown 2010:8). Comparing the aggregated data of antidumping use against China during its pre- accession (1995-2001) versus post- accession (2002-2006) period,Brown (2010) concludes that there is no prima facie evidence that WTO membership has thus far limited the incidence of China exporter's facing new investigations of dumping behavior.
According to Polouektov, differential treatment generates contradictions with the principle of non-discrimination in the WTO. The preservation in the present circumstances of the long outdated NME concept constitutes an intentional disregard for world realities, which risks bringing back a "second class" membership and further erosion of the fundamentals of the multilateral trade framework. In contravention of the obligations under the WTO, a number of members retained ("grandfathered") or adopted a new the NME concept, thus deviating from the language of the Uruguay Round Anti- Dumping Agreement (Polouektov 2002:3).
The Anti-Dumping Agreement narrows down the range of possible options for calculating whether a particular product is being dumped (WTO, 2012). It provides three methods to calculate a product's "normal value" (GATT, 1994): (a) The main one is based on the price in the exporter's domestic market. When it cannot be used (this is the case for NMEs), two alternatives are available, (b) the price charged by the exporter in another country, or (c) a calculation based on the combination of the exporter's production costs, other expenses and normal profit margins.
Then, the consequences of not being granted MES would have a big impact on the investigation for dumping. For example, if China is accused of dumping car tires, the basic approach is to consider the price of car tires in China against the price of Chinese car tires in Europe. Because China does not have MES, Chinese domestic prices cannot be used as a reference. Instead, the initiator would use an analogue market: one which does have market economy status, and which is similar enough to China. United States is a popular analogue market, and for China sometimes Brazil and Mexico are also used. In this case, the price of car tires in the United States is regarded as the substitute for the price of car tires in China, which of course is detrimental to China as the cost of labor is much lower. China has allowed, through its protocol of accession, that WTO members may pursue a NME approach to the calculation of normal value and dumping margins, and of course, this method would not be used anymore if China was considered a market economy. It can be imagined, thus, that recognizing Chinese MES would reduce the amount of antidumping measures initiated against this country.
Method and Data
The paper tests the hypothesis that the recognition of China as a Market Economy had a negative impact on the number of antidumping investigations initiated against Chinese products by countries that had recognized China before. To control the effect of the MES recognition on the use of antidumping investigations in the statistical model it tests two additional hypotheses. (H2) The higher the share of Chinese imports in local market, the better the chances of initiating an antidumping investigation against a Chinese product; and (H3) the more open to trade a country is, the worse the chances of using antidumping measures. Table 2 presents the three hypotheses tested, and the expected effect of the variable chosen to operationalize each hypotheses. The three independent variables to test the three hypotheses are: (a) Recognition of Chinese MES, (b) Share of Chinese imports to total imports, (c) Trade Openness.
Data sources
The statistic data used to build the three independent variables were taken from four databases: (a) Global Antidumping Database (GAD) which is part of the Temporary Trade Barriers Database (TTBD) World Bank and lead by Chad :Brown (2007), (b) UNCTAD Trade Map - International Trade Centre UNCTAD/WTO (ITC), (c) UN Comtrade, (d) World Bank World Development Indicators.
GAD has been freely and publicly available since 2005, hosts detailed data on more than thirty different national governments' use of policies such as antidumping, global safeguards, China-specific transitional safeguard measures, and countervailing duties. The authors considered the 31 countries available in the GAD Database, using all the antidumping measures initiated by China per year. As can be seen in Table 3, not every country in the database recognizes Chinese MES.
The UN Comtrade database was used to build the share of Chinese imports on total imports. The index was calculated with a lag of one year to take into account the assumption that there is a greater propensity to protect using an Anti-Dumping when the previous year's imports increased considerably.
Three units of analysis deserve a special note. Data for Taiwan is not available in UN Comtrade, so Trademap was used instead. Data for South Africa was not complete, so the index was built using data from its Department of Trade and Industry. Finally, data from the European Union was built in accordance to its expansions in 1981, 1986, 1990, 1995, 2004 and 2007 so Poland is considered as a unit before 2004. WTO statistics were used to take data on EU imports from the World.
World Bank Development Indicators provided information on Trade Openness, which is calculated as the sum of exports and imports of goods and services measured as a share of gross domestic product. Behind this variable is the assumption that more open countries tend to be less protective of its domestic industry.
The baseline model of this work can be summarized as:

Data Analysis and Model Specification
This section analyzes the data, and afterwards tests which regression model best fits the research problem. The base model is simple and has only three independent variables to avoid overly confusing results, and collinearity amongst explanatory factors. As the relationship between the dependent and independent variables is nonlinear, an OLS model does not seem to be the best alternative. Another problem has to do with the assumption of homoscedasticity within it. The best model would be the one that can count how many times something has happened, so a Count Model would work better.
Gary King (1989) recognized that most empirical analyses in international relations are based on event count variables. Unfortunately, with few exceptions, scholars in international relations have neither designed nor exploited such methods. The most frequently used statistical model in this area, linear regression, makes the incorrect assumption that underlying continuous processes generate observations that are also continuous (King 1989:124). Earlier, King (1988) explains these caveats:
"[...] there are several serious problems in using event count data with the OLS model. First, OLS assumes a linear relationship, E(y I X) = XP = Po + P I X , + P,X, + .... This is an implausible functional form for two reasons: (1) it often results in predicted event counts that are less than zero and therefore meaningless. Moreover, a "truncated linear" model, where negative fitted values are forced to zero, makes unrealistic assumptions at and near the cutoff point. Furthermore, (2) it makes the unrealistic assumption that the difference between zero and one event occurring in a particular time interval is the same as the difference between, say, 20 and 21 events. Thus, the true relationship is not linear, and a linear approximation would not in most cases even be a reasonable working assumption" (King, 1988:845)
Since this work uses a cross sectional method instead of a times series one, it is working under the assumption that each year of the sample is independent from the others. The principle of independence holds that "the probability of an event occurring at time t + 1, given what has occurred up to time t, is independent of all previous history within a single observation period" (King, 1989:127). Under the independence principle, antidumping investigations are not contagious, that is, the occurrence of an antidumping measure does not increase the probability of future antidumping investigations. As they are initiated by private actors (companies, or chambers) it is not mistaken to hold onto this assumption.
Most of the years recorded had one antidumping investigation against a Chinese product. The database omits years when there were no measures, so the database has no zeros. A useful place to begin is comparing predicted and observed values (Long, 1997). The listed values in Table 4 are the observed and predicted probabilities for observing a country with 0 through 9 antidumping investigations in a given year.
The probabilities above show that the fitted Poisson distribution over-predicts 0s and under-predicts count 1. This pattern of over- and under-prediction is characteristic of fitting a count model that does not take into account heterogeneity among sample members in their rate μ (Long and Freese 2006). In order to choose the best fit count model two questions need to be answered: (a) How is the outcome variable distributed?, or How does the variance compare to the mean?, and (b) Does the outcome variable contain zeroes?, If not, why? (a) Count variables indicate how many times something has happened.
Poisson Regression (PRM), the most common count model works with a very strong assumption that is the conditional variance equals the conditional mean. If this is not the case, Negative Binomial Regression (NBRM) can be used for over-dispersed count data, that is, when the conditional variance exceeds the conditional mean; (b) If the data generating process does not allow for any 0s, then a zero-truncated model (ZTPM) may be more appropriate.
It is necessary to test dispersion in the sample to observe whether Poison Regression or NBRM has a better fit. As the database omits all the zeros - that is, it has no information when there are none antidumping investigations against a Chinese product- a truncated model probably is the best model to be used. Table 4 summarizes the count models tested in this section. To assess if either PRM or NBRM work better, several tests were run. First, the observed variable together with PRM and NBRM was plotted. As a second test, the model residuals for PRM and NBRM are compared. Third, Pearson Chi-Square statistic for both PRM and NBRM are evaluated. The three tests offer strong evidence for preferring NBRM over a PRM.
Table 6 is a summary of the regression results for all the possible models. As can be seen, all of them have similar coefficients (except for OLS which was included to show its bias), and high statistical significance. Zero-truncated Negative Binomial Regression (ZTNBM) is the count model which shows the higher coefficients, and the lower z values. Among the four count models, ZTNBM showed the best fit.
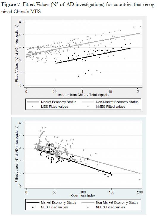
The graphical representation of the Fitted Values against each of the control variables show that countries that recognized China as MES reduced the number of antidumping investigations, as can be observed in Figure 7 showing the fitted values against each of the control variables.
The observed values for the countries that have recognized China as a Market Economy show that they have remained below 5 annual investigations, with the exception of Argentina and Brazil during two years each. Such behavior is discussed in the next section.
In order to proceed to interpreting the coefficients of the independent variables a percentage change in the expected count is used. The percent change coefficients for MES Recognition, the Share of Chinese imports to total imports, and the Openness Index can be read as:
1. Being a country that recognized China's MES decreases the expected number of antidumping investigations initiated per year by 57.8 percent, holding all other variables constant. Excluding Argentina and Brazil in the analysis, the percent is 78.5 percent.
2. For a standard deviation increase in the relative weight of Chinese imports over world imports, a country's number of antidumping initiated against Chinese products increases by 51 percent, holding all other variables constant.
3. For a standard deviation increase in the Openness Index, a country's number of antidumping investigations initiated against Chinese products decreases by 38.4 percent, holding all other variables constant.
Table 9 summarizes the effect found on the independent variables over the dependent variable, contrasted with the expected effect predicted by the hypotheses.
Analyzing the outliers: Argentina and Brazil
During Hu Hintao's visit to South America in 2004, Argentina and China signed a Memorandum of Understanding -Memorando de entendimiento entre la República Argentina y la República Popular China sobre cooperación en materia de comercio e inversiones- that recognized China as a Market Economy in its first article. Brazil did the same in a very similar memorandum - Memorando de entendimento entre a República Federativa do Brasil e a República Popular da China sobre cooperação em matéria de comércio e investimento- three days after.
Argentina and Brazil, which are among the top ten antidumping users in the world, have, together, applied 88 investigations against Chinese products between 2001 and 2010. Their antidumping investigations did not decrease after signing the Memorandums of Understanding, as can be seen in Figure 10.
Deepening discussions into these two cases exceeds this study's objective, however speculative reasons can be considered. A first possible reason for this non-compliance is related to the role played by their National Congresses. Brazil never actually declared China to be a market economy in its domestic law (as it did with Ukraine in 2007 and a number of Central and Eastern European and Baltic countries in 2008 (IBA, 2010:26)) and the same situation arises in Argentina (where the National Congress never ratified this agreement and in antidumping proceedings China is still treated as an NME for domestic law).
A second possible reason is related to the role played by powerful interest groups. Domestic industrial groups, Federation of Industries of São Paulo (FIESP) in Brazil, and the Argentine Industrial Union (UIA) in Argentina, strongly opposed to the recognition of the Chinese MES because of the fear of an "invasion" of Chinese products. Domestic actors can sometimes limit states capacity. Theoretically, the entanglement of internal factors and international factors is well established by the theory of James Rosenau (1997) and developed previously by Robert Putnam's theory (1988). How do internal factors influence the decision of foreign policy and vice versa, and how is the link between national and international affairs are questions that were answered using the concept of intermestic processes.
Furthermore, in observing the antidumping measures by industry they correspond with some of the most vulnerable sectors in each of the countries, in terms of their Revealed Comparative Advantages. Between 2000 and 2011, Brazil initiated 16 out of 35 antidumping investigations on the manufacturing sector. Argentina 27 out of 51 antidumping investigations on the IT sector and in the manufacturing sector.2
It is possible that the key to understanding the non-compliance of the memorandums is related to the local industry fear of a perceived "invasion" of Chinese products. Numerous papers consider China either a huge opportunity or a scary threat for Latin American countries, but most of them assume that China is both a huge opportunity and a big threat (Blázquez-Lidoy et al. 2006; Freitas Barbosa 2011; Leon-Manriquez 2006; Mesquita Moreira 2006). This is the case for Argentina and Brazil, which benefit from exporting to the huge Chinese market, but feel threatened by the imports that come from it.
Future research, in the form of a deep comparative analysis needs to be done on these two particular cases. Focusing on empirical studies of the speculative arguments provided here, a comparison with countries that have reduced their antidumping investigations after recognizing the MES needs further examination.
Conclusion
The issue of the MES of China has profound implications on the treatment it receives from other WTO members. It is expected that after 2016 all members in the organization, including USA and the EU will treat China as a Market Economy, and therefore calculate their dumping costs through the mechanisms of normal values.
As initially stated, the aim of this paper was to answer the following question: Can the Market Economy Status (MES) Recognition be measured in its compliance? The proxy used for that compliance was the number of antidumping investigations initiated per country. The expectation is that, due to a more transparent method for calculating normal values, countries recognizing Chinese MES would initiate fewer antidumping investigations than countries that still treating China as a NME. This would explain why Chinese Government has been campaigning vigorously since 2001 to gain MES among its economic partners.
This paper shows that, 14 out of 16 countries in the sample that have recognized Chinese MES have reduced their antidumping investigations. Being a country that recognized China's MES decreases the expected number of antidumping investigations initiated per year by 57.8 percent, holding all other variables constant. Excluding Argentina and Brazil in the analysis, the percent is 78.5. The model controlled for the relevance that China has in each country's imports and for the economic openness of each country.
Future works will deepen in the cases of those countries that have not complied with the Memorandums of MES recognition that is Argentina and Brazil, to explore on the role of domestic actors, such as industrial lobbies. Furthermore, the econometric model should be improved, including the temporal dimension in it, working with panel models. Due to missing data, this paper offers a first approach to the matter.
NOTAS
** This article is the product of the author's research on international political economy of the chinese internationalization in latin america.
1 Mongolia, Bulgaria, the Kyrgyz Republic, Latvia, Estonia, Albania, Croatia, Georgia, Lithuania and Moldov
2 Based on available data from the Global Antidumping Database.
REFERENCIAS
Alford, W. :1987. When is China Paraguay an examination of the application of the antidumping and countervailing duty laws of the United States to China and other nonmarket economy nations. S. Cal. L. Rev., 61, 79.
Anderson, K. 1997. On the complexities of China's WTO accession. The World Economy, 20(6), 749-772.
Bhala, R. 1999. Enter the dragon: An essay on China's WTO accession saga. Am. U. Int'l L. Rev., 15, 1469.
Blázquez-Lidoy, J.,&Rodríguez, J. 2006. ¿ángel o demonio? Los efectos del comercio chino en los países de América Latina. Revista de la CEPAL, (90), 17-43.
Bown, C. :2010. China's WTO entry: antidumping, safeguards, and dispute settlement. In China's Growing Role in World Trade (p:281-337). Chicago: University of Chicago Press.
Brown, C.:2007. Global antidumping database. Version 3.0. Accessed online at: http://econ.worldbank.org/ttbd/ on July 2013.
Cattaneo, O., & Braga, C. A. :2009. Everything you always wanted to know about WTO accession. World Bank Policy Research Paper, 5116.
Downs, G; Rocke, D; Barsoom:N 1996. Is the good news about compliance good news about cooperation? International Organization, v. 50, 379-406.
Eichengreen, B., & Tong, H. 2006. How China is reorganizing the world economy*. Asian Economic Policy Review, 1(1), 73-97.
Freitas Barbosa, Alexandre de. 2011.China e América Latina na Nova Divisão Internacional do Trabalho, in A China na nova configuração global : impactos políticos e econômicos, 269-307, ISBN 978-85-7811-119-9. Instituto de Pesquisa Econômica Aplicada (IPEA), Brasilia.
Gray, J. 2009. International organization as a seal of approval: European union accession and investor risk. American Journal of Political Science, 53(4), 931-949.
Halverson, K. 2004. China's WTO accession: Economic, legal and political implications. Boston College International and Comparative Law Review,27, 319.
Huang, J., & Rozelle, S. D. 2002. The nature of distortions to agricultural incentives in China and implications of WTO accession.
Ianchovichina, E., & Martin, W. 2001. Trade liberalization in China's accession to the World Trade Organization (No. 2623). World Bank Publications.
International Bar Association - IBA 2010, "Anti-Dumping Investigations against China in Latin America", London.
Keohane, R. O. 2002. Power and governance in a partially globalized world. Psychology Press.
King, G. 1988. Statistical models for political science event counts: Bias in conventional procedures and evidence for the Exponential Poisson Regression model. American Journal of Political Science 32: 838-863. Available at http://j. mp/jp7VeW
King, G. 1989. Event count models for international relations: Generalizations and applications. International Studies Quarterly 33: 123-147. Available at http://j.mp/kKaosO
Long, J. S, and Freese, J. 2006. Regression models for categorical dependent variables using stata, 2nd ed. College Station, Tex.: StataCorp L:
Long, J. S. 1997. Regression models for categorical and limited dependent variables. Vol. 7.Thousand Oaks: Sage Publications.
Manríquez, J. L. L. 2006. China-América Latina: una relación económica diferenciada. Nueva Sociedad, (203), 28-47.
McKibbin, W. J., & Woo, W. T. 2003. The consequences of China's WTO accession for its neighbors. Asian Economic Papers, 2(2), 1-38.
Mesquita Moreira, M. 2007. Fear of China: Is there a future for manufacturing in Latin America? World Development, 35(3).
Messerlin:A. 2004. China in the World Trade Organization: antidumping and safeguards. The World Bank Economic Review, 18(1), 105-130.
Ministry of Foreign Affairs of Argentina. 2004. Memorando de entendimiento entre la República Argentina y la República Popular China sobre cooperación en materia de comercio e inversiones.
Ministry of Foreign Affairs of Brazil. 2004. Memorando de entendimento entre a República Federativa do Brasil e a República Popular da China sobre cooperação em matéria de comércio e investimento.
Polouektov, A. 2002. The non-market economy issue in international trade in the context of WTO accession. In United Nations Conference on Trade and Development, http://www. unctad. org/Templates/Download. asp.
Putnam, R.D,. 1988. Diplomacy and domestic politics: The logic of two-level games, International Organization 42, 427-460.
Qin, J. Y. 2003. ‘WTO-Plus' obligations and their implications for the World Trade Organization legal system-an appraisal of the China accession protocol. Journal of World Trade, 37(3), 483-522.
Raumbaugh, T. & Blancher, N. 2004. China: international trade and WTO accession. Working Paper 04/36. International Monetary Fund.
Rees, L., & Tyers, R. 2004. Trade reform in the short run: China's WTO accession. Journal of Asian Economics, 15(1), 1-31.
Rosenau, J. N, .1997. Along the domestic-foreign frontier: Exploring governance in a turbulent world. Paperback, George Washington University, Washington DC.
Tietje, C. & Nowort, K. 2011. Myth or reality? China's market economy status under WTO anti-dumping law after 2016. Policy Papers on Transnational Economic Law, No. 34, School of Law, Martin-Luther University, Germany.
Wang, Z. 2003. The impact of China's WTO accession on patterns of world trade. Journal of Policy Modeling, 25(1), 1-41.
Woo, W. T. 2001. Recent claims of China's economic exceptionalism: Reflections inspired by WTO accession. China Economic Review, 12(2), 107-136.
World Trade Organization 2012. Understanding the WTO. Retrieved September 01, 2013from http://www.wto.org/english/thewto_e/whatis_e/tif_e/ agrm8_e.htm
World Trade Organization 2013. Meeting of the Working Party on the accession of China. Retrieved September 13, 2013, from http://www.wto.org/english/ news_e/news01_e/wpchina_longstat_17sept01_e.htm
Zang, M. Q. 2011. EC-fasteners: Opening the Pandora's box of non-market economy treatment. Journal of International Economic Law, 14(4), 869-892.
Zhai, F., & Li, S. 2000. The implications of accession to WTO on China's economy. In Third Annual Conference on Global Economic Analysis, Melbourne, Australia, June (p:27-30).
Zhao, L., & Wang, Y. 2008. Trade remedies and non-market economies: economic implications of the first US countervailing duty case on China. World Bank Policy Research Working Paper Series.