ARTÍCULOS

DOI: 10.18046/recs.i16.1961

 

Patrones de mortalidad comparativos entre la población afrodescendiente y la blanca–mestiza para Cali y el Valle*****

 

Comparative mortality patterns among the black population and the white-mestizo in Cali and Valle

 

Padrões de mortalidade comparativos entre a população afrodescendente e a branca–mestiça para Cali e o Valle

 

 

FERNANDO URREA GIRALDO*; GUSTAVO BERGONZOLI PELÁEZ**; BLADIMIR CARABALÍ HINESTROZA***; VÍCTOR HUGO MUÑOZ VILLA****

* Profesor Titular, Departamento de Ciencias Sociales, Facultad de Ciencias Sociales y Económicas, Universidad del Valle, Cali, Colombia. Investigador del grupo Cidse–Colciencias "Estudios étnico–raciales y del trabajo en sus diferentes componentes sociales". Correo electrónico: furreagiraldo@yahoo.com

** Investigador de Cedetes (Centro para el Desarrollo y Evaluación de Políticas y Tecnología en Salud Pública), Escuela de Salud Pública, Facultad de Salud, Universidad del Valle, Cali, Colombia. Correo electrónico: bergonzog@gmail.com, gus.bergonzoli@gmail.com

*** Estudiante de doctorado en demografía de la Universidade Estadual de Campinas, Barão Geraldo, Brasil. Correo electrónico: blasston@ yahoo.com

**** Secretaría de Salud Departamental del Valle, Secretaría de Salud Pública Municipal de Cali, Cali, Colombia. Correo electrónico: victomun@gmail.com

 

Recibido: 02/09/2015
Aceptado: 23/07/2015

 


RESUMEN

El artículo hace un análisis de los patrones de mortalidad comparativos para Cali y Valle, entre la población afrodescendiente y la blanca–mestiza, por sexo y grupos etarios, con base en los metadatos de fallecidos en el Censo 2005 y el Certificado de Defunción del año 2010. Los hallazgos revelan fuertes diferenciales según estructuras de edad de los fallecimientos (pirámides) y en la mortalidad acumulada, que son concluyentes de patrones de mortalidad desiguales entre las dos poblaciones, tanto en el Valle como en Cali. Esto apunta a una demografía de la desigualdad social con base en el componente étnico–racial.

Palabras clave: Mortalidad; población afrodescendiente; población blanca/mestiza; sexo; grupos etarios


ABSTRACT

The article analyzes the patterns of comparative mortality of Cali and Valle, between the Afrodescendant and white–mestizo population, by sex and age groups, based on the metadata of deaths in the 2005 Census and the death certificate of the year 2010. The findings reveal strong differentials by age structures of deaths (pyramids) and the cumulative mortality, which are conclusive of unequal mortality patterns between the two populations, both in Cali and Valle. This evinces demography of social inequality based on ethnic–racial component.

Key words: Mortality; Afrodescendant and White–Mestizo populations; sex; age groups


RESUMO

O artigo faz uma análise dos padrões de mortalidade comparativos para Cali e o Valle, entre a população afrodescendente e a branca mestiça, por sexo e grupos etários, com base nas metainformações de falecidos no Censo 2005 e o Atestado de Óbito do ano de 2010. Os descobrimentos revelam fortes diferenças segundo estruturas de idade dos falecimentos (pirâmides) e na mortalidade acumulada, que são concluintes de padrões de mortalidade desiguales entre as duas populações, tanto no Estado de Valle quanto em Cali. Isto aponta a uma demografia da desigualdade social com base no componente étnico–racial.

Palavras chave: Mortalidade; população afrodescendente; população branco–mestiça; sexo; grupos etários


 

 

Introducción

El análisis de los patrones de mortalidad comparativos para Cali y el Valle del Cauca, según la orientación conceptual que sigue este documento, tiene que ver particularmente con los determinantes sociales de la salud, entre los cuales resaltamos para el caso de estudio la dimensión étnica–racial como punto de partida sociológico. Se trata de una investigación empírica que integra al estudio de la salud sobre una población determinada una perspectiva sociológica de la raza y la etnicidad; de ahí el uso del término población afrodescendiente.1 Sin embargo, sería insuficiente y francamente limitado para un análisis de los patrones de mortalidad, dejar de lado la otra población –la blanca–mestiza2– que permite precisamente registrar las desigualdades sociales al comparar los patrones de los decesos entre los dos grupos poblacionales. Por ello, otro énfasis del documento es una sociología de las desigualdades sociales en salud vista a través de las muertes.

En este documento se entiende por factor étnico–racial la construcción socio–histórica de poblaciones como individuos y entidades colectivas diferenciadas según una jerarquía social con base en características socioculturales (etnicidad), y variaciones fenotípicas (color de piel, cabello, rasgos físicos, etc.: que se aproximan a una racialidad), o una combinación de ambas. La jerarquía casi siempre conlleva un mecanismo de mayor estatus y control de los activos individuales y sociales disponibles (diversas fuentes de capital en una trayectoria vital) por uno de los sectores o grupos étnico–raciales en desmedro de los demás grupos.3 La dinámica entre el grupo o colectivo dominante y los colectivos subordinados en términos étnico–raciales tienden a configurar diversas modalidades de racismo –exclusión y estigmatización por alguno de los dos aspectos o por ambos– en el acceso a los bienes y servicios colectivos e individuales.

Este orden jerárquico, independientemente del reconocimiento o visualización por el grupo dominante, se materializa en las biografías corporales individuales, a través de distintas cohortes generacionales, según los sistemas de sexo/género, con efectos acumulados al parentesco no solo en términos consanguíneos y de gestación sino en los componentes de crianza y socialización, desde la primera infancia y durante las diferentes fases de la trayectoria de vida. En tal sentido, los diferenciales de vida –en todas sus dimensiones– y de la calidad de la salud de las personas y las colectividades reproducen la desigualdad social. Los indicadores de salud por la variable de pertenencia étnica–racial revelan dicha desigualdad.

Aunque Cali y el Valle del Cauca, según datos del Censo 2005, son respectivamente el municipio y el departamento con mayor población afrodescendiente en números absolutos de Colombia (26,2 % y 25,3 % respectivamente) hasta el presente no se cuenta con un perfil epidemiológico de esta población en términos comparativos con la no afrodescendiente y en general con la población total del municipio y departamento.

El trabajo preliminar realizado en 2010 por la Secretaría de Salud Municipal de Cali es una excepción significativa: este documento se procesó controlando por grupo étnico–racial (de forma experimental) la base de datos del Sistema de Vigilancia Epidemiológico (SIVIGILA) para Cali en 2009. De este análisis se obtuvo un cuadro de prevalencias de enfermedades con pruebas estadísticas significativas para la población afrodescendiente versus la no afrodescendiente.4

Existe un primer reporte sobre mortalidad en la población afrodescendiente y una presentación pública sobre prevalencias de enfermedades y muertes que elaboró la Secretaría de Salud Municipal de Cali (Muñoz, 2010a, 2010b). Sin embargo, fuera de estos valiosos reportes descriptivos, que desafortunadamente nunca tuvieron discusión ni procesamientos posteriores, la Secretaría de Salud de Cali no ha vuelto a retomar esta problemática.

Paradójicamente, estos estudios constituyen un deber constitucional de todas las entidades públicas, según se desprende de la Constitución de 1991, en lo que respecta a los derechos constitucionales de las minorías étnicas, y de la Ley 70 de 1993 sobre los derechos de las comunidades negras en materia de información estadística que afecte seriamente sus condiciones de vida. Que las Secretarías de Salud del municipio de Cali y del Departamento del Valle carezcan de perfiles epidemiológicos de la población afrodescendiente para diseñar e implementar políticas de salud pública diferenciadas para la gente negra a nivel local y regional, es preocupante. Sobre todo por el significativo peso demográfico que esta población tiene en las dos unidades territoriales.

Hay trabajos académicos realizados por el grupo CIDSE–COLCIENCIAS, de la Facultad de Ciencias Sociales y Económicas de la Universidad del Valle (Estudios étnico– raciales y del trabajo en sus diversos componentes): a partir de los resultados del Censo 2005, han demostrado que esta población enfrenta peores condiciones de vida, comparada con el conjunto de la población caleña y vallecaucana.

El presente artículo tiene como objetivo identificar, comparar y analizar descriptivamente los patrones de mortalidad entre la población afrodescendiente y la blanca– mestiza (población NO afrodescendiente), por sexo y grupos etarios, para Santiago de Cali y el Valle del Cauca, apoyados en los microdatos del reporte de fallecidos en el Censo 20055 y del Certificado de Defunción del año 2010.6

Existen limitaciones respecto a la información para el año 2010; los microdatos del Certificado de Defunción revelan una reducción abrupta de decesos para la población afrodescendiente, y paralelamente se observa un incremento del número de fallecidos caracterizados como blancos–mestizos. Esto permite proponer la hipótesis del subregistro7 en las muertes de afrodescendientes, especialmente entre los hombres a partir del grupo etario 45–49 años. El subregistro en los decesos alude principalmente al "blanqueamiento" de los fallecidos, en otras palabras, muchos de los fallecimientos de afrodescendientes son clasificados en la categoría "ninguno de los anteriores" –blanco/ mestizo– del Certificado de Defunción.8

Con todo, los hallazgos son muy sólidos y consistentes, incluso al nivel descriptivo de los índices sociodemográficos de mortalidad. Esta aproximación descriptiva evidencia sobre–mortalidad para la población afrodescendientes respecto a la no afrodescendiente en el rango etario de 10 a 29 años. El hallazgo advierte una fuerte desigualdad social en desmedro de la población afrodescendiente en términos de menores años de vida, tanto para hombres como mujeres. Sin embargo, los descubrimientos anteriores son preliminares y en cierta manera provisionales, si tenemos en cuenta que se presenta un considerable subregistro de población afrodescendiente en los datos del Certificado de Defunción para el 2010. Esto permite sugerir la hipótesis de que esa desigualdad puede ser más amplia.

El presente documento se ordena así: primero presenta el marco teórico y la bibliografía concernientes a las desigualdades sociales a partir de la pertenencia étnica–racial; luego se incluyen algunas consideraciones metodológicas útiles para el desarrollo del problema de investigación. En tercera parte se analizan las pirámides y tasas de mortalidad por grupo étnico–racial –afrodescendientes y no afrodescendientes– para Cali y Valle del Cauca; y en la cuarta se estudian las diferencias en los porcentajes de mortalidad acumulados por sexo y grupo étnico–racial para las unidades territoriales estudiadas. La sección quinta aborda el problema del subregistro en el Certificado de Defunción 2010. La última sección esgrime las principales conclusiones del artículo.

 

Marco teórico y estado del arte

En este documento asumimos que la dimensión étnico–racial en interacción con la clase social son factores determinantes en los patrones de mortalidad de las poblaciones. En ningún momento puede asignarse a esta dimensión una entidad biológica, ya que es resultado de procesos socio–históricos; los grupos étnicos y raciales son construcciones socio–históricas de las desigualdades sociales (Wade, 2000). Sin embargo, a diferencia de las clases sociales en la tradición sociológica clásica (por ejemplo, en Marx y Weber) y contemporánea (en la dirección de Bourdieu y de un postweberiano como Goldthorpe), que se apoyan en la propiedad de los medios de producción, en el mercado de trabajo, en la estructura ocupacional o en la posesión o acumulación de diferentes capitales (simbólico, económico, cultural, escolar, social), las desigualdades étnico–raciales tienen que ver con un sistema social jerárquico que opera en todas las sociedades, arbitrariamente los individuos son clasificados según esas variaciones culturales y fenotípicas (Wade). Tanto las clases sociales como los grupos étnico–raciales operan en relaciones de dominación y por lo mismo son el soporte de las desigualdades de la estructura social.

Esta investigación asume la perspectiva de América Latina y de Colombia en particular para la articulación entre la clase social y el componente raza/etnicidad. Los resultados de recientes estudios: Project of Race and Ethnicity in Latin America (PERLA, Universidad de Princeton) para Brasil, Colombia, México y Perú, y Latin American Public Opinion Proyect (LAPOP) de la Universidad de Vanderbilt, para más de 20 países de América Latina, señalan la presencia de una pigmentocracia social, en donde las clases sociales tienen colores de piel (Telles y Steele, 2012; Telles, 2014; y Telles, Flores y Urrea, 2015). Señalada en el caso colombiano por Urrea, Viáfara y Viveros (2014: 81–125).

Las diferencias epidemiológicas por supuesto se apoyan en factores biológicos (principalmente sexo y edad) en interacción con factores sociales como clase y raza/ etnicidad.9 Este estudio no se identifica con los enfoques biologistas sobre la raza y la etnicidad, porque como lo muestran recientes estudios sobre poblaciones genéticas y modalidades de autoidentidad étnica–racial por ancestralidad u origen y formas de heteroclasificación por colores de piel, no existe necesariamente una correspondencia precisa que permita afirmar la existencia de una "enfermedad" por grupo racial o étnico (Ventura, Fry et al., 2009). Sin embargo, sí podemos proponer que los grupos étnico–raciales (incluyendo a la población que se asume por autoidentidad como "blanca" o "mestiza" también como un grupo determinado) en cuanto construcciones desiguales, revelan diferencias en los patrones de mortalidad y, por tanto, en las probabilidades de sobrevivencia según cohorte etaria y sexo biológico (Urrea, 2012).

La perspectiva del componente étnico–racial, eje entre los determinantes sociales de la salud, asume los aportes más recientes de la epidemiología social de tradición inglesa y la sociología de la salud en interacción con una sociología de la raza. A este respecto es fundamental el artículo de Nazroo y Williams (2005) sobre la determinación social de las desigualdades étnico–raciales en la salud, incluido en el libro editado por Marmot y Wilkinson (2005: 238–266) sobre los determinantes sociales de la salud.

Por otro lado, vale la pena preguntarse: ¿Cuáles son las diferencias en los patrones de mortalidad de la clase social versus el componente étnico–racial? ¿En qué medida se yuxtaponen los dos factores? También en la dirección ya clásica de Hummer (1996) podríamos preguntarnos: ¿Cuáles son los condicionantes que incorpora el efecto raza– etnicidad más allá de las diferencias de clase o socioeconómicas, por ejemplo, en las mayores tasas de mortalidad de la población afroamericana? ¿Es posible aplicar la misma hipótesis de Hummer al caso colombiano en la ciudad de Cali, con mayores tasas de mortalidad para la población afrodescendiente, comparada con la no afrodescendiente, para ambos sexos y todos los grupos etarios como lo ha demostrado Urrea (2012) a partir de datos del Censo 2005? ¿Qué importancia juega la ideología del racismo en los diferenciales de mortalidad entre dos grupos poblacionales?

Este estudio no llega a determinar cuál de los factores pesa más, por el carácter metodológico más descriptivo del análisis propuesto.10 No obstante, puede ser un primer paso para futuras investigaciones que evalúen los impactos diferenciales de cada uno de los dos factores.

La literatura más cercana al tipo de estudio aquí presentado es indiscutiblemente la del Brasil, que es el país latinoamericano con mayor tradición en estadísticas raciales. En el tipo de estudios sobre patrones de mortalidad según grupos étnico–raciales vale la pena señalar estos estudios, que tienen que ver con la temática de este artículo y además fueron publicados en el libro de la FUNASA (Fundação Nacional de Saúde) en 2005: F. Lopes, sobre experiencias de nacer y morir entre la población negra; Paixão, Carvano, de Castro Oliveira y Ervatti, sobre los diferenciales de esperanza de vida y de años de vida perdida según grupos de raza/color y sexo en el Brasil para diferentes regiones; Cunha y Jakob, diferencias raciales en los perfiles y estimativos de la mortalidad en Brasil; y Batista, Volochko, Ferreira y Martins, sobre patrones de mortalidad en la población adulta por grupos étnico–raciales y sexo. Sobre violencia homicida por grupo étnico–racial en Brasil, el estudio de Waiselfisz (2012); y una compilación reciente sobre juventud, violencia y territorios en Brasil y en Francia, con estudios en las favelas de Belo Horizonte y Rio de Janeiro con altas concentraciones de jóvenes negros (pretos y pardos), editado por Duprez, Chéronnet y Vargas (2015).

 

Consideraciones metodológicas

El análisis aquí propuesto se vale de dos tipos de fuentes de información o metadatos. En primer lugar, la información compilada en el módulo de defunciones del Censo 2005 (DANE) correspondiente a Cali y Valle del Cauca. De ahí, la pregunta 24 del formulario de hogares (básico): "¿Cuántas personas que eran miembros de este hogar han fallecido en los últimos doce meses?" (Ver Anexo 1) permite capturar los decesos por hogar, haciendo la aclaración que para la pertenencia étnica–racial del fallecido se toma la del hogar. Con esta información se construyeron tablas por sexo y edad al morir; además, este mismo ejercicio fue realizado para el conglomerado del oriente de Cali (comunas 7, 13, 14, 15 y 21). De modo similar, fueron generadas las tasas de mortalidad por sexo y grupos quinquenales etarios, controlando por grupo étnico–racial: afrodescendientes y no afrodescendientes.

La segunda fuente de información corresponde a las bases de datos de mortalidad (Certificado de Defunción) del año 2010, cedidas por las Secretarías de Salud Departamental y Municipal. Se utilizó la pregunta 18 del cuestionario del certificado de defunción correspondiente a la información general: "De acuerdo con la cultura, pueblo o rasgos físicos, el fallecido era o se reconocía como: indígena, Rom (gitano), Raizal del Archipiélago de San Andrés y Providencia, Palenquero de San Basilio, negro( a)–mulato(a)–afrocolombiano(a)–afrodescendiente, ninguno de los anteriores" (Anexo 2). Una vez depurada esta información para conocer la estructura por edad y la composición por sexo de la mortalidad, en ambos grupos étnico–raciales, se elaboraron las pirámides de mortalidad.

En segundo lugar se realizaron procedimientos para estimar las brechas de mortalidad promedio entre la población afrodescendiente y la no afrodescendiente, utilizando la regresión de Poisson (procedimiento estadístico que tiene la fortaleza de tomar en cuenta y ponderar, todos los datos de la serie de interés).11 Hay que señalar que no era posible comparar el módulo de mortalidad del Censo 2005 con el Certificado de Defunción del 2005, debido a que en este último registro de las muertes solo desde 2007 se introdujo la variable étnica–racial, estandarizada desde 2009 al nivel nacional.

Lo primero fue estimar la brecha de mortalidad entre ambos grupos étnicos, afros y no–afros; se hizo la misma estimación, esta vez desagregada según edad y género. Luego se estimó el porcentaje acumulado de la experiencia de mortalidad entre los grupos étnicos y según género, a lo largo del curso de vida y en grupos específicos de edad, como adolescentes y jóvenes, debido a que los datos presentaban una sobre mortalidad en este grupo etario. A través de la técnica de Poisson se evaluó si las diferencias encontradas eran reales o podrían ser explicadas por el azar.

Identificamos algunas diferencias entre los datos de mortalidad vía Censo y los del Registro de Defunciones. Los datos censales miden toda la población fallecida censada según pertenencia étnica–racial, pero presenta subregistro poblacional y por lo mismo una subestimación de la mortalidad. El Certificado de Defunción, que es de obligatorio cumplimiento, mide toda la población fallecida al año por sexo y edad, además de causas de muerte y otras características. En el Censo 2005 el peso de las defunciones de afrodescendientes sobre el total de decesos fue de 31,01 %, mientras que el mismo indicador para la población no étnica fue 68,27 %; en el Certificado de Defunción las muertes de afrodescendientes respecto al total se redujeron al 15,32 %. Paralelamente el peso de las defunciones de no étnicos incrementó su participación en el registro al 76,13 %. La pérdida de participación en el total de defunciones de la población negra, permite plantear la hipótesis del subregistro étnico–racial, que corresponde a una mala clasificación de la pertenencia étnica en el certificado de defunción, es decir, un segmento de la población fallecida afrodescendiente aparece como sin pertenencia étnica (o sea como población blanca–mestiza).

Es cierto que no se equiparan el registro permanente del Certificado de Defunción (tipo estadísticas vitales) y la información compilada en el Censo de Población sobre defunciones, puesto que se trata de diferentes metodologías. No obstante, los estudios demográficos contemporáneos utilizan cada vez más la estrategia complementaria de capturar información de mortalidad vía censos de población, cuya ventaja es observar mejor la relación entre las muertes y los hogares censados, y permitir mejor captura del sexo, la edad y la pertenencia étnica–racial del difunto. Por ello, aunque la relación entre defunciones y poblaciones según pertenencia étnica–racial con sus pesos demográficos tiene mayor coherencia, el ejercicio censal es un excelente recurso para la estimación de la mortalidad (CELADE–CEPAL, 2007). Los resultados censales pueden presentar problemas de subregistro medible en relación con el registro continuo de decesos (Certificado de Defunción), como ha podido ser el caso en Colombia: los datos del censo capturan menos decesos en el año anterior (1 de Julio 2004 a 30 de Junio 2005) que el registro institucional de defunciones.12

 

Pirámides y tasas específicas de mortalidad por grupo étnicoracial, sexo y edad para Cali, Conglomerado Oriente y Valle del Cauca, 2005 y 2010.

Esta sección presenta las pirámides de mortalidad por grupo étnico–racial según Censo 2005 y Certificado de Defunción 2010, para el total del municipio de Cali, el conglomerado de comunas de la zona Oriente de la ciudad, y el conjunto del Valle del Cauca. Igualmente se analizan las tasas de mortalidad por grupo étnico–racial, sexo y grupos quinquenales etarios, para Cali, según datos del Censo 2005 y Certificado de Defunción, 2010. Posteriormente, son presentados los diferenciales porcentuales de mortalidad acumulada por todas las causas de muerte y causas violentas por grupo étnico–racial (afrodescendiente y no étnico), sexo y rango etario. Las estimaciones de tasas específicas de mortalidad descansan sobre los microdatos del censo 2005 y las proyecciones poblacionales a 2010, para Valle y Cali.

Pirámides de mortalidad por grupo étnico–racial, sexo y edad para Cali y zona Oriente de Cali, 2005 y 2010

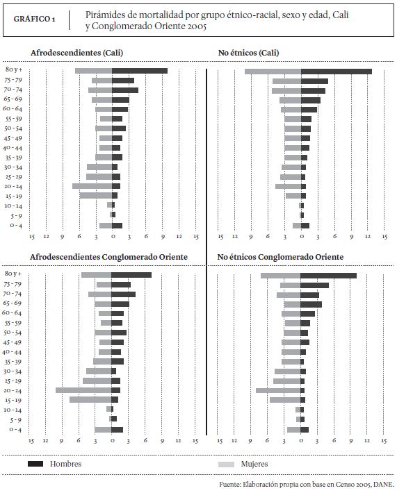
Las pirámides de mortalidad son un instrumento estadístico útil para apreciar la distribución de mortalidad de una población, porque permiten observar los rangos de edades donde se presentaron los mayores porcentajes de defunciones respecto al total. A este respecto, según grupo étnico del Censo 2005 para el conjunto de la ciudad de Cali, las pirámides de mortalidad exhiben diferencias importantes al comparar la población afrodescendiente con la población no étnica (ver Gráfico 1). En primer lugar, se percibe mayor mortalidad de niños y niñas de 0 a 4 años en la población afro; adicionalmente encontramos que entre los 15 y 19 años de edad, el porcentaje de hombres afrodescendientes muertos duplica el porcentaje de no afrodescendientes, disparándose en el grupo de edad entre 20 y 24 años, grupo etario donde se presenta mayor mortalidad de hombres afrodescendientes en el municipio. Entre los 25 y 34 años, la mortalidad de hombres negros disminuye, pero continúa siendo superior a la de los hombres blanco–mestizos.

 

El Gráfico 1 evidencia una sobre mortalidad en los grupos de adolescentes y jóvenes, particularmente entre hombres, tanto afrodescendientes como no étnicos, muy sugestiva de ser consecuencia de las denominadas causas externas o violentas –datos que serán mostrados más adelante, cuando se presenten las principales causas de muerte en estos grupos–, sin embargo, este fenómeno es más acentuado entre la población masculina afrodescendiente. Para el caso femenino, la mortalidad en el municipio es considerablemente menor que la masculina. De modo similar, por grupo étnico–racial se registra un mayor porcentaje de decesos de mujeres negras en comparación con las mujeres blancas/mestizas. La mayor mortalidad de mujeres negras se refleja en la mayor amplitud de la pirámide a medida que avanza la edad, mientras que la mortalidad de mujeres afros presenta variaciones en todo el curso de vida.

La zona oriente (comunas 7, 13, 14, 15 y 21) es la que concentra el mayor porcentaje de población afrodescendiente o negra mulata según los datos de la Encuesta de Calidad de Vida y Empleo, Cali 2012 (CIDSE–UNIVALLE, 2014); igualmente, es la zona con mayor vulnerabilidad del municipio, incluso comparándola con el sector de ladera y la zona rural. Al analizar las pirámides de mortalidad del conglomerado Oriente por grupos étnico–raciales, encontramos que la mortalidad de niños y niñas de 0 a 4 años de edad supera la mortalidad del municipio en este rango de edad, siendo los niños afrodescendientes quienes presentan mayores decesos. Igualmente, los hombres adolescentes y jóvenes de este sector presentan una sobremortalidad mayor que la mortalidad adolescente y de adultos jóvenes del municipio, como era de esperarse los afrodescendientes son los más afectados: más del 9 % de la población masculina afro del Oriente entre 20 y 24 años falleció en el 2005 (ver Gráfico 1). Es decir: los hombres afrodescendientes están muriendo a edades muy tempranas.

La mortalidad femenina en la zona Oriente, igual que a nivel municipal, es significativamente menor que la masculina, y no se concentra en la adolescencia y juventud; las mujeres tienden a morir a edades más avanzadas, en la adultez; no obstante, las mujeres negras presentan mayor porcentaje de muertes en comparación con las mujeres blancas/mestizas (ver Gráfico 1).

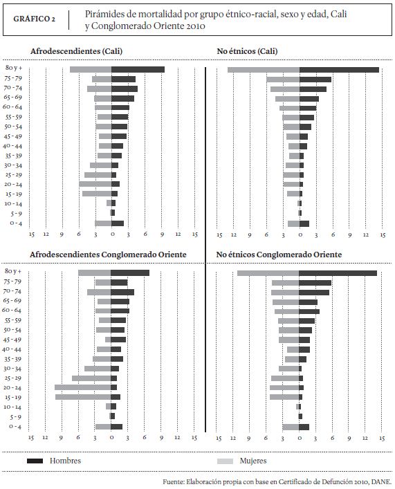
Al observar las pirámides de mortalidad realizadas con datos de certificado de defunción año 2010 para Cali, se encuentra que la mortalidad de niños y niñas menores de 5 años es mayor que en los datos del Censo 2005, pero la mortalidad de adolescentes y adultos jóvenes tanto afros como no afros es menor; no obstante, la mortalidad masculina también se concentra en dichas etapas y, como era de esperarse, los decesos de hombres negros superan las muertes de los hombres blanco–mestizos (ver Gráfico 2). En el caso de las mujeres, la mortalidad después de los 5 años tiende a aumentar paulatinamente, cabe resaltar que las mujeres afros presentan algunas variaciones, especialmente entre los rangos de edad de 15 a 24 años, donde aumentan los decesos.

 

El Gráfico 2 también suministra información sobre la distribución de mortalidad de afrodescendientes y no étnicos para el conglomerado oriente de Cali. En ese sentido, el peso porcentual de las defunciones de hombres afrodescendientes respecto al total es significativamente mayor al que exhiben los hombres no étnicos, sobre todo en el rango de edad de 15 a 34, esto se traduce en una mayor sobremortalidad de hombres jóvenes negros respecto a los blanco–mestizos. Al mismo tiempo, la tendencia de mortalidad que se evidencia en el conjunto de la ciudad se traslada: la participación de las mujeres afrodescendientes es mayor a la de las no étnicas.

Pirámides de mortalidad por grupo étnico–racial, sexo y edad para Valle del Cauca, 2005 y 2010.

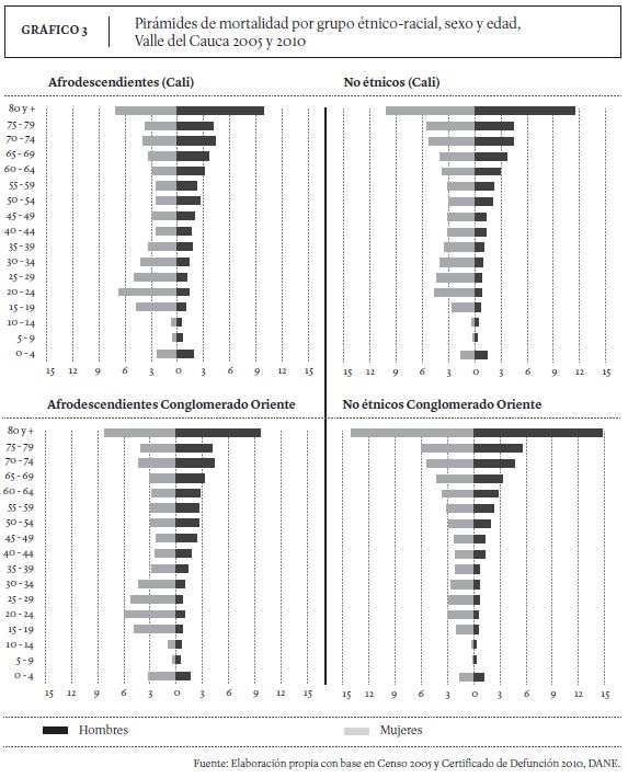
Las pirámides de mortalidad según grupo étnico, obtenidas a partir del Censo 2005 para el Valle del Cauca, evidencian la sobremortalidad masculina de adolescentes y jóvenes adultos en el departamento, siendo los afrodescendientes los más afectados, especialmente en los rangos de edad entre 20 a 24 años (ver Gráfico 3). Tanto las mujeres del departamento como a nivel de Cali, presentan menor mortalidad que los hombres adolescentes y adultos jóvenes, pero las afros mueren más en estos grupos etarios que las mujeres no afros, quienes tienen mayor participación porcentual en la adultez, especialmente después de los 80 años (ver Gráfico 4).

 

 

Al comparar los datos de mortalidad masculina del certificado de defunción 2010 con los del censo 2005 para el Valle del Cauca, se evidencia una mayor mortalidad en el certificado para niños menores de 5 años, principalmente afrodescendientes; igualmente se percibe sobremortalidad masculina en la adolescencia y la juventud, aunque los datos del certificado son inferiores, especialmente para la población no étnica. Por otro lado, se encuentran mayores porcentajes de decesos de población masculina blanca/ mestiza en la adultez, superando considerablemente el porcentaje de mortalidad de hombres negros, esto se debe a los menores porcentajes de decesos de hombres afrodescendientes de 45 años y más en el certificado, en comparación con los datos del Censo 2005 (ver Gráfico 3).

En el caso de la mortalidad femenina, se encuentra en ambas fuentes de información porcentajes significativamente inferiores de muertes de mujeres en la adolescencia y en la etapa joven adulta en comparación con los decesos de los hombres, pero al comparar las mujeres negras con las mujeres blancas/mestizas, las primeras presentan mayores porcentajes de decesos en etapas de 15 a 39 años. Por otro lado, en el Certificado de Defunción 2010 se encuentra que la mortalidad de mujeres no afrodescendientes (y también de hombres no étnicos como ya se mencionó) se intensifica en la tercera edad, sobre todo de 80 y más años, superando los datos para ese grupo etario del Censo 2005 (ver Gráfico 3), fenómeno esperado por el aumento del envejecimiento en los cinco años que separan las dos fuentes. Contrariamente, que la población afrodescendiente de mujeres y hombres llegue a morir en edades más jóvenes significa años menores de vida.

Tasas específicas de mortalidad por grupo étnico–racial, sexo y edad para Cali, 2005 y 2010

Las curvas de mortalidad permiten observar el comportamiento de la mortalidad a través de los años o el trascurso de vida de una determinada población, en ese sentido, se elaboraron gráficas de tendencia de curso de vida por grupo étnico–racial y sexo para observar alguna desviación de lo esperado. La forma usual de una curva de mortalidad a lo largo del curso de vida, semeja una jota; como puede apreciarse, la curva obtenida se aleja mucho de dicha forma, presentando una sobremortalidad entre los grupos de adolescentes y jóvenes, especialmente entre los hombres (ver Gráfico 4).

Las gráficas 4 y 5 hacen más evidentes las diferencias y similitudes de los datos de mortalidad del Censo 2005 en comparación con los datos del Certificado de Defunción 2010. Puede observarse que las tasas de mortalidad de los adolescentes y jóvenes adultos masculinos son evidentemente mayores que las tasas de mortalidad femenina en ambas fuentes, además, es apreciable que los hombres negros son los más afectados. También se percibe una mayor brecha en las tasas de mortalidad entre mujeres afrodescendientes y no étnicas en comparación con las tasas de mortalidades entre los hombres de ambos grupos étnico–raciales, afros y no afros, especialmente en las etapas de la adolescencia y la juventud (ver Gráficos 4 y 5).Asimismo, es evidente que para los datos del Certificado de Defunción 2010, después de los 45 años las tasas de mortalidad de los hombres afrodescendientes tienden a acercase a las tasas de mortalidad de los no afrodescendientes, incluso llegan a ser menores después de los 60 años; mientras que en el censo 2005 las tasas de mortalidad de hombres negros se preservan superiores a las de los blanco–mestizos en todo el curso de vida. Esto puede explicarse por el subregistro de información de decesos de hombres afrodescendientes en el certificado de defunción 2010 (ver Gráficos 4 y 5).

 

 

Porcentajes de mortalidad acumulada para diferentes modalidades de violencia y todas las causas de muerte por grupo étnico–racial, sexo y rango etario para Cali y Valle del Cauca, 2005 y 2010

A continuación analizaremos el porcentaje acumulado de mortalidad por diferentes modalidades de violencia –excluyendo suicidios– en el municipio de Cali, según sexo, pertenencia étnica y grupos etarios, a partir de los datos del Certificado de Defunción 2010.

Porcentaje acumulado de mortalidad por diferentes modalidades de violencia, según sexo, pertenencia étnico–racial y grupos etarios, Cali, registros de defunción 2010

Es importante resaltar que los principales afectados por las diferentes modalidades de violencia (muerte por homicidio) son los hombres; la mortalidad por asesinato comienza a ascender en edades tempranas como los 10 años (agresiones no auto–infligidas según el código CIE–10), convirtiéndose en la principal causa de muerte en la adolescencia y la juventud, especialmente en los hombres negros. La población afrodescendiente es la más afectada por muertes violentas durante todo el curso de vida: a los 14 años cerca del 40 % de los decesos de hombres afrodescendientes se debe a asesinatos, para el rango de edad de 15 a 19 años el porcentaje escala hasta al 80 % y a poco más de esta cifra entre los 20 y 24 años. En el caso de los hombres blanco–mestizos, a los 14 años el 30 % de las muertes se debe a homicidios, alcanzando el 70 % entre los 15 y 19 años, luego desciende algunos puntos porcentuales entre 20 y 24 años. Estos porcentajes muestran que la población masculina tiene mayores riesgos de morir a edades tempranas, lo cual reduce la esperanza de vida de esta población, especialmente la de los afrodescendientes (ver Gráfico 6).

 

Después de los 24 años los porcentajes de muertes por homicidio de hombres de ambos grupos étnico–raciales tienden a disminuir, pero el descenso en los hombres afrodescendientes es más bien lento y presenta algunas fluctuaciones. A los 29 años, el porcentaje acumulado de muertes por causas violentas de los hombres negros cae por debajo de 70 %, llegando a menos de 50 % a los 39 años; conserva ese porcentaje hasta los 44 años, y desciende a poco más de 20 % a los 49 años. En las edades posteriores el descenso es progresivo. Para el caso de los hombres no étnicos, la mortalidad por homicidio entre las edades de 25 y 29 se mantiene en menos de 70 %, se reduce rápidamente a 50% entre los 30 y 34 años, baja algunos puntos porcentuales a los 39 años, y después empieza a descender progresivamente (ver Gráfico 6). Estos datos muestran que en la adultez, las modalidades de violencia homicida gradualmente dejan de ser las principales causas de mortalidad masculina, tomando importancia otras causas de muerte.

Al analizar los porcentajes de mortalidad femenina, se observa que los porcentajes de muertes por homicidio son significativamente menores a los porcentajes de los hombres. No obstante, un hallazgo importante es que poco más del 20 % de las muertes de niñas afrodescendientes y del 10 % de niñas sin pertenencia étnica entre 9 y 14 años, se deben a esta causa (ver Gráfico 6). Una de las principales causas aparece clasificada como "balas perdidas": eventos que ocurren en los enfrentamientos entre pandillas

Si bien, en el caso de las mujeres adolescentes y jóvenes las causas de muertes violentas no son la principal causa de muerte, los porcentajes no son despreciables. Entre los 15 y los 24 años, los porcentajes de muertes por homicidio de mujeres negras presentan una brecha amplia en relación con los porcentajes de las mujeres sin pertenencia étnica, siendo las primeras las más afectadas. A los 19 años, poco más de 40 % de las mujeres afrodescendientes murieron por esta causa, mientras que menos de 20 % de las mujeres no étnicas fallecieron por medios violentos. A los 24 años, el porcentaje de decesos de mujeres negras por muertes violentas disminuye algunos puntos porcentuales, mientras que para las mujeres blancas/mestizas crece exiguamente; a los 29 años la mortalidad femenina de ambos grupos étnico–raciales por homicidio es de 20 %, y a los 34 años ambas descienden a 10 %. Cabe resaltar que entre 35 y 44 años los decesos femeninos de afrodescendientes por causa violenta aumenta varios puntos porcentuales, mientras que el porcentaje de muertes de mujeres no étnicas sigue reduciéndose. De los 45 en adelante, los decesos femeninos por esta causa pierden importancia porcentual en ambos grupos étnicos (ver Gráfico 6). En síntesis, la evidencia señala a Cali como un territorio muy peligroso para la sobrevivencia de los adolescentes o jóvenes afrodescendientes, de ambos sexos, especialmente por violencia homicida.

Mortalidad acumulada (todas las causas de muerte) en hombres y mujeres por pertenencia étnica–racial, sexo y en el rango etario 45–49 años para Cali y Valle del Cauca, 2005 y 2010

Los porcentajes de mortalidad acumulada por todas las causas según los datos del Censo 2005 muestran que antes de los 50 años de edad ha fallecido el 55,9 % de los hombres afros, mientras que el 42,9 % de los no afrodescendientes han muerto antes de dicha edad; aunque ambos porcentajes son altos, existe un diferencial de 13 %, esto conlleva a que la esperanza de vida de los hombres afrodescendientes sea considerablemente menor (ver Gráfico 7).13 Recordemos que en la zona oriente se concentra esta población, y es la zona más vulnerable en términos socioeconómicos, existen porcentajes altos de población con bajos niveles educativos, condiciones laborales precarias, delincuencia común, víctimas del conflicto armado, lo cual agudiza las desigualdades sociales frente a otros grupos étnico–raciales en el municipio.

 

En el caso de las mujeres, se observa que la mortalidad acumulada por todas las causas de las mujeres negras hasta la edad de 49 años es de 29,1 %, en contraste con el 20,9 % de la mortalidad acumulada de las mujeres blancas/mestizas. Aunque la esperanza de vida de las mujeres negras es mayor que la de los hombres negros, también se percibe desigualdad en relación con las mujeres de otros grupos étnico–raciales (ver Gráfico 7).

Al observar los porcentajes de mortalidad acumulada por todas las causas de los hombres en Cali, según los datos de certificado de defunción 2010, se encuentra que el 49,5 % de los hombres afros han muerto antes de los 50 años, o sea 6,4 % menos que los datos del censo 2005, y en el caso de los hombres blanco–mestizos, el 34,1 % han muerto antes de llegar a esa edad, es decir, 10 % menos que en el censo (ver Gráfico 8). Esto puede explicarse por el subregistro de información del certificado.

 

Por otro lado, el 14,7 % de las muertes de mujeres blancas/mestizas ocurren antes de cumplir los 50 años, mientras que entre las afrodescendientes es el 21,8 %. Al comparar los porcentajes del certificado 2010 con los del censo 2005, la diferencia es de 6,2 puntos porcentuales menos en el caso de las mujeres sin pertenencia étnica, y de 7,3 % menos en las afrodescendientes (ver Gráfico 8).

De modo similar, para Valle del Cauca los datos del Censo 2005 muestran que el 56,1 % de los hombres afrodescendientes del departamento han fallecido antes de los 50 años, mientras que entre los hombres no afros es el 44,1 % (ver Gráfico 9). En el caso de las mujeres del departamento según datos del censo 2005, el 28,7 % de las mujeres negras han muerto antes de los 50 años, mientras que el 21,8 % de las mujeres blancas/ mestizas han fallecido antes de esa edad.

 

Al comparar los porcentajes de mortalidad acumulada en el grupo etario 45 a 49 años, según los datos del Censo para el Valle del Cauca, se encuentra que la diferencia entre hombres y mujeres afrodescendientes es de 27,4 puntos porcentuales, mientras que entre hombres y mujeres no étnicos es de 22,3. En el certificado de defunción 2010 las diferencias de mortalidad acumulada por sexos entre afrodescendientes es de 23,5, y la brecha entre los sin pertenencia étnica es de 17,9. Esta información evidencia que la población negra no sólo muere más que los blanco–mestizos, sino que las brechas por sexos en este grupo étnico son más amplias (ver Cuadro 1).

 

Para el caso de Cali las diferencias entre sexos de los dos grupos étnicos, muestran patrones similares a lo mencionado para el departamento: según el Censo 2005, las diferencias de mortalidad acumulada antes de los 49 años entre hombres y mujeres afrodescendientes es de 26,8 y entre hombres y mujeres sin pertenencia étnica es de 22, mientras que en el certificado de defunción 2010 la brecha entre afrodescendientes es de 27,8 y entre no étnicos es de 19,4.Por otro lado, en el Valle del Cauca la diferencia de mortalidad acumulada en el grupo etario 45 a 49 años entre hombres de ambos grupos étnico–raciales según el censo 2005 es 12 y entre mujeres es de 6,9 puntos porcentuales. En el Certificado de Defunción, la diferencia es de 14,2 entre los hombres y de 8,6 entre mujeres; evidentemente las brechas son mayores en esta última fuente (Cuadro 1). En el caso de Cali, el censo arroja que el diferencial entre hombres y mujeres afrodescendientes y no étnicos es de 13 y 8,2 respectivamente. Mientras que en el certificado, el diferencial de mortalidad acumulada hasta ese rango de edad, entre los hombres de los dos grupos étnico–raciales es de 15,5 y entre las mujeres es de 7,1 (Cuadro 1).

 

Fenómeno de subregistro de población afrodescendiente en el Certificado de Defunción y diferenciales de mortalidad por grupo étnico–racial, sexo y grupos etarios, 2005 y 2010

En el artículo se ha mencionado en varias ocasiones que existe un subregistro de información en el Certificado de Defunción 2010, para soportar dicha deducción a continuación se analiza, por un lado, la relación entre los datos de la población de Cali y el Valle por grupos étnico–raciales para el año 2005 según datos del Censo, y la información de mortalidad que también arroja dicho Censo; y por otro lado, la relación entre las estimaciones de población para el año 2010 por grupos étnico–raciales realizadas por el CIDSE/CEDETES14, y los datos de defunción del certificado de defunción 2010.

En 2005, el peso de la población blanca/mestiza respecto al total del Valle del Cauca era el 72,5 % de la población total del departamento, lo cual corresponde con el porcentaje de personas que de este grupo étnico–racial murieron en dicho año: 70,7 % según el Censo. Mientras que la población afrodescendiente del Valle de Cauca en ese año correspondía al 27 % de la población total, coherente con los decesos de afrodescendientes en el departamento: 28,6 % (ver Gráfico 10).

 

Ahora bien, al observar los datos del año 2010 se encuentra un diferencial entre la población de ambos grupos étnico–raciales y las defunciones, el cual no se explica por cambios en las condiciones sociales, económicas y políticas de los lugares donde principalmente socializan estos grupos étnico–raciales. La población sin pertenencia étnica representaba el 71,2 % de la población total en el año 2010, y el 81,2 % de las defunciones correspondieron a personas de este grupo, o sea hubo más muertes de las esperadas (10 % más) en relación con la proporción de la población y el patrón de muertes del Censo. En el caso de los afrodescendientes, encontramos que el 27,5 % de la población total era negra, y tan solo el 17,6 % de las muertes eran de personas de este grupo étnico, es decir, el peso sobre el total de defunciones de afrodescendientes se redujo en diez puntos porcentuales por debajo de las muertes esperadas para este grupo étnico (ver Gráfico 10). Este contrasentido demográfico permite deducir la existencia de subregistro de defunciones por grupo étnico–racial, ya que en el certificado de defunción aumentaron las muertes de los blanco–mestizos y paralelamente disminuyeron las correspondientes a la población negra, ambas en un 10 %.

Un patrón similar se percibe en los datos de Cali: en el año 2005, el censo arroja que el 73,3 % de la población era blanca/mestiza y el 68,3 % de los decesos era de gente de este grupo étnico–racial. Mientras que el 26,2 % de la población era negra, y el 31 % de las muertes eran personas afrodescendientes. Pero en el año 2010 la brecha es superior: en Cali el 70 % de las personas eran blancas/mestizas, y el 80 % de la mortalidad correspondía a personas sin pertenencia étnica; al observar los datos de la población afrodescendiente se encuentra que el 26,8 % de las personas eran negras y el 17 % de los decesos correspondían a esta población (ver Gráfico 10). El diferencial entre la población de ambos grupos étnico–raciales y los decesos en el 2010 en Cali, igual que en el Valle del Cauca, es de 10 %.

Comparación de los diferenciales de mortalidad por grupo étnico–racial, sexo y grupos etarios para Cali y Valle del Cauca, 2005 y 2010

A continuación se analizan los diferenciales de mortalidad entre los dos grupos étnico– raciales por sexo para Cali y el Valle del Cauca, en todo el curso de vida y tres grupos etarios: menor de 50 años, mayor o igual a 50 años y entre 15 y 34 años de edad, a través del método de Poisson, tal como se detalló en las consideraciones metodológicas. Para el caso de Cali, en 2010 se encuentra que el promedio diferencial de mortalidad entre hombres de los dos grupos étnico–raciales es de 0,69, siendo el límite superior 0,73 y 0,66 el inferior. Mientras que en 2005 el promedio es de 1,49, el límite inferior es de 1,42 y 1,56 el superior. Evidentemente los datos del Censo presentan mayor diferencia entre la mortalidad masculina de afrodescendientes y de no étnicos durante todo el curso de vida (ver Cuadro 2).

 

En las edades menores a 50 años, los cálculos de Poisson apoyados en los microdatos del Certificado de Defunción 2010 muestran que el promedio diferencial entre hombres negros y blanco–mestizos es de 0,97, mientras que dicho diferencial para el 2005 fue de 1,62. En el grupo de edad de mayor o igual a 50 años, estos arrojan un promedio diferencial de 0,53, por su parte en 2005 la brecha de mortalidad promedio fue de 1,36. Se evidencia entonces que los anteriores diferenciales son menores a los del curso de vida y a los del grupo etario de menores de 50 años, porque excluyen los datos sobre mortalidad adolescente y juvenil relacionada con causas de muerte exógenas. Finalmente, en el grupo etario entre 15 a 34 es donde se evidencian las mayores brechas entre hombres afrodescendientes y sin pertenencia étnica, tanto en 2005 como en 2010, consecuencia de la mayor proporción de muertes de la población afrodescendiente en relación con la no étnica, especialmente por causas externas tal como se pudo observar en los resultados de porcentajes de mortalidad acumulada por violencia homicida.

Ahora bien, al observar los diferenciales de muertes entre mujeres de ambos grupos étnico–raciales, según el certificado de defunción, el promedio diferencial de mortalidad en el curso de vida es de 0,63; en el caso del Censo 2005, la diferencia fue de 1,67. Esto muestra que los diferenciales en las mujeres entre los dos grupos étnico–raciales son mayores que las de los hombres, debido a la mayor brecha de muertes por medios violentos entre mujeres afrodescendientes y no étnicas en la adolescencia y la juventud, pero también por otros eventos de mortalidad a lo largo del ciclo de vida, que enfrentan con mayor riesgo las mujeres negras y mulatas (ver Cuadro 2). En el grupo etario de mujeres menores de 50 años, el certificado de defunción muestra que el promedio diferencial entre las afrodescendientes y las mujeres sin pertenencia étnica es de 0,98, mientras que el promedio diferencial en el Censo 2005 llegó a ser de 1,71. Por otro lado, en el rango de edad igual o mayor a 50 años, para el 2010 el promedio diferencial es de 0,55, mucho menor al 1,65 registrado en el 2005.

Igual que en los hombres, el grupo de edad entre 15 y 34 es el rango con mayores diferenciales de mortalidad femenina en ambas fuentes de información: en el certificado de defunción, el promedio diferencial es de 1,08, y en el censo es de 1,86. En síntesis, los diferenciales de mortalidad entre hombres y entre mujeres en el censo 2005, para el caso de Cali, muestran que las brechas en los tres grupos etarios son mayores en el caso de las mujeres negras versus las blanca–mestizas, especialmente en la adolescencia y la juventud, debido a la mayor proporción de muertes por causas violentas de mujeres negras en relación con las muertes de mujeres sin pertenencia étnica. Además, la considerable reducción del diferencial de mortalidad hacia el 2010 es explicado por el problema detectado de subregistro por mala clasificación de la pertenencia étnica–racial del fallecido, por el cual se produce un efecto de blanqueamiento de muertes de afrodescendientes, de manera que las diferencias en la mortalidad promedio pueden estar subestimadas.

De modo similar, las estimaciones de Poisson para el Valle del Cauca muestran que el promedio diferencial de mortalidad en el curso de vida entre hombres negros y blanco–mestizos fue de 1,21 y 1,25 respectivamente. Al comparar los diferenciales entre el municipio y el departamento, se encuentra que las brechas de mortalidad del departamento son mayores que las municipales en el certificado de defunción, pero menores en el Censo 2005 (ver Cuadro 2).

Las estimaciones del 2010 para el grupo etario menores de 50 años, el Certificado de Defunción 2010 arroja que el promedio diferencial de muertes entre hombres negros y blanco–mestizos es de 1,37, nuevamente menor al estimado para el 2005 (1,32). Estos resultados presentan el mismo patrón que los hallados para el curso de vida. Para los mayores de 50 años o más, los datos del 2010 revelan que el promedio diferencial de decesos entre hombres es de 11, también menores al del 2005: 1,18. Como mencionamos antes, los diferenciales en este grupo de edad son inferiores a los del curso de vida y a los del grupo etario de menores de 50 años, porque no incluyen los datos de mortalidad adolescente y juvenil.

El grupo etario entre 15 y 34 años es el grupo con mayores diferenciales en ambas fuentes de información. El certificado de defunción 2010 indica que el promedio diferencial de muertes fue mayor al estimado para el 2005, pues las brechas resultaron ser de 1,59 y 1,4. Esto se explica, tanto en el departamento como en Cali, por la brecha entre las muertes de hombres afros en relación con los no afros por causas violentas.

Por su parte, el diferencial de mortalidad femenina para todo el curso de vida indica que esta fue de 1,29 en 2010 y de 1,47 en 2005. Igual que en Cali, dichos diferenciales entre mujeres son mayores que los diferenciales entre los hombres en el Censo 2005, por incidencia del subregistro antes mencionado. Así mismo, el grupo etario de mujeres menores de 50 años muestra que el promedio diferencial entre mujeres negras y sin pertenencia étnica es de 1,51, moderadamente mayor al estimado para el 2005, el cual fue de 1,46. En el caso del rango de edad de igual o mayor a 50 años, los datos del certificado muestran que el promedio diferencial de muertes de mujeres afros y no afros es de 1,24, mientras que los diferenciales del censo –igual que en Cali– son notoriamente superiores: 1,48.

Finalmente, el grupo de edad entre 15 y 34: en el Certificado de Defunción, el promedio diferencial es de 1,43, entre tanto, los datos del Censo 2005 revelan que el diferencial fue de 1,51. En ambas fuentes de información las diferencias de mortalidad entre muertes de mujeres afros y no afros en este grupo de edad es mayor que las diferencias entre muertes de hombres de dichos grupos étnicos, en parte esto se explica por el mayor número de muertes violentas de mujeres afros en relación con las muertes de mujeres blanca–mestizas.

 

Conclusiones

La primera evidencia sobre el diferencial de mortalidad entre los grupos étnico–raciales analizados, tanto en el caso de Cali como del Valle, la ofrecen las pirámides de mortalidad. Estas ponen de relieve la sobremortalidad que sufre la población joven y adolescente, pero que afecta en mayores proporciones a los afrodescendientes (ambos sexos) versus los no étnicos (no afrodescendientes o blanco–mestizos). De igual manera, el análisis de las tasas específicas de mortalidad y los porcentajes acumulados de mortalidad revelan también que la mayor brecha entre grupos étnicos se encuentra entre las mujeres, siendo las afrodescendientes las que se encuentran en clara desventaja.

Los hallazgos revelan fuertes diferenciales según las estructuras de edad de los fallecimientos (pirámides) y por lo mismo en la mortalidad acumulada, que son concluyentes de patrones de mortalidad muy desiguales entre la población afrodescendiente y la no afrodescendiente, tanto en el Departamento del Valle como en Cali.

Así mismo, los porcentajes acumulados de mortalidad indican graves desventajas de los afrodescendientes frente a los no étnicos, cuando ocurren los fallecimientos en los diferentes grupos etarios. Por ejemplo, en el año 2005 poco más del 50 % del total de hombres negros murió antes de cumplir los 45 años, mientras que poco más de la mitad de defunciones de hombres blanco–mestizos se presentó antes de que estos cumplieran los 55 años de edad. Sin embargo, este indicador para las mujeres tanto afrodescendientes como no étnicas muestra que ellas viven más que los hombres, pero la diferencia en años vividos entre ellas es un poco mayor al de aquellos, controlando por grupo étnico–racial. O sea, hay un mayor diferencial de años de vida entre las mujeres negras versus las blanca–mestizas que entre los hombres negros versus los blanco–mestizos.

En general, los hallazgos advierten una fuerte desigualdad social en contra de la población afrodescendiente en términos de menores años de vida, tanto para hombres como mujeres. Esto apunta a una demografía de la desigualdad social con base en el componente étnico–racial, hipótesis central que sostiene este estudio.

Sin embargo, los resultados anteriores son preliminares y en cierta manera provisionales, si tenemos en cuenta que se presenta un considerable subregistro de población afrodescendiente en los datos del Certificado de Defunción para el 2010. El fenómeno del subregistro no es tanto por efecto de omisión sino por la forma de clasificación en el mismo certificado, generando un efecto de "blanqueamiento" de las personas afrodescendientes fallecidas. Esto permite sugerir la hipótesis de que esa desigualdad puede ser más amplia en términos de su medición.

El subregistro posiblemente tiene que ver con el descuido en el sistema de salud, incluyendo Medicina Legal, en la clasificación de las muertes violentas según pertenencia étnica–racial, lo que se refleja en un diligenciamiento no adecuado del módulo étnico–racial del Certificado de Defunción. Esto último podría estar asociado con la invisibilidad del factor étnico–racial entre los determinantes sociales de la salud para el personal de salud y en particular para el sistema público de salud, sobre todo en una ciudad como Cali y en el Departamento del Valle, en donde se presenta la mayor concentración en términos absolutos de gente negra en Colombia.

Debe señalarse que los resultados anteriores son a partir de las categorías utilizadas de auto reconocimiento étnico–racial del Censo 2005. Otros estudios recientes como los de PERLA (2014) revelan que un acercamiento desde la perspectiva del color de piel mediante clasificación externa (por ejemplo, empleando la paleta de colores) permiten visibilizar mejor las desigualdades en el campo de la salud tomando como indicador la autopercepción sobre el estado de la salud del entrevistado (Perreira y Telles, 2014), por ejemplo, que empleando el auto reconocimiento étnico–racial.

Del mismo modo, los resultados descriptivos en este artículo sobre los diferenciales de mortalidad no permiten determinar cuál es el factor explicativo predominante, si la clase social o el racial, y sobre todo si el factor racial disminuye su efecto en la desigualdad social de la salud al controlar por nivel socioeconómico, ya que este estudio no los aporta. No obstante, en el caso del conglomerado Oriente de Cali (Censo 2005), en donde se incrementan significativamente los porcentajes de mortalidad acumulada para los dos grupos étnico–raciales y ambos sexos que han fallecido al llegar al grupo etario 45–49 años, con respecto al total de Cali, en el caso de los afrodescendientes el incremento es significativamente superior. Aunque este resultado es provisional, permite proponer la siguiente hipótesis: en una de las áreas geográficas de más bajas condiciones de vida en Cali la población pobre afrodescendiente enfrenta condiciones incluso más adversas de salud que la población no afrodescendiente o blanca–mestiza pobre que allí reside.

Este último descubrimiento favorece también la hipótesis que el componente étnico– racial agrava las condiciones de salud y no desaparece al controlar por los diferenciales socioeconómicos, lo cual amerita considerar el efecto del racismo sobre el acceso al conjunto de bienes y servicios existentes en la sociedad caleña y del departamento por parte de la población discriminada, entre ellos todos los relacionados con la salud.

Llama la atención el fuerte diferencial entre mujeres afrodescendientes y no afrodescendientes a lo largo de todos los grupos etarios, particularmente entre los 5–9 y 25– 29 años. Este diferencial, al analizar las causas de muerte, tiene que ver con violencia homicida, la cual afecta en mayor medida a las mujeres afrodescendientes, como se observa en uno de los gráficos; aunque también resalta que ese diferencial entre mujeres afrodescendientes versus no étnicas se da prácticamente en casi todos los grupos etarios, incluso utilizando las datos del Certificado de Defunción que tienen problema de subregistro.

Los resultados con la técnica de Poisson complementan y enriquecen los resultados de los gráficos de mortalidades acumuladas porque corroboran las tendencias más descriptivas a través de revelar las brechas de promedios de mortalidad por ciclos de vida. Esto permite resultados más robustos sin dejar de ser descriptivos en términos estadísticos.

Finalmente los hallazgos del estudio sí permiten establecer fuertes desigualdades en las trayectorias de vida y muerte de la gente negra versus la gente no negra en Cali y el Departamento del Valle, señalándose además que este es un factor de inequidad social que incide en la vida urbana y regional.

 


NOTAS

***** Artículo de investigación del proyecto del CIDSE "Perfil epidemiológico de la población afrodescendiente en Cali y el Valle del Cauca, 2009 y 2010", desarrollado con recursos de la Vicerrectoría de Investigaciones de la Universidad del Valle C.I. 6149 del 2012 y del programa Fundación Ford Universidad del Valle "Apoyo a la población afrodescendiente e indígena colombiana en estadísticas laborales y de condiciones de vida, epidemiológicas y en otros componentes". Se contó con la invaluable colaboración de la socióloga Solange Bonilla Valencia para la edición del artículo, quien formó parte del equipo del programa Fundación Ford–Universidad del Valle antes mencionado. En la revisión final del artículo, una vez recibidos las observaciones de los dos pares "ciegos" evaluadores, contribuyeron en las correcciones del artículo los economistas de la Universidad del Valle, Andrés Felipe Candelo Álvarez y Luis Gabriel Quiroz Cortés. Artículo recibido el 02/09/2015 y aceptado el 23/07/2015.

1. En este documento la población afrodescendiente o afrocolombiana hace referencia a la gente de origen o descendencia africana hasta finales del período colonial, fuese procedente del África como esclavizada o ya nacida en la Nueva Granada –esclavizada o libre–, bajo diversas mezclas raciales y colores de piel, hasta la actualidad. En términos genéricos se incluye la población negra y mulata, o a veces bajo otras apelaciones étnicas, incluso de tradición colonial (parda y zamba), o la que antes y después de la abolición de la esclavitud (1851) se denominaba "libre". Aquí cae también la que en términos contemporáneos se llama o es denominada "morena"; más relacionado con la región del Pacífico es el nombre de "niche". A partir de la Constitución de 1991 se distinguen otros dos grupos afrodescendientes en Colombia: los Raizales del archipiélago de San Andrés, Providencia y Santa Catalina Islas, y el pueblo de Palenque de San Basilio (palenqueros–as). Para efectos de la descripción y análisis se usan indistintamente los términos afrodescendientes, afrocolombiano–a, gente negra, negro–a/mulato–a.

2. En este documento, para referirnos a la población blanca/mestiza usaremos términos como no afrodescendiente, no afro y sin pertenencia étnica.

3. El factor étnico–racial se relaciona en América Latina con el componente de clase social sin que ello signifique que éste lo sustituya (Telles, 2014).

4. Se contó con el apoyo del entonces Secretario de Salud del Municipio de Santiago de Cali, Alejandro Varela; y para su procesamiento y primer análisis descriptivo, del Psicólogo–Epidemiólogo Víctor Hugo Muñoz Villa, adscrito, en ese momento, al despacho del Secretario de Salud Municipal. Este logro partió de la exigencia de la Mesa de Concertación de la Población Afrodescendiente de Cali, a través del coordinador del sector salud en la Mesa, Guillermo García Córdoba, una figura afrodescendiente reconocida en la ciudad.

5. En el módulo de defunciones del censo 2005 la etnia no es más que la pertenencia étnica del hogar del fallecido.

6. En este artículo se excluye del análisis la población fallecida reconocida en el censo 2005 y el Certificado de Defunción del 2010 como "indígena" o "Rom/gitana". La razón tiene que ver con el prioritario énfasis comparativo del artículo entre población negra y blanca–mestiza; también por el reducido peso absoluto y porcentual, tanto de la población total como de los fallecidos clasificados como "indígenas" y otras etnias (Rom/gitana), lo que genera varios problemas técnicos en los ejercicios de proyecciones de población, así como en la estimación de tasas de mortalidad, para estas dos minorías étnico–raciales.

7. Entre los errores más comunes que producen subregistro (por ende subestimaciones) en datos censales y en estadísticas vitales se encuentra, por un lado, la omisión de registros de personas, viviendas, casos, etc., que afecta el recuento total. Por otro lado, está el subregistro producido por errores de mala clasificación, por ejemplo, de la pertenencia étnica–racial. Por tanto, es importante aclarar que en adelante cuando se haga mención del problema del subregistro debe ser entendido como aquel causado por la mala clasificación racial de los fallecidos.

8. Al respecto, este fenómeno del "blanqueamiento" de fallecidos afrodescendientes ya había sido detectado en el caso de Brasil –el país con la mayor experiencia histórica en estadísticas raciales en América Latina y quizás el de mayor tradición de estadísticas censales raciales desde 1872– en el período 1996–2000, dentro del Sistema de Información sobre Mortalidad (SIM). (Paixão, Carvano, Oliveira y Ervatti, 2005: 57–63).

9. En la dirección propuesta por Link y Phelan (1995) y Link (2008) desde una perspectiva analítica y metodológica que articula la sociología con la epidemiología para observar los efectos de los factores sociales en los procesos biológicos. Para estos autores se trata de observar y analizar los factores sociales como generadores de efectos acumulativos en la dimensión biológica de un determinado grupo poblacional. Como propuesta metodológica para analizar el efecto de la estratificación social sobre el envejecimiento y la salud (y por lo mismo la esperanza de vida) el estudio de House, Lepkowski et al. (1996) es otro clásico.

10. Un estudio interesante que confronta el factor racial con el socioeconómico es el de Burgard (2002), en el cual se observa cómo la interacción de los dos componentes, en el caso del Brasil comparado con Suráfrica, permite proponer la hipótesis que el segundo componente tendría a explicar mejor el atraso en el crecimiento de los niños (peso, talla, etc.), aunque no desaparece completamente el efecto racial.

11. El Modelo de Regresión Poisson (MRP) es referencia en estudios de variables de recuento. Resulta adecuado para modelar valores enteros no negativos, especialmente cuando se trata de un evento raro, como las defunciones, expresadas en tasas. De acuerdo con la ley de los eventos raros, se asume que la variable respuesta aleatoria sigue una distribución de probabilidad Poisson cuando el número de eventos que ocurren en un intervalo de tiempo o en un lugar determinado, cuya ocurrencia es aleatoria, independiente en el tiempo y con probabilidad de ocurrencia pequeña. El modelo de regresión de Poisson tiene un importante papel en el análisis de datos de conteos; sus principales características son: a) proporciona una descripción satisfactoria de datos cuya varianza es proporcional a su media; b) es deducido teóricamente de principios básicos sin muchas restricciones; y c) los eventos o conteos ocurren independientes y aleatorios en el tiempo, con una tasa de ocurrencia constante. El modelo de regresión de Poisson es útil cuando la variable respuesta está expresada en una escala cuantitativa discreta y se quiere conocer si ciertas variables explicativas influyen en la variable respuesta y cómo lo hacen. Este tipo de variable respuesta suele representar el recuento de sucesos o hechos (por ejemplo, el número de defunciones ocurridas en un territorio social). La función de regresión del modelo de Poisson se expresa por: λ(x,β) = e x o β

El modelo supone efectos multiplicativos: si el componente explicativo unidimensional Xi aumenta n unidades, la media para la variable de Poisson se multiplica por la potencia n–ésima del e x βj, manteniendo las demás variables explicativas constantes. El modelo de regresión de Poisson permite identificar mejor el exceso en el número de casos, es decir, la brecha del evento de interés en los grupos en comparación. Basados en estas características, resolvimos utilizarlo para la modelación de las tasas de mortalidad en Cali y en el Valle del cauca, para evaluar la brecha o sobre mortalidad entre los grupos étnico–raciales de interés, según edad y sexo. Al respecto: Cameron y Trivedi (1998); también para un estudio cercano: Arango, Ortega y Olaya (2009: 81–90); sobre modelación del número de homicidios para Cali en los años 2007 y 2008, con datos de CISALVA (Instituto de Investigación en Prevención de Violencia y Promoción de la Convivencia Social, Universidad del Valle).

12. No olvidar que los datos del registro de defunciones para el 2005 contaban aún con la variable étnica–racial, tal como se advirtió antes. Sin embargo, sí es factible comparar el total de muertes entre este registro en el Valle y Cali con el total de defunciones que arroja el censo 2005 para el período equivalente, a pesar de las variaciones por meses que traen los dos tipos de datos de mortalidad.

13. En este artículo no hacemos una estimación de los años de esperanza de vida por grupos étnico–raciales, pero los resultados preliminares que aquí entregamos son un poderoso indicador proxy que permite afirmar ese diferencial.

14. Centro de Investigaciones de la Facultad de Ciencias Sociales y Económicas (CIDSE) de la Universidad del Valle, y el Centro para el Desarrollo y Evaluación de Políticas y Tecnología en Salud Pública (CEDETES) de la Universidad del Valle.


 

Bibliografía

ARANGO, D., ORTEGA, D. Y OLAYA, J. (2009). Modelación del Número de Homicidios Vía Regresión de Poisson. Heurística. 16, 81–90.

BATISTA, L. E., VOLOCHKO, A., FERREIRA, C. E. C. E MARTINS, V. (2005). Mortalidade da população negra adulta no Brasil. In Fundação Nacional de Saúde (Funasa). Saúde da População Negra no Brasil. Ministério da Saúde, 237–314.

BOURDIEU, P. (2000) La distinción: criterios y bases sociales del gusto. Madrid, España: Taurus.

BURGARD, S. (2002). Does Race Matter? Children's Height in Brazil and South Africa. Demography, 39 (4), 763–790.

CAMERON, A. C. AND TRIVEDI, P. K. (1998). Regression analysis of count data. Cambridge Universiry Press.

CELADE – CENTRO LATINOAMERICANO Y CARIBEÑO DE DEMOGRAFÍA. DIVISIÓN DE POBLACIÓN DE LA CEPAL (2007). Potencialidades y aplicaciones de los datos censales: una contribución a la explotación del Censo de Población y Vivienda de Nicaragua 2005. Santiago de Chile, Chile: CEPAL. Serie Manuales, 56.

CIDSE–UNIVALLE (2014). Estudio de las condiciones de vida y de la situación socio–laboral de la población caleña de acuerdo con la Encuesta de Empleo y Calidad de Vida de Cali 2012. Ministerio de Trabajo y Seguridad Social. Informe de Avance. Estudio realizado a solicitud de Acdi–Voca (USAID). Cali, Colombia.

CUNHA, E. M. G. D. P. E JAKOB, A. A. (2005) Diferenciais raciais nos perfis e estimativas de mortalidade para o Brasil. In Fundação Nacional de Saúde (Funasa) Saúde da População Negra no Brasil. Ministério da Saúde, 201–236.

DUPREZ, D., CHÉRONNET, H. ET VARGAS, J. (2015). Jeunesse, violence et territoires au Brésil et en France. In Sociétés et Jeunesse en Difficulté, Vol. 15: 2–9. http://sejed.revues.org/ consultado 15 de Julio de 2015.

GOLDTHORPE, J. (1987). Social mobility and class structure in modern Britain. Oxford, Inglaterra: Clarendon Press.

HOUSE, J., LEPKOWSKI, A., KINNEY, R., MERO, R., KESSLER, R. AND HERZOG, A. R. (1994). The Social Stratification of Aging and Health. Journal of Health and Social Behavior, 35 (3), 213–234.

HUMMER, R. (1996). Black–White Differences in Health and Mortality: A Review and Conceptual Model. The Sociological Quarterly, 37 (1), 105–125.

LINK, B. (2008). Epidemiological Sociology and the Social Shaping of Population Health. Journal of Health and Social Behavior, 49 (4), 367–384.

LINK, B. AND PHELAN, J. (1995). Social Conditions As Fundamental Causes of Disease. Journal of Health and Social Behavior, 35, Extra Issue: Forty Years of Medical Sociology: The State of the Art and Directions for the Future, 80–94.

LOPES, F. (2005). Experiências desiguais ao nascer, viver, adoecer e morrer: tópicos em saúde da população negra no Brasil. In Fundação Nacional de Saúde (Funasa) Saúde da População Negra no Brasil. Ministério da Saúde, 2005, 9–48.

MARMOT, M., AND WILKINSON, R. (Eds.) (2005). Social determinants of health. Oxford University Press.

MUÑOZ, V. (2010ª). Análisis étnico del sistema de vigilancia en salud pública de Cali, avances, Cali, Valle: Artículo sin publicar.

MUÑOZ, V.(2010b). Epidemiología descriptiva de la mortalidad en Cali año 2009, con énfasis en población afro, Cali, Valle: Artículo sin publicar.

NAZROO, J. AND WILLIAMS, D. (2005) The social determination of ethnic/racial inequalities in health. In M. Marmot and R. Wilkinson (Eds.) Social determinants of health. Oxford University Press, 238–266.

PAIXÃO, M. J., CARVANO, L. M., OLIVEIRA, J. Y ERVATTI, L. R. (2005). Contando vencidos: diferenciais de esperança de vida e de anos de vida perdidos segundo os grupos de raça/cor e sexo no Brasil e grandes regiões. In Fundação Nacional de Saúde (Funasa) Saúde da População Negra no Brasil. Ministério da Saúde, 49–190.

PERREIRA, K. AND TELLES, E. (2014). The color of health: Skin color, ethnoracial classification, and discrimination in the health of Latin Americans. In: Social Science & Medicine 116, 241–250.

TELLES, E., FLORES, R. AND URREA, F. (2015). Pigmentocracies: Educational inequality, skin color and census ethnoracial identification in eight Latin American countries. In Research in Social Stratification and Mobility, 40, 39–58 .

TELLES, E. Y STEELE, L. (2012). Pigmentocracy in the Americas: How is Educational Attainment Related to Skin Color?. Americas Barometer Insights (73), 1–8.

TELLES, E. (ed.) (2014). Pigmentocracies: Ethnicity, Race, and Color in Latin America. The University of North Carolina Press, Chapel Hill.

URREA, F. (2012). Race, Ethnicity, Crime and Criminal Justice in Colombia. En Kalunta–Crumpton, A. (Ed.) Race, Ethnicity, Crime and Criminal Justice in the Americas (133–168) Londres, Gran Bretaña: Palgrave macmillian.

URREA, F.; VIÁFARA, C.; VIVEROS, M. (2014). From Whitened Miscegenation to Tri–Ethnic Multiculturalism. Race and Ethnicity in Colombia. In Edward Telles (ed) Pigmentocracies. Ethnicity, Race, and Color in Latin America. The University of North Carolina Press, Chapel Hill: 81–125.

VENTURA SANTOS, R., FRY, P., MONTEIRO, S., MAIO, M. C., RODRIGUES, J. C., BASTOSRODRIGUES, L. AND PENA, S.D. (2009). Color, Race, and Genomic Ancestry in Brazil: Dialogues between Anthropology and Genetics. Current Anthropology, 50 (6), 787–819.

WADE, P. (2000). Raza y Etnicidad en América Latina. Quito, Ecuador: Abya Yala.

WAISELFISZ, J. J. (2012). Mapa da violência 2012: A cor dos homicidios no Brasil. Centro Brasileiro de Estudos Latino–Americanos (CEBELA), FLACSO BRASIL, Secretaría de Políticas de Promoção de igualdade Racial, Governo Federal de Brasil.

 

ANEXO.

Anexo 1

 

Anexo 2